结构有限元的难点问题剖析
2022年4月27日 18:17本文转载自订阅号:fangzhenxiu2018
作者:张老师
结构有限元分析模块
第一个误差来源,即模型简化,发生在前处理阶段模型简化的是否恰当直接影响的计算结果,一般情况数值计算模型与产品的加工CAD模型还是有区别的,数值计算模型只要求把模型的主要特征反映出来,而舍去一下细致的特征,从而平衡了求解精度与计算效率。
第二个误差来源,即材料参数,就是反映计算模型的材料参数,如弹性模量,泊松比等,但是如前所述,即使找到材料参数也不能完全反应由于工艺造成的材料非均匀性,如果输入了错误的材料参数,则计算得到结果没有价值。
第三个误差来源,即工况对接,所谓工况对接,就是在软件中设置的位移约束和载荷与模型实际工况的对应情况,软件只提供了有限的位移约束和载荷类型,而分析模型可能收到的约束和载荷非常多,如果二者对应不正确,则计算结果也没有价值。
第四个误差来源,即网格划分,这个大家容易理解,也是目前很多文献提到的比较多的一个误差,要想将该误差降到最低,必须通过合理的网格加密得到网格无关解。
疲劳问题最早在19世纪初提出。德国工程师Wöhler通过对疲劳损伤问题进行系统的研究,提出了疲劳寿命与循环应力的关系,并确定应力幅是疲劳破坏的决定因素。在1871年,他提出了利用应力-寿命(S-N)曲线来分析疲劳问题的方法,为工程结构疲劳的研究奠定了理论基础。
零件的疲劳损伤是一个复杂的过程。通常可以分为三个阶段:
-
裂纹初始; -
裂纹扩展; 断裂失效。
对于外形和材料分布比较均匀的零部件来说,局部变形通常是从表面应力集中区域开始。随着加载循环次数的增加,零件的裂纹长度随之增加。达到一定循环次数之后,裂纹将导致零件失效。
在基于有限元方法计算结构的寿命中,用户需要准备有限元结果,载荷谱,材料疲劳性能曲线(SN或EN曲线),还需要引入一个计算结构疲劳损伤的准则。
疲劳损伤理论可归结为两个大类:线性损伤理论和非线性损伤理论。其中线性损失理论主要是Miner准则、修正Miner 法则及相对Miner 法则,非线性损伤累积理论主要有Manson 双线性累积理论、Corten-Dolan理论等。虽然Miner损伤准则不能考虑疲劳载荷的先后顺序,但是由于产品的疲劳寿命具有一定的分散性,而线性损伤计算方法可以基本反应出结构寿命的中位水平,此外该方法处理数据也较为方法,因此是目前工程中的一种常用方法,
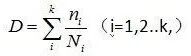
线性累积损伤理论是当前预测疲劳寿命的重要工具。假设车辆在某段实际运行载荷中,某载荷幅值出现的次数为n1,其零件S-N曲线中,同载荷幅值对应的循环次数为N1,则这段运行信号中这种载荷对零件的损伤D= n1/N1。以此为基础,零件在应力水平Si下作用ni次循环下的损伤为Di=ni/Ni,若在k个应力水平Si作用下,各经受ni次循环,则可定义其总损伤为
当D=1,即损伤值进行相加求和等于1时,就可认为零部件出现了失效。
计算损伤的范例:
(完)
关于ANSYS 2022 版本的学习资料
可在上海安世亚太订阅号自助领取
目前更新新功能资料:
HFSS、SI/PI、FLUENT、Mechanical
Twin Builder、LS-DYNA
资料持续更新中
欢迎微信扫描下方二维码领取
工程师必备
- 项目客服
- 培训客服
- 平台客服
TOP




















