一种变轴螺旋桨水空跨域无人航行器设计和控制技术
2023年7月12日 16:02作者
昂海松 王源
1 引 言
当前,无人机军民用技术发展越来越快,应用领域也越来越广。虽然无人机在陆地领域的用途已日益普及,但是在广大的海洋领域,还有巨大的应用空间。由于无人机的机动性和使用便捷性,在海岸、海洋资源、水空监视和海事监测等领域也开始运用无人机技术。
基于小型无人航行器体积小、重量轻、布放与运行方便、隐蔽性好、成本低、连续工作时间较长、可回收等优点[1],本文着重研究具有一定航程及任务能力的中小型固定翼无人机在海上的应用。陆上使用的中小型无人机如果直接用于海上,存在以下问题:①若无人机从海岸陆地起飞到海上执行任务,中小型无人机航程短,难于往返完成任务;②常规固定翼无人机从舰上起降有困难;③常规中小型无人机难于执行水下的监测、海洋资源探测和巡查等任务,一般水下无人航行器工作区域单一受限,也无法实现空中大范围巡查工作。为此,本文设计出一种跨越水空两种区域的海上无人机。
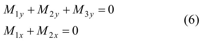
为了能适应跨水空区域作业,所设计的无人机在不同区域航行时应有不同的运行形态。图1给出本文设计的无人机航行任务剖面框图,并给出航行各阶段无人机的基本形态。框图包括从水下作业到空中作业的形态变化过程,以及从空中飞行到着降水面以及进入水下的形态变化过程。
图1 本文无人机航行任务剖面框图
Fig.1 Sectional block diagram of the UAV navigation mission
本文设计一种适应无人机跨越水空航行的“航行控制系统”。这一航行控制系统是以空中无人机飞行控制与导航结构为基础,兼具水下航行惯性控制导航和动力控制。本文的航行控制导航硬件系统,除了包括无人机常规的惯性控制传感器、磁传感器、气压传感器以及卫星导航传感器之外,还设计有对水下推进螺旋桨、空气螺旋桨混合动力装置及其变轴线、变桨距机构的控制。图2给出跨水空域航行“航行控制系统”的结构和运行路线,具体应用及软件系统将在后文论述。
图2 水空无人机航行控制系统结构框图
Fig.2 Structure block diagram of the navigation control system of the water-air UAV
2 水下无人航行器形态与控制
本文无人航行器在水下主要执行的任务是对海洋养殖物、海洋水下环境、水雷、无人水下航行器等的监测。因此,仅要求无人航行器在水下悬停或慢速巡察。为此,本无人航行器在水下主要需控制姿态与位置,以及慢速航行,其主要应能保持浮沉稳定和克服航行阻力。鉴于此,无人航行器水下基本形态为:机身下部为弧形三角截面体,有利于横向稳定和从空中入水稳定;机身上部为近似矩形截面体,机身前后舱为密封空仓产生一定的浮力。本无人航行器动力系统为特殊设计:机身前部有横杆支撑两侧各一个空气螺旋桨及其驱动电机和倾转机构;机身后部中间设置有一个空气螺旋桨;机身尾后设置了一个水下推进螺旋桨。机身尾部设置有方向舵和升降舵(水下与空中公用)。
从图3可以看到,机翼设置为可折叠的上单翼;尾部有可全动垂直尾翼(方向舵)和高平尾(升降舵)。机尾设置为典型的三叶水推进螺旋桨。空气螺旋桨安装在机身的两侧和后部,而不是安装在机翼上。这样的设计不影响机翼折叠。同时,在水下航行时螺旋桨也可作为控制动力。
图3 无人航行器水下形态三视图
Fig.3 Three views of the underwater shape of the unmanned vehicle
水下航行主要需要克服阻力和升降控制。无人航行器在水下航行时设计两侧机翼折叠收拢在机身上表面,以减少航行水阻力。
作为水下监视或慢行的无人航行器,最主要的是根据航行阻力特性来设计水下螺旋桨推进器。首先根据阻力系数经验参数估计阻力大小量级。
水下航行阻力
式中,ρ为水密度,V 为航行速度,CD 为阻力系数(常见水下流线型体值为0.51~0.6),S 指三个空气螺旋桨在水下状态时的截面积。于是,可以得到小迎角下阻力与水下航行速度之间呈抛物线增大关系:
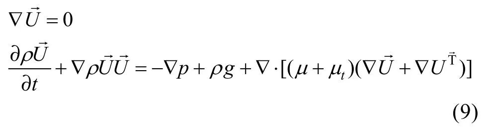
为了得到精确的水下航行器阻力特性,可以采用流体力学计算软件求解不可压缩流动控制方程(包括连续性方程和N-S 方程):
式中,为速度矢量,ρ 为水密度,g 为重力加速度,p 为压强,μ 为流体动力粘性系数。
本文设计模型计算结果如图4所示。随着航行速度的增加,阻力迅速增大,呈二次曲线加大。在小航速情况下(如小于 3 kn),最大阻力约为50 N,则水下推进器的推力应大于50 N。
图4 水下航行阻力随速度的变化计算结果
Fig.4 Calculation results of underwater navigation resistance as a function of speed
由于水空跨域无人机的机体重量轻,水下航行时,机身中部可进水。水下无航行器的升降控制首先通过所设计的气囊调节。设计时,使航行器“重心”与“浮心”重合,将气囊安置在重力线上,并设置有可调节气囊中水、气比例的泵控制装置,如图5所示。
图5 气囊设置与控制泵
Fig.5 Airbag setup and control pump
鉴于本文水下航行器主要任务为定点监控和慢速巡航,首先设计无人航行器应具有良好的静稳定性。我们设计的平尾能保证水动力中心(相当于飞机的“焦点”,即纵向合力矩不变点)位于重心之后,就可以实现漂角静稳定。设计垂尾则是实现侧向静稳定的保证。
为了实现在动态情况下的姿态稳定控制,首先建立两个坐标系:机体坐标系O′x′y′z′(动坐标系)和地面坐标系Oxyz(静坐标系),如图6所示。
图6 水下航行器坐标系与控制力矩
Fig.6 Coordinate system and control moment of underwater vehicle
图6还给出了水下航行的控制力矩。鉴于慢速巡航运行状态,近似认为:重力与浮力大小相等而合力为零;匀速运动时,阻力与水螺旋桨推力大小相等。于是控制力矩主要为:Mq 控制升降舵的俯仰力矩,Mr 控制方向舵的偏航力矩。水下航行器在机体坐标系上的运动模型可写为[2]:
式中,=[u v w p q r]T 为6 个自由度上的运动速度和角速度(见图6);M 为质量矩阵,包括质量和惯性质量;C(
)为与速度有关的惯性力系数矩阵;D(
)为粘性水动力矩阵;G 为重力、浮力等静态力(矩);T 为执行机构在六个自由度上的力与力矩。
根据上述匀速、慢运动的假设,地面坐标系下的水下航行运动的控制可简化为如下六自由度的状态方程控制:
也就是根据飞行控制系统中惯性传感器与磁传感器对航行器运动状态(u v w p q r)的反馈,通过对升降舵俯仰力矩Mq、方向舵的偏航力矩Mr、三个空气螺旋桨的力矩M1, M2, M3 的控制,来实现X 方向的慢匀速前进,减少侧向Y 与上下Z 位移,减少航行器的俯仰、横滚和偏航转动。在受到大扰动时,慢速启动三个空气螺旋桨,产生力矩M1, M2, M3。两个前螺旋桨作差动大小拉力控制时,可作为航向辅助控制。航行器俯仰变动较大时,后螺旋桨与升降舵PID 调节控制,可实现俯仰姿态稳定。当航行器横向发生大偏转时,也可以通过可变轴的两个前螺旋桨作上下偏转运行,实现恢复横向稳定。
3 从水下到空中形态设计与跨域控制
本文无人航行器实现从水下到水面、再到空中飞行状态,与其他无人机最大的不同之处在于:运用所设计可倾转变轴向螺旋桨技术来实现多种跨域控制。这里首先介绍螺旋桨变轴倾转机构的设计。本文目前所设计的无人航行器模型属于中小型无人机,动力采用具有使用与控制便捷性的直流无刷电动机。倾转机构由舵机与电机壳体侧面以轴承相连。倾转舵机与电机呈直角动态连接,可实现电机轴绕支撑杆作任意角度转动。螺旋桨轴转动的角度由飞行控制模块根据飞行状态需求作定位倾转。目前,仅设置两个前空气螺旋桨,绕y 方向可作任意角度转动和定位。螺旋桨倾转机构如图7所示。
图7 螺旋桨倾转机构
Fig.7 Propeller tilting mechanism
3.1 无人航行器从水下到水面的过渡形态与控制
无人航行器从水下上升到水面,如果仅仅依靠排出气囊中水由浮力升到水面,速度慢,稳定性难控制。为此,本无人航行器从水下上升时,启动前后三个空气螺旋桨,其中前面两个空气螺旋桨将桨轴转动90°垂直向上。根据飞控模块的姿态反馈,控制三个空气螺旋桨的拉力,使得对航行器重心的合力矩为零。
这时,航行器上升的总合力为:
式中,F 为浮力;W 为重力;D垂直水阻力为航行器上升时的水阻力。
通过对航行器的姿态平衡和上升拉力的控制可以实现加速上升。无人航行器从水下到水面的过渡形态与控制力如图8所示。
图8 无人航行器从水下到水面的过渡形态与控制力
Fig.8 Transition form and control force of UAV from underwater to surface
3.2 无人航行器水面滑行到起飞的形态与控制
经试验,无人航行器从水下上升到水面后,由于水面波浪和两种环境介质跨域状态,如果直接起飞升空,脱水过程存在不稳定现象。为此,我们设计本无人航行器具有水面滑行功能,除了更有利于从水面升空控制之外,还可将本无人机设置有水上降落和水上滑行的飞行性能。
无人航行器水面滑行形态设计如图9所示。两个前螺旋桨由垂直状态转为前倾可变角度状态,后空气螺旋桨垂直向上不变,机尾的水推进螺旋桨在离水前仍可运行产生一定推力。这时,机翼升出水面,当航行器以一定速度前进时,会产生一定的升力。
图9 无人航行器水面滑行形态和控制力
Fig.9 Shape and control force of the unmanned vehicle on the water surface
这里,ρ是大气密度,V 是航行速度,CL 是机翼升力系数,S机翼是机翼面积。
对于一部分在水中、一部分在水上的航行器,其精确的流体动力分析需要求解水气两相流的流体动力学方程。总的方程形式都仍然是流体连续性方程和不可压守恒形式的雷诺平均N-S 方程。
式中:U 为速度矢量;ρ为控制体内的流体密度;g 为重力加速度;ρ为压强;μ 为动力粘性系数;μt 为湍流动力粘性系数。式(8)与式(2)的不同之处在于隐含两相流的参数区别。
本文采用 VOF(Volume of Fluid)动态重叠网技术[3]来计算水气两相流流体动力。首先,将N-S方程写成求解体积分数的α 随着速度场U 运动的输运方程形式。
式中:α为水气分界附近单元中水相分体积与单元总体积之比。
于是流体单元空间内的密度和粘性系数可分别由下面两式表示:
通过求解上述含两相流特征的N-S 方程,其数值计算网格生成如图10所示,计算可以得到无人航行器的升力系数、阻力系统和三个空气螺旋桨对重心的纵向与横向力矩系数,以及升降舵和方向舵的力矩系数。
图10 无人航行器两相流计算网格示意图
Fig.10 Schematic diagram of two-phase flow calculation grid for the UAV
无人航行器的速度控制通过水推进桨和两个前空气螺旋桨拉力水平分量控制。无人航行器的姿态稳定控制,可类似于对航行器六自由度动力学方程(3)和状态函数方程(4)分析,通过对升降舵、方向舵、空气螺旋桨拉力对重心的力矩(图9)控制来实现无人航行器滑行时的稳定。无人航行器主要的俯仰控制是由下式的力矩来实现的。
式中:X1, X2 分别表示两个前螺旋桨旋转中心到无人机重心的水平距离;φ表示两个前螺旋桨向前倾转的角度。
本节分析与控制方法既适合于无人航行器从水中到水面起飞前滑行阶段的特性设计分析,也适合无人航行器从空中降落到水面滑行阶段的特性设计分析。同时,适于本无人航行器在水面作低速滑行执行有关任务的状态分析。
随着无人航行器在水面滑行的不断加速,机翼升力和空气螺旋桨的垂直力不断加大,无人航行器将完全脱离水面飞向空中(图11)。
图11 无人航行器从水面起飞的状态
Fig.11 State of the UAV taking off from the water
4 空中无人飞行器形态与控制
上述无人航行器从水面起飞到空中的状态,虽然可以前飞,但还是属于“旋翼模式”为主的飞行形态。这时的前飞速度比较慢,耗能也比较大。本无人航行器设计在海上空中执行任务时,应具有较远的航程和较快的飞行速度能力。为此,我们设计了前空气螺旋桨轴线可倾转的功能(图7)。在一定的飞行高度时,将前空气螺旋桨轴线从斜角度倾转到水平角度,实现像普通固定翼无人机一样作快速飞行。由于螺旋桨前倾过程中,螺旋桨的垂直升力会迅速下降,如何稳定实现倾转螺旋桨的整个无人机空中飞行是关键。
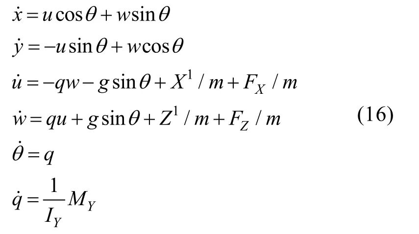
4.1 可倾转螺旋桨无人机的受力分析与运动建模
已升空的无人航行器不再受到水的浮力和阻力,可折叠水桨也收起,全部受到空气动力的作用,实际已成为一架无人飞行器。本无人飞行器与常规固定翼飞行器一样,除了设计有平尾及升降舵、垂尾及方向舵外,还设计有机翼后缘左右各一个副翼,起横向控制作用。不同的是,本无人机设计有三个空气螺旋桨,前两个螺旋桨可以倾转。设三个螺旋桨拉力分别为T1,T2,T3,前螺旋桨向前倾转角度为φ;飞行器气动升力为L,气动阻力为D;则整个无人机受力为
整个无人机对重心的受力矩为
式中:(X1,Y1),(X2,Y2),(X3,Y3)分别表示三个螺旋桨旋转中心相对于无人机重心的坐标。
如图12所示,无人机的螺旋桨倾转过渡过程主要是在倾转螺旋桨无人机的纵向对称平面内完成[4]。因此过渡运动特征分析可以忽略无人机的横航向运动,通过将6 自由运动模型中所有的横航向变量置零,可以得到简化的 3 自由度运动模型如下。
图12 无人飞行器倾转过渡状态的受力示意图
Fig.12 Schematic diagram of force in the transition state of UAV tilting
式中:上标“1”表示机体坐标系;q 为对机体坐标系y 轴的角速度;IY 是对y 轴的转动惯量。
4.2 可倾转螺旋桨无人机过渡状态的俯仰控制
姿态稳定是飞行器实现稳定飞行的前提。因此,在螺旋桨倾转过程中,无人机俯仰稳定是保证无人机稳定过渡的前提[5]。
对于本无人机倾转状态问题,俯仰控制动力学模型可进一步写为
这里将俯仰力矩分解为MY机体,即升降舵控制下的全机气动俯仰力矩;MY倾转螺旋桨,即前置可倾转的两个螺旋桨拉力所产生的全机俯仰力矩;∇M干扰表示外部干扰力矩(包括持续干扰或临时干扰)。
针对式(15)所示的本无人机倾转过渡过程的俯仰角系统,给定参考信号俯仰角θd 设计输入δ,在给定的旋翼倾转策略φ=φ(t)以及外部干扰ΔM(t)存在的情况下,使得系统的俯仰角θ(即系统的输出)满足|θ-θd|≤ξ(容许误差)。利用参考文献[6]提供的干扰估计预测控制器方法,通过图13所示流程,可以得到倾转过渡过程的俯仰稳定控制。
图13 带有干扰补偿的俯仰角预测控制流程
Fig.13 Pitch angle prediction control process with interference compensation
4.3 可倾转螺旋桨无人机过渡状态的高度控制
可倾转旋翼无人机在整个倾转过渡过程中,旋翼为主维持升力状态飞行时,旋翼倾转角度小但前飞速度小;而机翼为主维持升力状态飞行时,旋翼倾转角度大,在前飞速度不足的情况下则机翼升力(机翼升力与速度平方成正比)仍然很小,旋翼升力已迅速下降,会出现掉高强烈振荡甚至失速坠落的现象。如何分配旋翼推力和升降舵偏转角控制,保持无人机的飞行高度稳定在期望值附近是一个具有挑战性的难题。
如图14所示, 导航的传统视线法(Conventional Line-of-Sight,CLOS)具有简洁的算法流程和易于在硬件上实现等优点,被广泛应用于无人机等移动物体的直线导航任务中。该算法将平面运动物体的位置误差转换为期望的姿态角,通过调整姿态角让物体沿着期望的直线运动。直接运用CLOS 方法来做可倾转螺旋桨无人机的过渡状态的高度控制导航,通过控制升降舵保持俯仰角恒定不变来实现期望高度值。由于倾转过程中升力与阻力都在不断变化,会发生俯仰振荡和高度振荡。
图14 传统视线跟踪法
Fig.14 Traditional gaze tracking method
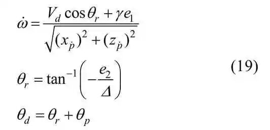
针对平面运动的飞行器设计了一种改进型视线法(Modified Line-of-Sight,MLOS)算法,它是一种具有自适应性的新型二维平面位置控制算法。该算法可实现平面运动物体的曲线路径跟踪。将该算法引入可倾转旋翼无人机的倾转过渡过程飞行高度控制系统设计中,可在无须任何位置动力学模型信息情形下,将位置跟踪误差转化为无人机期望的俯仰角控制。图15中,OEXEZE 表示惯性(地面)坐标系{E},OE 固结在水(地)平面上任一点处;P 表示无人机当前时刻质心位置,记为(x,z);Pp 为无人机在指定轨迹上的期望路径向量,Pp=[(xp(ω ), yp(ω )]T;PpXp 和PpZp 分别表示曲线在Pp 点的切向和法向,两者构成一个曲线坐标系{N};e1 和e2 分别表示无人机在曲线坐标系{N}下的位置跟踪误差;Δ表示视前距离。速度坐标系{V}下,VVI=[Vd,0]T为无人机在期望位置相对于惯性坐标系下的速度在{V}下的表达式。
图15 改进的曲线跟踪法
Fig.15 Improved curve tracing method
期望路径的俯仰角可以由下式计算:
于是由下列方程组就可以实现MLOS 方法的高度保持曲线跟踪:
式中,误差变量e =[e1 , e2]T ;下标r 表示速度坐标系,下标p 表示自然曲线坐标系,下标d 表示惯性坐标系。详细控制流程如图16所示,可参考文献[5]。
图16 可倾转旋翼无人机过渡阶段高度保持控制流程
Fig.16 Altitude holding control process in the transition phase of the tilt-rotor UAV
4.4 无人机巡航飞行形态
本文无人航行器在空中执行巡航飞行任务时,其形态等同一架前置双螺旋桨的固定翼无人机。飞行控制方式与常规固定翼无人机一样,分别通过升降舵、方向舵和副翼来控制无人机的俯仰、航向和横向姿态与运动轨迹,这里不再描述。无人飞行器空中巡航形态三视图如图17所示。
图17 无人飞行器空中巡航形态三视图
Fig.17 Three views of the aerial cruising form of the unmanned aerial vehicle
无人航行器在空中巡航时,飞行速度大大增加,升力全部由机翼提供,两个前置螺旋桨工作,后置螺旋桨停止工作,水推螺旋桨折叠收起。无人机以固定翼模式巡航时耗能小,因此,所设计的无人航行器能够在空中执行速度快、航程远的任务。
5 样机研制与试验
为了验证跨域水空无人航行器如何实现多种形态的飞行域控制技术,我们研制了两架无人航行器试验样机,翼展2.2 m,总长2.0 m。无人机布局与前述基本一样,总体设计为三空气螺旋桨和一个水推螺旋桨布局,并在内部设计有气囊控制系统。前面两个螺旋桨可作绕Y 轴的转动。控制硬件系统设计如图18所示。
图18 无人航行器试验样机之一和受力分析
Fig.18 Unmanned aerial vehicle test prototypes and force analysis
5.1 水下航行试验
本文无人航行器水下航行试验是在水池中进行的,主要通过对机体内的电动泵控制气囊的进排水,调节浮力大小,以控制无人航行器的沉浮。
水下航行时控制尾部水桨推力,以控制前进速度。试验航行速度为2 kn 时,航行稳定正常。无人航行器水下航行的姿态控制主要利用升降舵和方向舵,大干扰时可以利用空气螺旋桨控制姿态稳定。无人航行器从水下升到水面,主要依靠斜上倾转的前螺旋桨和垂直向上的后螺旋桨控制。当升到水面后,无人航行器可滑行。滑行一段后,无人航行器主要依靠螺旋桨拉力离开水面升入空中。图19和图20分别给出从水下即将升到水面的航行截图和从水面滑行升起的镜头。
图19 无人航行器从水下前行到水面状态
Fig.19 State of unmanned vehicle moving from underwater to surface
图20 无人机从水面升空
Fig.20 Drone lifts off from the water
5.2 空中倾转螺旋桨飞行控制试验
首先,我们作空中倾转旋翼过渡阶段控制的有外部干扰(如气流或风)的仿真分析。一种是当无人机的进入速度不小于最小平飞速度后再进行过渡控制。计算仿真表明,用本文方法,仅依靠升降舵的偏转就能实现倾转过渡过程中飞行高度的保持,无人机很快达到稳定状态。二是当无人机飞行速度尚小于最小平飞速度时进行过渡控制。这是利用本文依靠升降舵偏转和推力融合的控制方法,也可以实现倾转过渡过程中飞行高度的稳定。只是,因开始的平飞速度较低,倾转控制的初始阶段无人机高度波动稍大,但是很快就能达到稳定(图21)。
图21 有干扰情况下空中倾转过渡阶段的高度稳定控制仿真
Fig.21 Simulation of altitude stability control in the transitional phase of air-tilt in the presence of interference
实际飞行试验,本文研制的三螺旋桨无人飞行器,成功实现了螺旋桨倾转过渡阶段的高度保持稳定飞行控制(图22)。由于飞行时外部干扰风较小,无人机倾转过渡阶段几乎看不出有高度波动。倾转过渡阶段完成后,无人机进入快速巡航阶段(图23)。
图22 倾转过渡阶段高度保持飞行试验
Fig.22 Altitude hold flight test during tilt transition
图23 固定翼模式的巡航飞行
Fig.23 Cruise flight in fixed-wing mode
6 结束语
本文提出一种多螺旋桨可变轴倾转的水空跨域无人航行器,给出了跨域和飞行模式转换的多种形态设计和相应的飞行控制技术。这种无人航行器既不同于常规水下、水面航行器,也不同于空中航行的常规无人机。本方案给出可折叠和可展开的机翼设计,从布局方面适应了两种不同介质环境下的航行流体动力学需求。控制策略是本文的重点,尤其是过渡阶段的控制。一个重点是从水下航行向水面滑行的过渡控制,除了涉及到两相流,还运用了倾转螺旋桨技术。另一个重点是从可垂直起飞旋翼模式到螺旋桨转至水平位置的固定翼飞行模式的过渡控制。本文还给出了我们研制的试验样机及其飞行控制航行,验证了本文的设计和控制方法的有效性。由于篇幅有限,本文没有给出更详细的技术细节,读者可从提供的相关参考文献获取。文章重点在于提供一种新型跨域无人机的总体设想和布局设计,并提供了从水中到水面、从水面到空中、从旋翼模式到固定翼模式的过渡控制技术策略要点。本文设计的无人航行器可以垂直起降,它不但能从水面起降,也可在体积小的普通舰船上起降,具有广阔的应用前景。
End
工程师必备
- 项目客服
- 培训客服
- 平台客服
TOP




















