【JY】基于OpenSees和SAP2000静力动力计算案例分析
2021年9月9日 15:21浏览:4126 评论:4 收藏:8
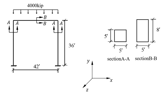
图1 一榀门式框架
通过OpenSees中读取求解,可得到结构周期T1=0.587s;
通过Sap2000进行求解可得,结构周期T1=0.58806s;
-
通过Matlab进行求解可得,结构周期T1=0.587s。
#性能分析
【JY】基于Ramberg-Osgood本构模型的双线性计算分析
#软件讨论
【JY】Abaqus案例—天然橡胶隔震支座竖(轴)向力学性能
~关注未来更精彩~
技术邻APP
工程师必备
工程师必备
- 项目客服
- 培训客服
- 平台客服
TOP
8
4
8




















