同济大学陈涛: DMSO掺杂的聚合物水凝胶电解质,在−20至100°C的温度下保留高电容的柔性超级电容器


【科研摘要】
柔性超级电容器 由于其高功率密度,长期循环寿命和出色的安全性而引起了越来越多的关注。与其他储能设备一样,柔性超级电容器在极端寒冷和 /或闷热的气候下工作时,性能也会严重下降,这极大地限制了其实际应用。
同济大学陈涛: DMSO掺杂的聚合物水凝胶电解质,在−20至100°C的温度下保留高电容的柔性超级电容器的图1
最近 同济大学 陈涛教授 团队 展示了一种具有高离子传导性的聚合物水凝胶,用于具有高性能和出色的耐候性的柔性超级电容器。 聚合物水凝胶的宽温度适应性是通过引入二甲基亚砜 ( DMSO)的添加剂实现的,该添加剂可与水分子和聚合物分子的官能团形成丰富的氢键。 优化的水凝胶在 -20和100°C下分别具有0.82和1.12 S m -1 的高离子电导率,与室温下的电 导率相当。使用聚合物水凝胶作为电解质,与之相比,所得的超级电容器不仅显示出高电化学性能,而且在低温( -20°C)和高温(100°C)时均显示出高达91%和85%的高电容保持率。
同济大学陈涛: DMSO掺杂的聚合物水凝胶电解质,在−20至100°C的温度下保留高电容的柔性超级电容器的图2
此外,即使在-20°C的条件下,开发的超级电容器也具有出色的机械柔韧性。具有宽温度耐受性的聚合物水凝胶将来很容易实现功能化,并广泛用于在恶劣环境下工作的其他柔性能源设备和电子产品。 相关论文以题为 Flexible supercapacitors with high capacitance retention at temperatures from 20 to 100 ° C based on DMSO-doped polymer hydrogel electrolytes 发表在《 Journal of Materials Chemistry A

【主图导读】
同济大学陈涛: DMSO掺杂的聚合物水凝胶电解质,在−20至100°C的温度下保留高电容的柔性超级电容器的图3
1 .防冻水凝胶的合成过程示意图( a )和水凝胶中水,DMSO和聚合物链之间的氢键相互作用(b)。(c和d)抗冻P(AMPS 0.3 -co-AAM 0.4 )水凝胶的FTIR光谱。(e和f)不同放大倍数的P(AMPS 0.3 -co-AAM 0.4 )水凝胶的SEM图像。(g和h)冷冻1周后,拉伸不含DMSO和LiCl的PAAM水凝胶的数码照片(g)和具有DMSO和LiCl的P(AMPS 0.3 -co-AAM 0.4 )水凝胶的数字照片。
同济大学陈涛: DMSO掺杂的聚合物水凝胶电解质,在−20至100°C的温度下保留高电容的柔性超级电容器的图4
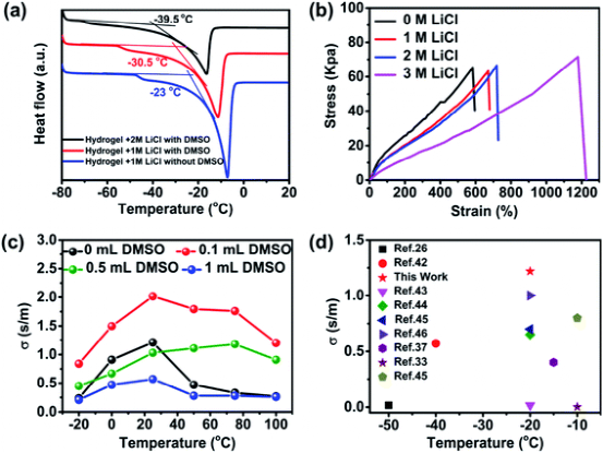
2 (a)具有不同DMSO和LiCl含量的P(AMPS 0.3 -co-AAM 0.4 )水凝胶的DSC曲线。(b)不同LiCl含量的P(AMPS 0.3 -co-AAM 0.4 )水凝胶的应力-应变曲线。(c)所添加的DMSO P(AMPS 0.3 -co-AAM 0.4 )水凝胶的不同含量的离子电导率随温度的变化。(d)将抗冻P(AMPS 0.3 -co-AAM 0.4 )水凝胶与先前报道的低于零温度的其他水凝胶的离子电导率进行比较。
同济大学陈涛: DMSO掺杂的聚合物水凝胶电解质,在−20至100°C的温度下保留高电容的柔性超级电容器的图5
3 基于抗冻P(AMPS 0.3 -co-AAM 0.4 )水凝胶的超级电容器在室温下的电化学性能。(a和b)基于抗冻水凝胶的超级电容器在室温下的CV和GCD曲线。(c)不同电流密度下的超级电容器的电容。(d)在不同的柔性条件下超级电容器的各种机械变形的数字图像。(e)在不同弯曲角度下超级电容器的电容保持率。(f)5000次弯曲后超级电容器的电容保持率。装置在不同弯曲时间下的插入GCD曲线。
同济大学陈涛: DMSO掺杂的聚合物水凝胶电解质,在−20至100°C的温度下保留高电容的柔性超级电容器的图6
4 使用P(AMPS 0.3 -co-AAM 0.4 )水凝胶的CNT/PANI电极型超级电容器的宽温度范围操作特性。(a)低温和高温下超级电容器的示意图。(b)在不同的工作温度下,器件在3.33 mA cm -2 下的GCD曲线。(c)在不同工作温度下超级电容器的比电容。(d)超级电容器在不同工作温度下的电化学阻抗谱图(10 2 至10 5 Hz)。(e)在很宽的温度范围内循环测试超级电容器的比电容。(f)温度超级电容器与之前报道的其他电容器的电容保持率的比较。
同济大学陈涛: DMSO掺杂的聚合物水凝胶电解质,在−20至100°C的温度下保留高电容的柔性超级电容器的图7
5 (a和b)基于串联的抗冻P(AMPS 0.3 -co-AAM 0.4 )的三种抗冻超级电容器的GCD和CV曲线。(c)演示了三个串联的防冻超级电容器,这些超级电容器在置于室温,密封在 23.5°C并浸入84.7°C的油浴中时为LED灯泡供电。左侧的光学照片表示在平坦状态下对设备进行了测试。(d)演示设备在25°C,-19°C和97.4°C的螺旋状态下工作(如左图所示)。

参考文献 doi.org/10.1039/D1TA02397G
版权声明: 高分子材料科学 」公众号旨在分享学习交流高分子聚合物材料学等领域的研究进展。上述仅代表作者个人观点。如有侵权或引文不当请联系作者修正。商业转载或投稿请后台联系编辑。感谢各位关注!

【往期回顾】
【1】 《Science Advances》康奈尔大学马明林:可细胞递送的水凝胶反向呼吸封装系统
【2】《大分子》浙大吴子良/郑强/杜淼,华工孙桃林:氢键缔合介导的韧性超分子水凝胶的动力学和粘弹性
【3】 台湾大学徐善慧《材料化学》分层胶束结构和快速粘合性的可注射酚醛-壳聚糖自修复水凝胶
【4】 《AFM》北化刘惠玉/郭新东:NIR激光触发的微针液体创可贴,用于伤口护理

登录后免费查看全文
立即登录
App下载
技术邻APP
工程师必备
  • 项目客服
  • 培训客服
  • 平台客服

TOP