Ansys Zemax | 如何将高斯光整形为平顶光
2023年5月25日 17:45概要
本文展示了如何设计光束整形器将激光器产生的高斯分布的光转换为平顶分布的光输出。(联系我们获取文章附件)
介绍
光束整形光学元件可以将入射光的光强分布转换为其他特定的分布输出。最常见的例子就是将激光器产生的高斯分布的光转换为平顶(Top-Hat)分布的光输出。在评价函数中使用几何光线来优化透镜的矢高是一个很有效的方法。在这一方法中,我们将计算给定输入光分布时,输出面应有的结果,并通过几何光线目标的形式输入到评价函数编辑器中。下表显示的是这样一个光束整形系统,其输入光为束腰为W的高斯光,输出光为平顶半径为K的平顶光。
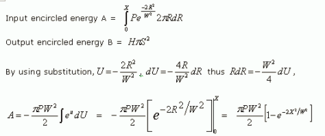
首先,对于已知光束在坐标X处的圈入能量为A,我们需要分析确定当输出光的辐射距离S为多少时可以保证输出光圈入能量B和输入光的相同。
处理分析
对于能量的 1/e2 处束腰为W的输入高斯光,我们想要的输出光的轮廓是一个在半径 K 内均保持均一最大值的分布。其中输入光的辐照度分布为 Pexp{-(2R2/W2)},输出光的辐照度分布为最大值为H、半径为K的阶跃函数。
现在我们可以计算对于任意输入光坐标 X 处的输出光的坐标 S。我们可以在评价函数编辑器中使用操作数 REAY 来确定一组输入光线的坐标对应的输出光线的坐标结果。在操作数 REAY 中,我们首先要确定输入坐标的归一化半径及其在像面上对应的点。相比繁琐的手动输入操作数,我们可以使用一段 ZPL 宏程序来自动生成评价函数并优化透镜。
请将示例文件中的宏程序 Beam Homogenizer.ZPL 拷贝到你的 Zemax 宏程序目录下({Zemax}/Macro folder)。
优化
打开附件中的镜头文件 Beam_Homogenizer.ZMX。示例系统为一个前表面为偶次非球面面型的平凸透镜。优化变量为曲率、圆锥系数和偶次非球面的系数。系统工作波长为0.623μm(HeNe),玻璃材料为 N-BK7。
在主菜单中,点击 Macros/Beam Homogenizer。在执行完宏程序后,草图窗口应如下所示:
需要注意的是,输入光的切趾为高斯型但输出光为均匀分布。在像面上每条光线的间隔几乎是一致的,这说明像面上的辐照度分布应该非常接近理想的平顶分布。
几何图像分析
几何图像分析(分析-扩展图像分析-几何图像分析)可以提供表面1上的高斯分布和像面上的平顶分布。
如果我们将在几何图像分析的设置中的光线数量提高至 500000 根并将像素数量设为 200,我们会得到更好信噪比的结果(如下所示)。
如果想要优化其他束腰为 W 的输入光和平顶半径为 K 的输出光,你可以在宏程序中更改相应的变量即可。
小结
这篇文章展示了如何使用 OpticStudio 的几何光线追迹来优化一个光束整型器。使用几何光线可以进行快速的优化,并且其结果显示像面上的辐照度表现出很好的均一性。
工程师必备
- 项目客服
- 培训客服
- 平台客服
TOP




















