COMSOL井筒井壁模型汇总
很久没有发帖了,在此给大家拜个晚年,今天的帖子是井筒井壁模型的一个汇总,其中, 8-12模型,我也没有,只是展示一下。1和2模型,我还在洽谈采购中,希望能给大家一点帮助。世间资源太分散,我也无力得到所有模型,也买不起那么多,我自己,早就破产过无数回,现在穷的叮当响,我都已经花了10万多了。资源整合这件事不好干,大自然的搬运工,说起来很美好,但是做起来很难。只是希望大家不要讨厌我,就行了。
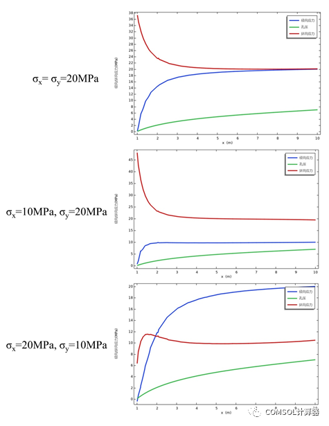
1、COMSOL井壁周围环向应力与径向应力
2021年12月17日927
本案例考察不同地应力下井壁周围环向应力与径向应力分布,同时考虑孔隙水压对围岩应力分布影响。comsol后处理中并不能直接得到环向应力与径向应力,需要通过x、y方向应力转化得到。具体结果如下,从图中可以看到不同的水平、垂直地应力大小,会产生不同的应力分布。在井壁周围,径向应力最小,环向应力与von Mises屈服应力最大。此案例仅考虑水压对应力影响,后续还可以考虑温度、损伤对其影响。
2、COMSOL模拟流固耦合井筒周围应力分布
此案列介绍在井筒壁周围施加径向荷载(孔压和地应力),分析其径向应力、环向应力以及孔压变化,附有详细的建模说明书,有需要的请联系我。
3、利用COMSOL进行直井井眼围岩应力分析
钻井过程中的井壁失稳是一个普遍性难题,特别是在新地区的勘探井、深井和超深井中,常常由于无法掌握井下地层的组成与特性,钻井、钻井液技术与地层不匹配,造成井眼严重失稳,从而导致卡钻、划眼,泥包钻头等各种复杂事故,甚至使油井报废。
从岩石力学的观点研究钻井过程中的井壁稳定,利用已测室内试验得到的岩石力学参数,在COMSOL有限元数值模拟软件基础上建立井壁模型,揭示钻井过程井眼围岩应力分布,为防止井壁失稳提供依据和指导。
物理模型:
由于井眼直径远小于井深,故可把直井井眼模型简化为平面应变模型。图1是直井井眼力学模型,把地层看作线弹性体,在x方向无限远处作用有最大水平地应力,在y方向无限远处作用有最小水平地应力,在井眼内部作用有钻井液的液柱压力,地层内部作用有地层孔隙压力。
4、井壁应力数值模拟模型
(1)井斜角和方位角进行参数化计算。在建模中,定义了井筒的井斜角和方位角
(2)变量定义了崩塌压力,也可以进行参数化计算
(3)采用固体力学模块用来描述岩体受到外荷载作用下的应力变化,固体力学模块和达西渗透模块进行耦合,即可对多孔弹性介质问题进行求解。
(4)针对井斜角和方位角进行了扫描,注意井斜角的范围是0-90度,方位角的范围是0-360度。
5、油藏水平井
本例对具有两个水平井的油藏进行建模。油藏包含两个相:水和油。我们通过底部井注入水来回收油,从而计算出产油率和水油比随时间的变化。
6、分支井的破坏
分支井指从单井分出多个分支的井,由于分支井可以开采多个生产层并绕过不渗透的生产层,因此可以有效地生产石油。遗憾的是,钻井工程技术人员通常必须采用机械方法来稳定带有衬管或套管的分支井,这可能要花费数百万美元。井眼上不使用套管可以降低建造成本,但是在安装期间及抽水开始后,井眼发生灾难性故障的风险相对较高。
多孔弹性仿真计算与抽水相关的三维压实,其中通过利用达西定律获取地下流体流动,并将其与通过应力-应变分析得到的结构位移相耦合。此模型着重分析了抽水开始后流体压力变化引起的弹性位移。
7、射孔完井
描述流体如何流入绕井眼定向的小孔的能力成为人们频繁分析的主题。由于射孔是独立的穿孔,不是环形,因此流场不适合采用轴对称分析,而需要采用全三维仿真。
此 App 支持针对不同的井、储层和流体属性模拟流入射孔井眼的达西流,从而预测每个射孔处的流体摄入量,可分析包含不同属性的储层中开有多达 10 个不同尺寸射孔的井。此 App 计算每个射孔的抽运率,并将储层中的流场以及井上的压力分布可视化。
8、应用comsol分析水力压裂对井眼附近应力场的影响
在各种应力作用下,井眼围岩会发生应力集中现象,也会发生一定规律下的压缩和拉伸。具体分析了岩石弹性模量、地应力和井眼液柱压力对应力场的影响。
算例参数的取值 各参数对井眼应力场的影响3D图如下。 图1 井眼应力场变化的3D图 图2 井眼应力场变化的切片图 (1)弹性模量 弹性模量对井眼应力场的影响可以用下图表示。 图3 弹性模量和井眼应力关系曲线 由图可知,弹性模量对近井区域的应力场分布状态没有影响,近井区域应力集中值的大小是由地应力、孔隙压力和液柱压力等参数确定;但是弹性模量会影响岩石材料何时何大发生屈服。随着弹性模量的增大,岩石材料的屈服值呈现逐渐增大的趋势。 (2)最小水平应力 最小水平应力对井眼应力的影响可以用下图表示。 图4 最小水平应力和井眼应力关系曲线 由图可知,随着最小水平应力的增大,井眼应力呈现逐渐增大的趋势,但井眼应力场分布特征变化不大,井眼应力场分布逐渐呈现轴对称。 (3)液柱压力 液柱压力对井眼应力的影响可以用下图表示。 图5 液柱压力和井眼应力关系曲线 由图可知,随着液柱压力的增大,井眼应力呈现逐渐减小的趋势,井眼形状逐渐变成圆形,当液柱压力和最大水平应力一致时,内外压力平衡。 9、应用COMSOLMultiphysics分析多分支缝初始裂缝起裂点 根据近井区域压裂井眼的有限元模拟结果,可以确定初始裂缝的起裂点。由软件输出的冯-米塞斯应力图,可确定应力图中只存在一个对称的应力集中区,如下图所示。由图可知,随着液柱压力的增大,近井区域在X轴的井眼发生一对应力集中。这一对应力集中区是在压裂过程中,裂缝最容易起裂和延伸的部位。该起裂点称为起裂点1A。具体如图所示。 图1 几何模型 图2 应力场分布云图 对于水力压裂过程中,形成垂直最小水平主应力的压裂裂缝,是水力压裂的经典结论。 10、应用COMSOLMultiphysics分析多分支缝第二条裂缝起裂点 随着生产的进行,初次压裂裂缝逐渐闭合,为了进一步提高油气采收率,油田实施重复压裂措施。建立存在垂直于最小水平主应力方向裂缝的单缝重复压裂模型,裂缝长度为1m,裂缝宽度为0.005m,根据全尺寸单缝压裂和近井区域单缝压裂的有限元模拟结果,可以确定第二条裂缝的起裂点。根据软件输出的冯-米塞斯应力图,可确定应力图中有三个对称的应力集中区,如下图所示。 随着液柱压力的增大,近井区域在压裂缝尖端、压裂缝体和井眼上发生三个应力集中。这三个应力集中区是在压裂过程中,裂缝最容易起裂和延伸的部位。三个起裂点分别定义为2A、2B、2C。 对于水力压裂过程中,压裂裂缝尖端的应力集中对裂缝继续向前扩展是必须的,否则压裂缝将不会向前延伸,即起裂点2C优先。在压裂缝全堵和局部半堵时,端部的应力集中是不存在,即起裂点2C不存在。这种应力集中被裂缝形态、支撑剂和暂堵剂消除。此时井眼上的起裂点2A和裂缝中部的起裂点2B的应力集中成为裂缝起裂和延伸的可能。此时在井眼和裂缝中部起裂的新裂缝,倾向于垂直最大水平主应力,且新裂缝与原压裂缝垂直,具体如图所示。 11、应用comsol分析多分支缝压裂应力分布 正常生产井开采时孔眼处一定存在流体从地层中流出,因此只考虑地应力分析的孔眼应力是不符合实际的,应该考虑流固耦合。固体位移对渗流场有影响,同时渗流场变化又对固体位移产生影响,相互交叉,相互影响。水力压裂过程也是一个流固耦合作用过程。根据力学模型,应用Comsol软件完成该问题的数值模拟,选择多孔弹性物理场(即流固耦合场)、以致密砂岩储层为例。 根据研究问题的力学模型,建立相应的有限元数值模拟模型,具体如下。 图1 存在裂缝情况下几何模型 对模型进行有限元网格划分,具体如图。 图2存裂缝模型网格划分 采用流固耦合稳态求解器对上述问题进行求解。从井眼的位移场、孔隙压力和应力场三个方面来分析求解数据,最终实现问题的分析和解决。 图3 井眼应力场变化的3D图 在各种应力作用下,井眼围岩会发生应力集中现象,也会发生一定规律下的压缩和拉伸。最小水平应力对裂缝附近应力分布影响如下图所示。 图4 最小水平应力和井眼应力关系曲线 由图可知,随着最小水平应力的增大,井眼应力呈现逐渐增大的趋势,但井眼应力场分布特征变化不大,井眼应力场分布逐渐呈现轴对称。 12、应用COMSOL模拟水力压裂应力分布 假设条件包括:目的层无限大,远场地应力均匀分布,岩石为均质的弹性体,没有天然裂缝分布等。通过对研究目的和研究内容的分析,建立压裂井眼的力学模型,如图1所示。 根据力学模型,应用Comsol软件完成该问题的数值模拟,选择多孔弹性物理场(即流固耦合场)、以致密砂岩储层为例。有限元模拟分析分为前处理,求解,后处理三个部分,如图2所示。 根据研究问题的力学模型,建立相应的有限元数值模拟模型。为了抵消加载边界效应对计算结果的影响,采用双体耦合技术,具体图2。对模型进行有限元网格划分,具体如图3。 采用流固耦合稳态求解器对上述问题进行求解。从井眼的位移场、孔隙压力和应力场三个方面来分析求解数据,最终实现问题的分析和解决。 各参数对井眼应力场的影响3D图如下。由图可知,在井眼附近形成对称的应力集中,应力集中点为最大主应力方向,说明水力压裂裂缝的将沿最大主应力开启及扩展,通过采用参数化扫描技术,可以开展近井区域井壁受力分析,进一步分析水力裂缝起裂的影响因素。 |
工程师必备
- 项目客服
- 培训客服
- 平台客服
TOP




















