(图解)神经网络之CNN与RNN的关系
2021年11月4日 09:51浏览:2934 评论:1 收藏:3
来源 | pytorch之计算机视觉
1、CNN介绍
CNN是一种利用卷积计算的神经网络。它可以通过卷积计算将原像素很大的图片保留主要特征变成很小的像素图片。本文以李宏毅老师ppt内容展开具体介绍。
1.1 Why CNN for Image
1.3 卷积层
1.3.1 重要参数
1.3.2 卷积计算
1.3.3 卷积层与全连接层的关系
1.4 池化层
1.5 应用
torch.nn.Conv2d(
in_channels: int, #输入图像的通道数
out_channels: int, #卷积产生的输出通道数
kernel_size: Union[T, Tuple[T, T]], #卷积核大小
stride: Union[T, Tuple[T, T]] = 1, #卷积的步数 默认:1
padding: Union[T, Tuple[T, T]] = 0, #0填充添加到输入的两边 默认:0
dilation: Union[T, Tuple[T, T]] = 1, #核元素之间的间距 默认:1
groups: int = 1, #从输入通道到输出通道的阻塞链接数,默认:1
#groups:控制输入和输出之间的连接,输入和输出通道数必须被组整除,
#当groups=1:所有输入移交给所有输出
#当groups=2:相当于两个卷积层,一个看到一半的输入通道并产生一半的输出通道,将两个合并
#当groups=in_channels:每个通道都有自己的一组过滤器,其大小为out_channel/in_channel
bias: bool = True, #将可学习的偏差添加到输出中 默认:true
padding_mode: str = 'zeros')
#注:kenerl_size,stride,padding,dilation参数类型可以是int,可以是tuple,当是tuple时,第一个int是高度维度,第二个是宽度维度。当是单个int时,高度宽度值相同
# 方形核和等步幅
m = nn.Conv2d( 16, 33, 3, stride= 2)
# 非方形核和不等步幅和填充
m = nn.Conv2d( 16, 33, ( 3, 5), stride=( 2, 1), padding=( 4, 2))
# 非方形核和不等步幅和填充和扩展
m = nn.Conv2d( 16, 33, ( 3, 5), stride=( 2, 1), padding=( 4, 2), dilation=( 3, 1))
input = torch.randn( 20, 16, 50, 100)
output = m(input)
import torchvision.models as models
import torch.nn as nn
import torch
from torchsummary import summary
device = torch.device( 'cuda' if torch.cuda.is_available() else 'cpu')
model = models.vgg16(pretrained= True).to(device)
print(model)
VGG(
(features): Sequential(
( 0): Conv2d( 3, 64, kernel_size=( 3, 3), stride=( 1, 1), padding=( 1, 1))
( 1): ReLU(inplace)
( 2): Conv2d( 64, 64, kernel_size=( 3, 3), stride=( 1, 1), padding=( 1, 1))
( 3): ReLU(inplace)
( 4): MaxPool2d(kernel_size= 2, stride= 2, padding= 0, dilation= 1, ceil_mode= False)
( 5): Conv2d( 64, 128, kernel_size=( 3, 3), stride=( 1, 1), padding=( 1, 1))
( 6): ReLU(inplace)
( 7): Conv2d( 128, 128, kernel_size=( 3, 3), stride=( 1, 1), padding=( 1, 1))
( 8): ReLU(inplace)
( 9): MaxPool2d(kernel_size= 2, stride= 2, padding= 0, dilation= 1, ceil_mode= False)
( 10): Conv2d( 128, 256, kernel_size=( 3, 3), stride=( 1, 1), padding=( 1, 1))
( 11): ReLU(inplace)
( 12): Conv2d( 256, 256, kernel_size=( 3, 3), stride=( 1, 1), padding=( 1, 1))
( 13): ReLU(inplace)
( 14): Conv2d( 256, 256, kernel_size=( 3, 3), stride=( 1, 1), padding=( 1, 1))
( 15): ReLU(inplace)
( 16): MaxPool2d(kernel_size= 2, stride= 2, padding= 0, dilation= 1, ceil_mode= False)
( 17): Conv2d( 256, 512, kernel_size=( 3, 3), stride=( 1, 1), padding=( 1, 1))
( 18): ReLU(inplace)
( 19): Conv2d( 512, 512, kernel_size=( 3, 3), stride=( 1, 1), padding=( 1, 1))
( 20): ReLU(inplace)
( 21): Conv2d( 512, 512, kernel_size=( 3, 3), stride=( 1, 1), padding=( 1, 1))
( 22): ReLU(inplace)
( 23): MaxPool2d(kernel_size= 2, stride= 2, padding= 0, dilation= 1, ceil_mode= False)
( 24): Conv2d( 512, 512, kernel_size=( 3, 3), stride=( 1, 1), padding=( 1, 1))
( 25): ReLU(inplace)
( 26): Conv2d( 512, 512, kernel_size=( 3, 3), stride=( 1, 1), padding=( 1, 1))
( 27): ReLU(inplace)
( 28): Conv2d( 512, 512, kernel_size=( 3, 3), stride=( 1, 1), padding=( 1, 1))
( 29): ReLU(inplace)
( 30): MaxPool2d(kernel_size= 2, stride= 2, padding= 0, dilation= 1, ceil_mode= False)
)
(classifier): Sequential(
( 0): Linear(in_features= 25088, out_features= 4096, bias= True)
( 1): ReLU(inplace)
( 2): Dropout(p= 0.5)
( 3): Linear(in_features= 4096, out_features= 4096, bias= True)
( 4): ReLU(inplace)
( 5): Dropout(p= 0.5)
( 6): Linear(in_features= 4096, out_features= 1000, bias= True)
)
)
model.classifier = nn.Sequential(
*list(model.classifier.children())[: -1]) # remove last fc layer
print(model)
summary(model,( 3, 224, 224))
----------------------------------------------------------------
Layer (type) Output Shape Param #
================================================================
Conv2d -1 [ -1, 64, 224, 224] 1, 792
ReLU -2 [ -1, 64, 224, 224] 0
Conv2d -3 [ -1, 64, 224, 224] 36, 928
ReLU -4 [ -1, 64, 224, 224] 0
MaxPool2d -5 [ -1, 64, 112, 112] 0
Conv2d -6 [ -1, 128, 112, 112] 73, 856
ReLU -7 [ -1, 128, 112, 112] 0
Conv2d -8 [ -1, 128, 112, 112] 147, 584
ReLU -9 [ -1, 128, 112, 112] 0
MaxPool2d -10 [ -1, 128, 56, 56] 0
Conv2d -11 [ -1, 256, 56, 56] 295, 168
ReLU -12 [ -1, 256, 56, 56] 0
Conv2d -13 [ -1, 256, 56, 56] 590, 080
ReLU -14 [ -1, 256, 56, 56] 0
Conv2d -15 [ -1, 256, 56, 56] 590, 080
ReLU -16 [ -1, 256, 56, 56] 0
MaxPool2d -17 [ -1, 256, 28, 28] 0
Conv2d -18 [ -1, 512, 28, 28] 1, 180, 160
ReLU -19 [ -1, 512, 28, 28] 0
Conv2d -20 [ -1, 512, 28, 28] 2, 359, 808
ReLU -21 [ -1, 512, 28, 28] 0
Conv2d -22 [ -1, 512, 28, 28] 2, 359, 808
ReLU -23 [ -1, 512, 28, 28] 0
MaxPool2d -24 [ -1, 512, 14, 14] 0
Conv2d -25 [ -1, 512, 14, 14] 2, 359, 808
ReLU -26 [ -1, 512, 14, 14] 0
Conv2d -27 [ -1, 512, 14, 14] 2, 359, 808
ReLU -28 [ -1, 512, 14, 14] 0
Conv2d -29 [ -1, 512, 14, 14] 2, 359, 808
ReLU -30 [ -1, 512, 14, 14] 0
MaxPool2d -31 [ -1, 512, 7, 7] 0
Linear -32 [ -1, 4096] 102, 764, 544
ReLU -33 [ -1, 4096] 0
Dropout -34 [ -1, 4096] 0
Linear -35 [ -1, 4096] 16, 781, 312
ReLU -36 [ -1, 4096] 0
Dropout -37 [ -1, 4096] 0
================================================================
Total params: 134, 260, 544
Trainable params: 134, 260, 544
Non-trainable params: 0
----------------------------------------------------------------
Input size (MB): 0.57
Forward/backward pass size (MB): 218.58
Params size (MB): 512.16
Estimated Total Size (MB): 731.32
----------------------------------------------------------------
2、RNN介绍
2.1 引言
I would like to arrive Taipei on November 2nd;
这里的Taipei就是Destination,November 2nd就是time of arrival;
2.2 RNN简介
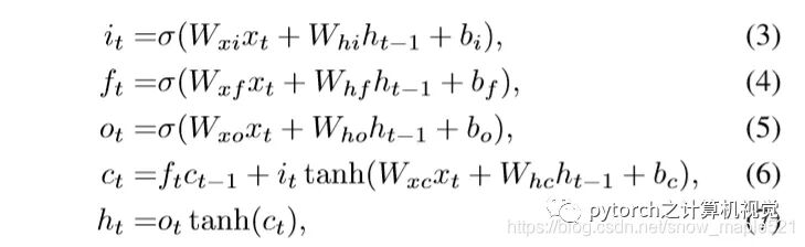
2.3 RNN之LSTM
2.4 LSTM例子
2.5 LSTM实战
class QstEncoder(nn.Module):
def __init__(self, qst_vocab_size, word_embed_size, embed_size, num_layers, hidden_size):
super(QstEncoder, self).__init__()
self.word2vec = nn.Embedding(qst_vocab_size, word_embed_size)
self.tanh = nn.Tanh()
self.lstm = nn.LSTM(word_embed_size, hidden_size, num_layers)
self.fc = nn.Linear( 2*num_layers*hidden_size, embed_size) # 2 for hidden and cell states
def forward(self, question):
qst_vec = self.word2vec(question) # [batch_size, max_qst_length=30, word_embed_size=300]
qst_vec = self.tanh(qst_vec)
qst_vec = qst_vec.transpose( 0, 1) # [max_qst_length=30, batch_size, word_embed_size=300]
_, (hidden, cell) = self.lstm(qst_vec) # [num_layers=2, batch_size, hidden_size=512]
qst_feature = torch.cat((hidden, cell), 2) # [num_layers=2, batch_size, 2*hidden_size=1024]
qst_feature = qst_feature.transpose( 0, 1) # [batch_size, num_layers=2, 2*hidden_size=1024]
qst_feature = qst_feature.reshape(qst_feature.size()[ 0], -1) # [batch_size, 2*num_layers*hidden_size=2048]
qst_feature = self.tanh(qst_feature)
qst_feature = self.fc(qst_feature) # [batch_size, embed_size]
return qst_feature
3、CNN与RNN的区别
CNN与RNN区别链接如下,引用了这个博客作者总结,(https://blog.csdn.net/lff1208/article/details/77717149)具体如下。
DNN形成
CNN形成
RNN形成
技术邻APP
工程师必备
工程师必备
- 项目客服
- 培训客服
- 平台客服
TOP
1
1
3




















