科研进展|冰如何促进冰岩碎屑流的运动性:来自颗粒状冰-岩混合物斜槽流离散元模拟的见解

科研进展|冰如何促进冰岩碎屑流的运动性:来自颗粒状冰-岩混合物斜槽流离散元模拟的见解的图1

范宣梅教授团队在冰岩碎屑流早期阶段运动性研究中取得了重要进展,研究成果以How Ice Particles Increase Mobility of Rock-Ice Avalanches: Insights From Chute Flows Simulation of Granular Rock-Ice Mixtures by Discrete Element Method为题,发表于《Journal of Geophysical Research: Earth Surface》期刊。

科研进展|冰如何促进冰岩碎屑流的运动性:来自颗粒状冰-岩混合物斜槽流离散元模拟的见解的图2





摘要


Abstract
寒冷高山地区发生的冰岩碎屑流具有极强的运动性,致灾效应显著、成灾规模很大。冰岩碎屑流中的岩石和冰具有不同的物理性质,例如颗粒大小、密度、摩擦等,导致岩石和冰在混合物中产生冰岩分选行为从而影响其运动性。 然而,目前我们对于冰如何影响冰岩碎屑流的运动性尚知之甚少 我们通过离散元方法进行了一系列数值实验,以量化岩- 冰粒径比和含冰量对冰岩分选和混合物运动性的影响。

结果表明,岩-冰粒径比和体积含冰量决定了冰的空间分布,从而通过控制颗粒碰撞应力与库仑摩擦应力的比值来影响冰岩混合物的运动性。与传统认知不同的是,我们发现在某些情况下,冰的空间分布可以对混合物的运动性产生比体积含冰量更大的影响。这项研究揭示了冰在冰岩碎屑流早期运动规律中的作用,对冰岩碎屑流的灾害评估具有重要意义。




研究方法


Methods
图( a) 展示了地球物理流动分选行为中的沟道流动部分。 沟道流动部分反映了地球物理流动分选行为中规模最大的垂直分选行为。 其通常采用下图(b) 所示的斜槽稳定流物理实验和下图(c ) 所示的斜槽稳定流数值实验进行研究。 在数值实验中,沿流动方向(y)和垂直流动方向(x)设置周期性边界以模拟无限宽和无限长的斜槽。 无限长、无限宽的斜槽可以理解为一个有自由表面的环剪实验,其驱动力是重力的分力。

科研进展|冰如何促进冰岩碎屑流的运动性:来自颗粒状冰-岩混合物斜槽流离散元模拟的见解的图3
▲(a)地球物理流分选行为示意图; (b)斜槽稳定流物理实验; (c)斜槽稳定流数值实验

在冰岩碎屑流中,冰颗粒和岩石颗粒之间的大小、密度和摩擦存在差异。在数值实验中,我们控制冰颗粒、岩石颗粒的密度和摩擦保持不变,改变岩-冰粒径Sr比和 。在所有实验组中,我们控制岩石粒径不变,Sr的增加就意味着冰粒径的减小。通过不断试错,我们确定了从0.5到3的Sr范围,该范围可以全面研究冰岩分选行为及其对运动性的影响。在每个Sr下, 别取0%、10%、30%、50%、70%、90%和100%。



结论


Conclusions

冰岩分选行为可以分为三种类型。

冰岩分选主要受冰颗粒和岩石颗粒间粒径差异和密度差异的影响。基于最终分选程度 和岩-冰粒径比Sr曲线的形态(下图),由Sr的值将冰岩分选分为3种类型,这3种类型可通过不同的分选方向和分选程度来识别。
科研进展|冰如何促进冰岩碎屑流的运动性:来自颗粒状冰-岩混合物斜槽流离散元模拟的见解的图4
▲冰岩最终分选程度  (数据在37°坡度下获取)
在冰岩分选类型A(Sr≤0.8)中,分选主要由冰和岩石间的密度差异控制,最终分选程度 与岩-冰粒径比Sr和含冰量 无关,且总是大于1,意味着冰颗粒的平均位置接近自由表面。冰和岩石间粒径差异造成的分选方向与密度差异产生的分选方向相同。在冰岩分选类型C(Sr≥1.5)中,冰岩分选方向由冰和岩石颗粒间的密度差异和尺寸差异的博弈决定,前者导致冰向上移动,后者则具有相反的作用。此外, 的影响很大,随着 的增大, 迅速增大,表明随着含冰量的增加,冰颗粒的平均位置逐渐升高。冰岩分选类型B(0.8<Sr<1.5)是从类型A到类型C的过渡。当Sr值接近0.8时,冰岩混合物的分选特征与类型A相似;当Sr值接近1.5时,冰岩混合物的分选特征与类型C相似。
冰岩混合物的运动性与冰岩分选类型有关。

通过数值实验获得的I- μ- 关系图反映了相似的运动性规律。参考 之间的关系(下图),在冰岩分选类型A中,μ- 关系图是轻微的凸曲线,这意味着只有足够量的冰才能显著影响混合物的运动性。在冰岩分选类型C中,μ- 关系图为凹曲线,表明即使少量的冰存在也可以显著地影响混合物的运动性。需要特别指出的是,在Sr>2的情况下,摩擦系数μ =50%左右达到最低值,表明此时运动性最强,这与现有的直观认识不同。在冰岩分选类型B中,μ- 关系图由凸曲线向凹曲线过渡,表明随着Sr的增加含冰量对运动性的影响由类型A型向类型C转化。


科研进展|冰如何促进冰岩碎屑流的运动性:来自颗粒状冰-岩混合物斜槽流离散元模拟的见解的图5

▲等效摩擦系数 随含冰量 的变化情况


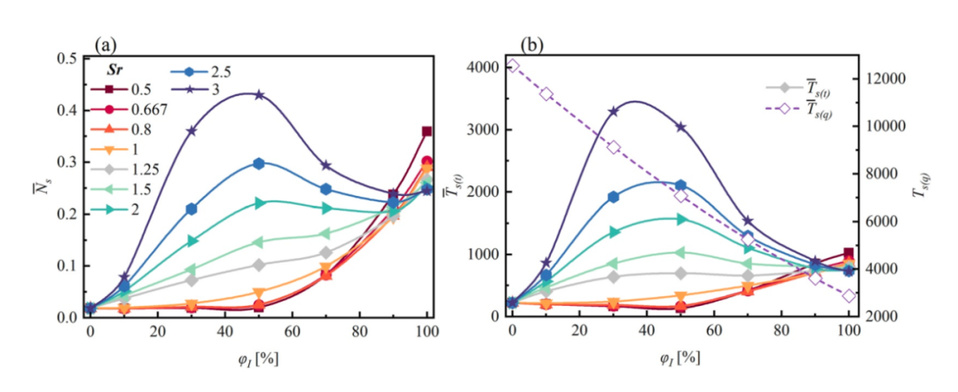
③冰岩分选决定冰的空间分布状态,冰的空间分布和粒径大小一起通过控制颗粒碰撞应力和库伦摩擦应力的比值影响冰岩混合物的运动性。

Sr 不同组合导致不同的冰岩分选结果,而冰岩分选决定了冰的空间分布状态。和粒径大小一起,冰的空间分布将通过颗粒碰撞应力   影响冰岩混合物的运动性。冰岩混合越均匀,颗粒越小,颗粒碰撞应力就越大,运动性就越强。另一方面,含冰量将通过全局库仑摩擦应力    影响冰岩混合物的运动性。含冰量越高,运动性越强。在Sr值较小时,含冰量对冰岩混合物运动性的影响大于颗粒碰撞对运动性的影响;相反,在Sr值较大的情况下,颗粒碰撞对运动性的影响将占主导地位。
科研进展|冰如何促进冰岩碎屑流的运动性:来自颗粒状冰-岩混合物斜槽流离散元模拟的见解的图6
▲(a)Savage数    ; (b)深度平均颗粒碰撞应力   和全局库伦摩擦应力   随    的变化。(b)中的虚线和实线分别表示   和   。(数据在37°坡度下获取)


科研进展|冰如何促进冰岩碎屑流的运动性:来自颗粒状冰-岩混合物斜槽流离散元模拟的见解的图7
▲冰影响冰岩混合物运动性的方式



科研进展|冰如何促进冰岩碎屑流的运动性:来自颗粒状冰-岩混合物斜槽流离散元模拟的见解的图8



引用格式: Feng, Z., Fan, X., Ni, T., Deng, Y., Zou, C., Zhang, J., & Xu, Q. (2023). How ice particles increase mobility of rock-ice avalanches: Insights from chute flows simulation of granular rock-ice mixtures by discrete element method. Journal of Geophysical Research: Earth Surface, 128, e2023JF007115. 
https://doi.org/10.1029/2023JF007115

文章来源:灾害链动力学机制与防控

登录后免费查看全文
立即登录
App下载
技术邻APP
工程师必备
  • 项目客服
  • 培训客服
  • 平台客服

TOP

1
1