变压器铭牌上都有什么信息?怎么看?


变压器铭牌上都有什么信息?怎么看?的图1


变压器总容量是变压器的一项重要参数,在变压器的铭牌上是有标识的!如图所示

变压器铭牌上都有什么信息?怎么看?的图2

我们在来解读一下变压器的铭牌
产品型号
变压器铭牌上都有什么信息?怎么看?的图3
额定容量
800KVA是指视在功率。如何根据功率来计算需要多大容量的变压器呢?
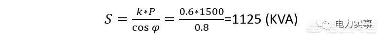
计算公式如下:

变压器铭牌上都有什么信息?怎么看?的图4

式中,S表示变压器的容量,单位KVA;k表示设备共用系数,0-1之间;P表示设备总功率,单位KW;cosψ表示功率因素,一般取0.8
举个例子:一个车间总功率1500KW,共用系数取0.6。那么需要多大容量的变压器?
变压器铭牌上都有什么信息?怎么看?的图5
额定电压
6000±5%表示一次侧输入电压6000V,400表示二次侧输出电压400V
联接标号
表示变压器三相绕组的连接方式。第一个Y表示一次侧(输入)三相绕组作星型联接,第二个Y表示二次侧(输出)三相绕组作星型联接。                                          
原理图 如下:
变压器铭牌上都有什么信息?怎么看?的图6
冷却方式
ONAN表示油冷,就是变压器绕组泡在变压器油里,依靠变压器油散热。除了油冷以外还有风冷,风冷就是用轴流风机给绕组散热。
变压器铭牌上都有什么信息?怎么看?的图7
短路阻抗
将变压器二次绕组短路(稳态),一次绕组达到额定电流而允许施加的电压,通常Uz以额定电压的百分数表示。短路阻抗是变压器很重要的一相参数。
绝缘水平
LI——雷电冲击耐受电压;SI——操作冲击耐受电压;AC——工频耐受电压。
LI 75 AC 35表示变压器一次测绝缘,雷电冲击耐受电压为75KV,工频耐受电压为35KV
后面那个AC5表示变压器二次侧绝缘,工频耐受电压为5KV。
分接位置
变压器一次测有三个端子,根据输入电压的大小来选择接那个端子,以保证输出电压是400V。如图所示:

变压器铭牌上都有什么信息?怎么看?的图8


来源:网络

变压器铭牌上都有什么信息?怎么看?的图9


Ξ  视频号Vol.87  震撼!这,就是中国特高压!


Ξ DWG图纸合集领取

变压器铭牌上都有什么信息?怎么看?的图10

变压器铭牌上都有什么信息?怎么看?的图11

变压器铭牌上都有什么信息?怎么看?的图12

变压器铭牌上都有什么信息?怎么看?的图13

变压器铭牌上都有什么信息?怎么看?的图14

Ξ 合集资料领取

变压器铭牌上都有什么信息?怎么看?的图15

变压器铭牌上都有什么信息?怎么看?的图16

Ξ 扫码关注

变压器铭牌上都有什么信息?怎么看?的图17

Ξ 线上广告入驻

变压器铭牌上都有什么信息?怎么看?的图18

【免责声明】文章为作者独立观点,不代表电力变压器视界立场。如因作品内容、版权等存在问题,请于本文刊发30日内联系电力变压器视界进行删除或洽谈版权使用事宜。
⇩⇩⇩点击“原文链接”领取“2.57G变压器&成套设备资料包”
登录后免费查看全文
立即登录
App下载
技术邻APP
工程师必备
  • 项目客服
  • 培训客服
  • 平台客服

TOP