一种具有低表面张力和优异热导率的液态金属热界面材料
2023年5月12日 09:13
来源 | jmr&t Journal of Materials Research and Technology
背景介绍
热管理对于芯片、发光二极管(LED)、5G通信等电子电气设备的发展至关重要。电子器件产生的热量必须迅速运走,从而防止设备运行过程中出现故障。由于器件之间表面接触不完全,因此在热源与散热器的界面处总是出现气隙,此时空气的导热系数(Tc)仅为0.026 W/(mK),阻碍了热量从热源向散热器的有效传递。通过应用热界面材料(TIMs)填充气隙,可以降低界面处的接触电阻。
由于聚合物低的固有导热系限制了材料的应用,因此聚合物基TIMs通过填充导热颗粒以提高材料的导热性能,常见的导热填料如AlN (360 W/(mK)),BN(250-300W/(mK)),碳纤维(1100 W/(mK)),碳纳米管(3000 W/(mK))和石墨烯(5300 W/(mK))。镓(Ga)基液态金属(LM)由于其高导热性而引起了热管理领域的广泛关注,LM也被应用于电子领域的TIMs。
然而,LM的表面张力过高,无法湿润热源和散热器的表面,并且LM泄漏导致器件短路的风险很大。因此,芯片表面涂漆困难和漏电引起的短路成为液态金属应用的瓶颈。目前研究人员采用Cu、Fe、Ni、Mg、Ag、W等金属颗粒作为填料,以减少泄漏,提高LM的导热系数。但是,目前报道的大多数金属颗粒会形成金属间化合物,导致LM基TIM失效。
在LM中填充高导热半导体,如金刚石和Al2O3,可以提高粘度和导热性,同时也可以解决LM泄漏问题。然而,BN与液态金属复合材料尚未成功制备,这可能是由于Ga的高表面张力与BN的低表面能不匹配。为了克服LM的高表面张力问题,目前的研究重点是利用氧化镓(Ga2O3)降低LM的表面张力,但这会降低LM的导热系数。因此如何调节表面张力而且不影响LM的导热系数是目前的研究方向之一。
02
成果掠影
图文导读
图1.液态金属的制备流程示意图。
图2.(a)理想固体基质上的一滴液体,(b) BN,(c) BN + W,(d) W,(e) BN-LM- W液态金属的润湿角。
图3.不同倍数的 LM-BN-W的SEM微观结构以及EDS能谱。
图4.不同倍数的 LM+W-BN的SEM微观结构以及EDS能谱。
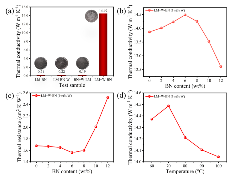
图5.(a)不同复合材料的导热系数图,(b)LM+W-BN复合材料的导热系数BN含量为0-12 wt%,(c) BN含量为0-12 wt%时LM+W-BN复合材料的热阻,(d)LM+W-BN复合材料的导热系数的温度依赖性。
图6.(a) LM- CF的SEM图像,(b) LM + W-CF的SEM图像,(c) LM- CF和 LM + W-CF复合材料的导热系数,(d) LM- CF和 LM + W-CF复合材料的热阻。
图7.(a) LM- GR的SEM图像,(b) LM + W-GR的SEM图像,(c) LM- GR和 LM + W-GR复合材料的导热系数,(d) LM- GR和 LM + W-GR复合材料的热阻。
图9.(a)高温, (b)热冲击, (C)高温高湿条件下LM+W-BN材料3周的老化实验图。
图10.(a)不加TIM、LM- BN和LM+ W-BN时的LED芯片温度变化情况,(b)不加TIM、LM- BN和LM+ W-BNN时的表面温度变化情况。
END
工程师必备
- 项目客服
- 培训客服
- 平台客服
TOP




















