分享一个公众号的关于abaqus中Johnson-Cook本构模型理解,不妥删,侵权删
标星★公众号 爱你们♥
——还没找到组织?
CAE仿真与数值模拟公众号已设立交流群, 赶快加入和小伙伴们聊聊吧!加群方法:先加小编为好友(微信号 yanstokis ),发送消息“CAE群” 。扫码有问题的也加yanstokis。
关于CAE学习交流区群:
一些福利与资料:
今天给大家分享一下jc本构模型的理解。
一,Johson-Cook动态本构模型简介
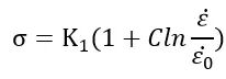
J-C本构在冲击动力学中是应用最为广泛的本构模型,其模型方程如下,十分简洁明晰:
可以看到J-C本构的主体由三部分构成,分别表征了材料的应变硬化、应变速率强化以及热软化。模型全方位考虑了流变应力与应变、应变速率以及温度之间的关系,能够满足各种条件下的仿真材料需求。(需要指出的是JC本构,采用简单的乘积形式将三项联立,说明模型只是单独考虑了应变、应变速率和温度的影响,而并未考虑各因素之间的耦合影响,所以在一些特殊情况下模型的精度可能会存在一些问题,因此在JC本构的基础上也有很多研究,对其进行了修正,感兴趣的的同学可以自行查找相关文献进行学习,在此不多赘述。JC的简单乘积形式带来的好处是,在参数的拟合上可以分开拟合,十分简洁。)
模型中A,B,n,C,m为五大材料物理特性常数,下一部分将简要讲述拟合获取方式。
Troom和Tmelt分别代表室温以及材料的熔点 。
为参考应变速率,通常取1s-1 。
二,Johson-Cook模型参数的拟合
常见材料的JC模型参数可以从网上找到,但实际应用中最有效和准确的才来哦参数还是通过试验手段获取的。这一部分将简要讲述一下JC本构获取的试验设计,以及相关的本构参数的拟合。
1. 在室温和参考应变速率下进行试验,本构模型的应变速率和温度项将退化为常数1,模型退化为。A为上述实验条件下的初始屈服应力,然后对实验数据进行简单的取对数后可得:
通过线性拟合得到斜率及截距值则可对应求出参数n和B,至此第一部分的参数A、B和n得以确定。
2. 室温下进行机组不同应变速率试验,取相同应变下的应力值进行拟合。室温条件下模型第三项温度项仍为1;相同应变下,模型第一项的应变硬化项亦退化为恒定值,通过前一步的拟合结果能够计算出此恒定值的大小,此时模型退化为简单的一次方程:
通过实验数据线性拟合即可得到应变速率常数C。
3. 温度常数m的拟合类似应变速率常数,在同一个应变速率下进行不同温度的几组实验,取相同应变下的实验数据进行分析,在前两步的拟合结果下,模型退化为简单的指数模型:
同样通过两边取对数后线性拟合,斜率值即为热软化指数m。
至此JC本构的五大模型参数都已获取。
三,Abaqus中的JC本构模型
Abaqus中的JC本构参数在材料塑性中通过硬化定义如下:
Property—Mechanical—Plasticity-Hardening:Johnson-Cook
A,B,n,m以及Melting Temp与上述一致。
Transition Temp指的是在此温度及以下,屈服应力不受温度变化影响。可以在温度参数拟合时,可以通过温度-流变应力曲线的转折点进行判断替代原始模型中的室温参数,提高模型的精确度。
Abaqus中J-C默认未考虑应变速率的影响,通过Suboptions选线中的Rate Dependent可以添加相关参数。
在Suboption Editor中的Hardening选项中选择Johnson-Cook,则弹出对话框,依次输入应变速率常数,及参考应变速率Epsilon dot zero。
至此Abaqus中的JC塑性参数设置完成。
下一讲将讲到Johnson-Cook模型的失效模型部分。
一些文章:
工程师必备
- 项目客服
- 培训客服
- 平台客服
TOP




















