无人机叶片颤振的详细介绍及流固耦合仿真分析讲解(含105讲视频教程)
2024年8月6日 14:23什么是无人机叶片的颤振
叶片颤振属于流体诱发振动现象,是叶片振动的一种形式。具体而言,弹性体的叶片在气动力作用下形成的气弹耦合的自激振动,称为颤振。随着无人机叶片性能的不断提高,气动极限负荷增大,叶片往往设计得薄而长,刚性下降,这导致叶片颤振发作的几率增多。
无人机叶片颤振的影响
叶片颤振一旦发作,会产生大振幅的剧烈振动,这种振动对叶片的影响主要有以下几个方面:
疲劳损坏:大振幅的振动会使叶片在短时间内裂断,这是叶片颤振最直接也是最严重的后果。颤振疲劳虽然发生的频率可能不高,但其危害性极大。
性能下降:颤振会影响叶片的正常工作状态,导致机械的整体性能下降,甚至可能引发更严重的故障。
安全隐患:叶片颤振可能引发严重的安全事故,对人员和财产造成巨大损失。
无人机叶片颤振的仿真方法
叶片颤振的仿真分析是理解和预测叶片颤振行为的重要手段,主要包括以下几种方法:
瞬态动力学分析:瞬态动力学分析是研究叶片颤振机理和发展过程的基础。通过分析叶片在气动力和惯性力作用下的瞬态响应,可以揭示颤振的产生和发展过程。将叶片流场的瞬态仿真与叶片结构的瞬态仿真进行耦合,通过迭代计算得到叶片的颤振响应。
模态分析:模态分析是获取叶片固有频率和振型的重要手段。通过模态分析,可以了解叶片在不同频率下的振动特性,为颤振分析提供基础数据。在颤振分析中,模态分析通常用于验证流体与结构耦合的合理性,并作为谐响应分析的基础。
谐响应分析:谐响应分析是研究叶片在正弦激励下的振动响应。通过谐响应分析,可以预测叶片在特定频率下的振动幅值,从而评估叶片的颤振风险。在模态分析的基础上,设置位移或载荷幅值及扫频范围,计算得到叶片结构的幅频图,从而分析叶片的颤振特性。
双向流固耦合分析:双向流固耦合分析是一种将流体与固体模块相互迭代传递数据的耦合方法。在叶片颤振分析中,通过双向流固耦合分析可以更准确地模拟叶片在气动力作用下的振动行为。首先进行流体分析,将气动力结果传递到结构分析中;然后进行结构分析,将位移结果反馈到流体分析中。通过不断迭代计算,直至整个分析收敛到一个较为稳定的振动区间内。
叶片颤振是一种复杂的流体诱发振动现象,对叶片的疲劳寿命和机械性能有着重要影响。这里详细介绍采用双向流固耦合对无人机叶片颤振进行分析。
无人机叶片颤振流固耦合计算
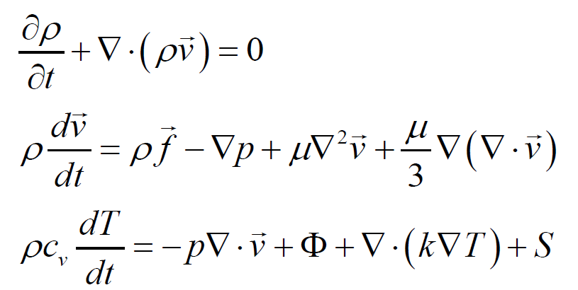
流固耦合力学是用来研究可变形固体在流场作用下的瞬态响应,以及固体变形后对流场的反作用关系,它涉及计算流体力学与结构动力学等交叉学科的内容,其重要特征是两相介质之间的相互作用。
流体流动要遵循三大定律,质量守恒、动量守恒和能量守恒定律。
动力学的通用运动方程为:
此方程描述的是典型的非线性自激振动系统。对有限元模型进行结构动力学分析时,需要考虑结构模型的惯性、刚度和阻尼特性。结构动力学分析包含众多研究内容,不同的分析类型对应求解不同形式的方程。
在流固耦合问题中,需要将流体域中的基本方程以及结构域的动力学方程进行联立求解。交界面处应满足流体与固体的位移、热流量、温度、应力等相等。
无人机叶片双向流固耦合分析采用多面体网格对流体域划分网格,四面体网格对固体域划分网格,流体域的求解采用有限体积法,固体域的求解采用有限元法。
以流场稳态计算结果作为初场,时间步的选取依赖叶片固有频率,综合考虑固体域和流体域对时间步长的特殊需求,这里选取时间步长为1e-4s。
为了解气动载荷作用下压缩机叶片的瞬态动力学特性,需要在叶片表面设置监测点。如下图所示,图中紫红色标记点即为监测点位置,设置在位移变化最大的叶顶处。
通过双向流固耦合分析,叶片应力和位移如下图,在叶片靠近旋转中心处,应力最大,叶片的位移在叶尖处最大。
由叶片位移监测点可知,叶尖处位移是逐渐收敛的,故可以以此来判定无人机叶片在这种工况下不会发生颤振。
无人机课程推荐
课程名称
《starccm无人机仿真全教程105讲-四种仿真方法流固耦合悬停喷雾施肥吊物投弹桨叶优化大涡模拟噪声》
主讲老师
技术邻平台知名讲师:梁老师
擅长:精通STAR-CCM+,擅长气动、传热、燃烧、多相流、运动、固体应力等多学科耦合分析,以及在CFD结果上,通过网格变形直接对模型进行优化的伴随形状优化方法;在设计空间通过将固体网格和流体网格相互转换而自动构造最优几何的伴随拓扑优化方法;还精通多目标优化,在给定的参数和约束下,通过遗传算法,响应面方法等进行全局搜索和局部搜索,寻找最优目标。
课程特点
1.全面系统:该课程共105讲,内容全面覆盖了STAR-CCM+在无人机仿真领域的多种应用方法,包括流固耦合、悬停、喷雾、施肥、吊物、投弹、桨叶优化、大涡模拟和噪声仿真等。
2.实战导向:通过具体案例和仿真方法,帮助大家掌握STAR-CCM+在无人机设计中的实际应用,提高解决实际工程问题的能力
3.深入解析:不仅介绍仿真流程和方法,还深入解析仿真过程中的关键技术和难点,帮助大家深入理解仿真原理。
课程内容概览
1.流固耦合仿真:介绍流固耦合的基本原理,以及如何在STAR-CCM+中进行流固耦合仿真,分析无人机在复杂流场中的动态响应。
(图:桨叶流固耦合仿真)
2.悬停仿真:针对无人机悬停状态进行仿真分析,研究悬停状态下的气动特性、稳定性和控制策略。
(图:自由度悬停)
3.喷雾施肥仿真:模拟无人机在农业应用中的喷雾施肥过程,分析喷雾效果、覆盖范围和优化方案。
(图:喷雾)
(图:施肥)
4.吊物投弹仿真:对无人机执行吊物、投弹等任务进行仿真,评估任务执行过程中的动力学特性和控制性能。
(图:吊物)
(图:投弹)
5.桨叶优化仿真:针对无人机桨叶进行优化设计,通过仿真分析提高桨叶的气动效率、降低噪声和振动。
(图:桨叶优化)
6.大涡模拟:介绍大涡模拟(LES)技术在无人机流场仿真中的应用,捕捉更精细的流动细节和湍流结构。
(图:大涡模拟噪声计算)
7.噪声仿真:对无人机产生的噪声进行仿真分析,评估噪声水平、传播特性和降噪措施。
🧧课程限时优惠
(⬆️课程试看章节&详情介绍,点击下方卡片跳转)
课程原价999元
💥课程限时优惠,立减49元!仅限4名!
🧧第1-4位报名者:课程实付950元
立即扫码添加学习助手,锁定最高优惠名额!
往期推荐
eVTOL电动垂直起降飞行器研发降噪处理案例及常见方案介绍(附eVTOL研发资料下载)
航天航空前沿技术分享:飞行器降噪、地面共振测试、eVTOL开发、敏捷开发......
工程师必备
- 项目客服
- 培训客服
- 平台客服
TOP




















