如何使用ANSYS绘制梁的剪力图和弯矩图
2021年2月26日 09:35前面的几篇文章中,我们介绍了材料力学的第三章——扭转方面的内容以及相应的ANSYS解法,今天我们正式开始讨论材料力学第四章——弯曲应力。
等直杆在包含其轴线的纵向平面内,承受垂直于杆轴线的横向外力或外力偶的作用时,杆的轴线将变成曲线,这种变形称为弯曲。凡是以弯曲为主要变形的杆件,统称为梁。
材料力学中对于梁结构的分析和计算,是基于欧拉-伯努利梁理论(Euler–Bernoulli beam theory),也称为经典梁理论。该理论忽略了剪切变形和转动惯量,认为初始垂直于中性轴的平截面在变形时仍保持为平面且垂直于中性轴(平截面假设)。根据欧拉-伯努利梁理论,截面的转动等于挠度曲线切线的斜率。
瑞利(Rayleigh) 首先对经典梁理论作出了修正,他于1877年在初等理论的基础上考虑了梁弯曲变形所引起的转动惯量,这个理论就被称为Rayleigh梁理论。
铁摩辛柯(Timoshenko)在1921-1922年提出了Timoshenko梁理论,这个理论同时考虑了梁的弯曲变形引起的转动惯量和梁的剪切变形,大大改善了以往的梁理论。该理论使得梁在模态阶数不是很高时,即使不是细长的情况下,它的动力参数的精度也得到了很好的改善,因此Timoshenko梁理论也被广泛的运用到很多实际工程上。
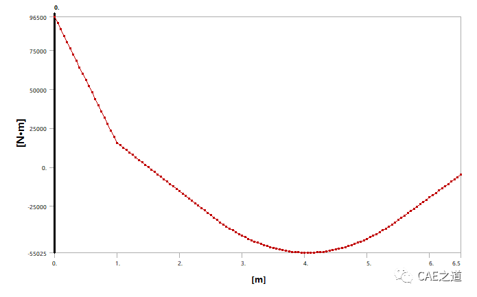
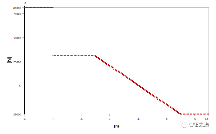
根据材料力学的知识,我们可以绘制出该模型的剪力和弯矩图如下:
下面使用ANSYS Workbench绘制剪力和弯矩图:
在ANSYS较早的单元中,如Beam4单元,采用主自由度的原理,为经典梁理论下的单元,忽略剪切变形,使用了平截面假设,所以只能得到类似平均的截面弯曲应力;较新的单元中,如Beam189为铁摩辛柯梁单元,采用相对自由度的原理,考虑剪切变形,计算挠度和截面转动时根据截面刚度矩阵各自独立插值,截面应力和变形都是真实的。
目前Workbench中,默认的梁单元为Beam188(低阶)和Beam189(高阶)梁单元,在ANSYS经典中,一些比较旧的梁单元,如Beam4单元也只能通过命令流来建立使用了。
使用ANSYS求解该问题时,我们从以下几个方面入手:
1. 确定分析类型:根据例题所示结构,确定分析类型为静力学分析;
2. 确定单元类型:该结构为梁结构,结果需要输出弯矩图和剪力图,因此分析时使用Beam单元;
由于我们只需要计算该模型的剪力和弯矩,因此截面形状及大小对结果没有影响,所以我们可以随便为该模型赋予一个截面。本例中笔者使用软件默认的圆形截面,最后使用Share命令对梁模型进行几何拓扑共享设置。建立好的梁模型如下图所示。
在Details of End Release中,将Scope中的Vertex Geometry选择为两段梁的铰接点C,Edge Geometry选择为其中的一段梁,将Definition中的Rotation Z设置为Free,表示我们释放z轴的转动自由度。至此,铰接设置完毕。
根据题意,本例的约束为:左段固定,约束6个自由度;右端为固定铰支座,释放1个转动自由度。在Workbench中,左端使用Fixed Support实现,右端使用Displacement(固定3个方向平动)和Fixed Rotation(释放Z轴转动)组合实现。设置的约束如下图:
根据题意,本例中的载荷包括50kN的集中力,20kN/m的分布力和5kN·m的扭矩。其中50kN集中力通过Force实现;20kN/m的分布力通过Line Pressure实现;5kN·m的扭矩通过Moment实现。设置的载荷如下:
求解设置全部保持默认。
由于我们需要绘制弯矩图和剪力图,所以需要建立一个Path,将结果映射到Path上。右键Model → Insert → Construction Geometry → Path,然后在Details of path中将path type切换为edge,依次选择建立的5根线体,点击Apply确定选择。
2. 弯矩图:
我们发现,使用ANSYS Workbench绘制的剪力图和弯矩图与材料力学方法绘制的完全一致。
01 齿轮动态接触分析
02 冲压成型仿真
HyperMesh与ANSYS联合仿真(一)
如何在HyperMesh中使用ANSYS命令
01 Weak Spring-弱弹簧
02 End Releases-端部释放
03 Remote Force-远端力
工程师必备
- 项目客服
- 培训客服
- 平台客服
TOP




















