如何在 COMSOL 中建立线性和非线性光学模型
2023年2月24日 16:19浏览:3795
理解非线性光学材料的磁化率
光学材料的一阶磁化率
模拟等离子体波导滤波器
光学材料的二阶磁化率
光学材料的三阶磁化率
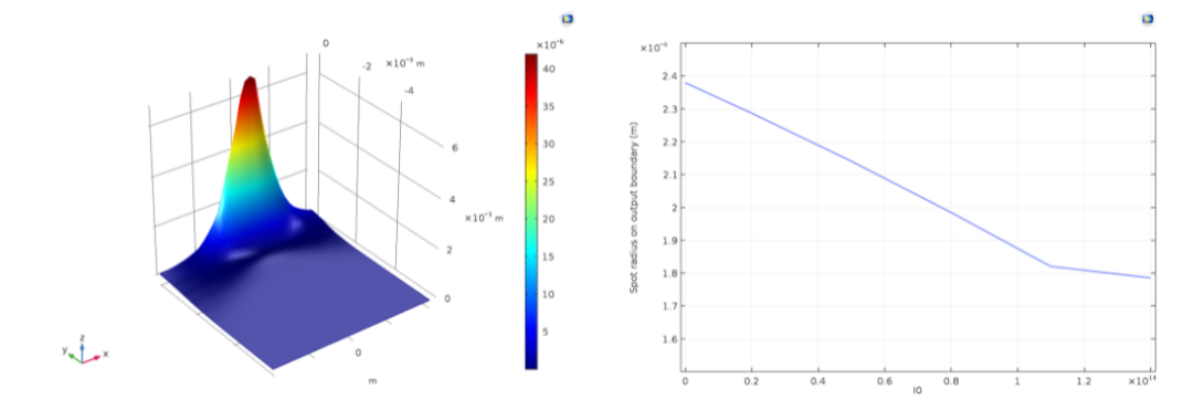
左: 高峰值强度 γI,I0= 14 GW/cm2 时的诱导折射率变化。右图 : 传播域末端的光斑半径与峰值强度的关系。
具有电光效应的材料
关于泡克耳斯效应(Pockels Effect)
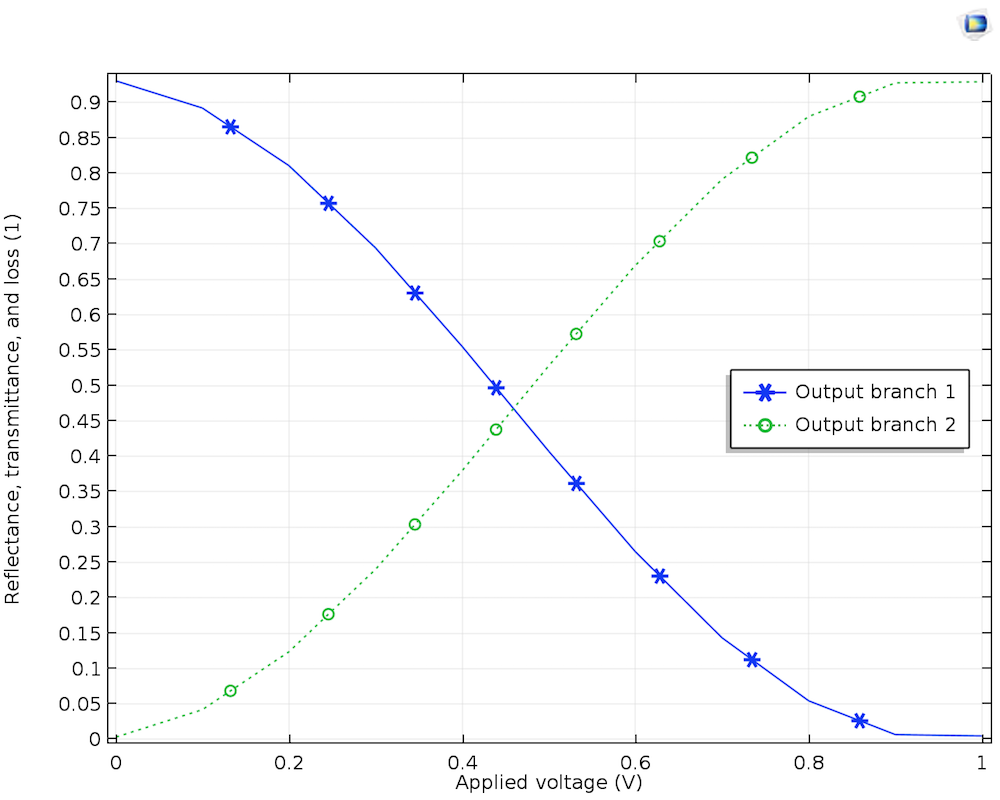
马赫-曾德尔调制器示意图。
关于克尔效应
线性和非线性光学建模的总结性思考
技术邻APP
工程师必备
工程师必备
- 项目客服
- 培训客服
- 平台客服
TOP
1




















