大客车空调压缩机悬置机构优化仿真

摘要 :改进大客车常用曲轴连杆式空调压缩机悬置机构,基于与汽车动力总成悬置系统的相似性,考虑发动机振动和带传动对压缩机振动影响,建立压缩机总成—发动机集总参数模型。以系统能量解耦率为优化目标,系统固有频率和悬置刚度约束作为约束条件,悬置的三向刚度值为设计变量进行优化设计。基于ADAMS建立压缩机总成—发动机动力学模型,仿真结果表明悬置机构改进后压缩机振动减弱,优化后悬置支反力、压缩机质心纵向位移和绕转动轴角加速度明显下降,证明改进悬置机构和优化方法对压缩机隔振的可行性和有效性。
关键词 :振动与波;空调压缩机;悬置机构;动力学仿真;大客车;解耦率
压缩机是大客车空调系统核心部件,其中曲轴连杆式压缩机由于制造技术成熟、结构简单、对加工材料和加工工艺要求低、制冷量大等特点多应用在大型客车上[1],如图1所示。但其在工作过程中会有较大的振动,所以必须安装有相应的悬置机构。
大客车空调压缩机悬置机构优化仿真的图1
目前国内普遍采用如图2 所示的悬置机构,压缩机总成安装在可绕支架芯轴转动的底座上,减振弹簧吸收发动机振动、保持皮带张紧[2-4]。由于减振机构无法吸收压缩机自身产生的振动,且与车身刚性连接,振动直接传递至车身,极大降低大客车NVH性能和乘坐舒适性。
大客车空调压缩机悬置机构优化仿真的图2
1 改进后的悬置机构
针对目前国内大客车压缩机悬置机构无法降低、吸收压缩机自身振动的缺点,对悬置机构作相应的改进。改进后的压缩机悬置机构用橡胶块替代支架芯轴机构,压缩机总成通过橡胶块和张紧弹簧柔性地和车身相连接,如图3所示。
大客车空调压缩机悬置机构优化仿真的图3
改进后的压缩机总成通过橡胶块和螺旋弹簧柔性地和车身连接,类似于动力总成悬置系统,二者具有如下相似性:
(1)二者都起到支承、连接作用,前者连接压缩机总成和车身,后者连接动力总成和车身;
(2)二者都起到保护、限位作用,分别防止压缩机总成和动力总成出现较大的位移,出现干涉和碰撞现象;
(3)二者都起到隔振作用,分别降低压缩机和发动机振动对车身的影响;
(4)二者的激振源具有相似性,曲轴连杆式压缩机和发动机产生的往复惯性力和倾覆转矩具有相似性。
因此,基于动力总成悬置系统优化设计理论对压缩机总成悬置系统进行优化设计。
2 建立集总参数模型
压缩机总成固有频率远大于悬置系统固有频率,因此将压缩机总成简化为刚体,将橡胶悬置简化为沿空间3 个相互垂直方向上的弹性—阻尼元件,发动机和压缩机连接的V型皮带约束则简化为沿皮带方向的线性弹簧[5, 6]。
简化后的悬置模型如图4所示。
大客车空调压缩机悬置机构优化仿真的图4
建立如图4 所示的压缩机总成坐标系G0 xyz 和悬置局部坐标系Oi xi yi zi,G0为压缩机总成质心,x 轴垂直于压缩机曲轴、平行于地面且指向发动机,y 轴平行于压缩机曲轴中心线,z 轴按右手定则确定。常用橡胶悬置系统阻尼很小,基于实模态理论,利用式(1)研究悬置系统的固有振动特性[7]
大客车空调压缩机悬置机构优化仿真的图5
式中M为系统质量矩阵;K为系统刚度矩阵;x 为系统坐标列向量。
大客车空调压缩机悬置机构优化仿真的图6
表1 列出某款大客车压缩机总成质量和在压缩机总成坐标系下的转动惯量和惯性积,可以得出系统的质量矩阵M。
大客车空调压缩机悬置机构优化仿真的图7
悬置局部坐标系Oi xi yi zi坐标原点为其弹性中心,坐标轴为其弹性主轴,则悬置i 的刚度矩阵定义为
大客车空调压缩机悬置机构优化仿真的图8
式中kui、kvi、kwi为悬置i的三向刚度值。悬置系统总的刚度矩阵为
大客车空调压缩机悬置机构优化仿真的图9
式中Bi0为悬置i 的坐标系Oi xi yi zi在压缩机总成坐标系G0 xyz 中的方向余弦矩阵,悬置i 坐标系Oi xi yi zi与G0 xyz夹角如表2。
大客车空调压缩机悬置机构优化仿真的图10
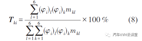
Ei为压缩机总成位移x 计算沿局部坐标弹性变形的位移转换矩阵。
大客车空调压缩机悬置机构优化仿真的图11
3 悬置系统优化设计
悬置系统设计应尽可能解除六个自由度之间的振动耦合,一方面减小可能激起共振的相应频带宽度,另一方面合理配置固有频率,使激振频率远离共振频率,获得良好整体隔振效果[8]。
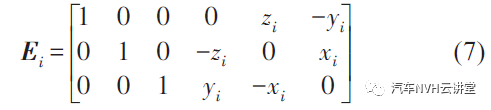
第i 阶主振动第k 个坐标上的振动能量占系统总能量的百分比为[9]
大客车空调压缩机悬置机构优化仿真的图12
式中mkl为系统质量矩阵M的第k 行第l 列元素,(φi)l为阵型(φi)的第l 个元素,(φi)k 为阵型(φi)的第k 个 元素。
Tki可以用来表示悬置系统在k 方向的解耦度。如果Tki=100 %,则表示悬置系统作第i 阶模态振动时,能量全部集中在k 坐标上,其余广义坐标上振动能量为0。
优化设计以系统解耦率最大为目标函数,尤其是激振力Z 和θx方向解耦率,以左、右悬置的三向刚度和后螺旋弹簧刚度为优化设计的变量。优化设计的约束变量有两个。首先,悬置系统固有频率范围约束,须大于地面的激励频率,小于压缩机自身激振频率。
大客车空调压缩机悬置机构优化仿真的图13
式中fi为系统固有频率(i=1,2, ⋯,6)。
其次,悬置的刚度约束,刚度太低易出现碰撞,刚度太大不起减振作用。
大客车空调压缩机悬置机构优化仿真的图14
以序列二次规划法即SQP算法为本次优化的优化算法。
对悬置机构改进后,初步设定左右悬置橡胶块和后悬置螺旋弹簧刚度初始值和优化后悬置刚度如表3 所示,优化后悬置系统固有频率、解耦率和初始值对比如表4所示。
优化后系统固有频率配置更加合理。优化后最大固有频率为19.00 Hz,远小于优化前最大固有频率24.99 Hz,且在合理范围之内。六个自由度方向解耦率均有明显的提高,尤其是比较关注的Z 和θx方向,分别提高到85.91 %和91.90 %,均达到85 %以上。
大客车空调压缩机悬置机构优化仿真的图15
大客车空调压缩机悬置机构优化仿真的图16
4 悬置系统仿真分析
基于ADAMS建立压缩机总成—发动机动力学模型,其中发动机曲轴和压缩机惰轮的参数如表5所示。
大客车空调压缩机悬置机构优化仿真的图17
大客车空调压缩机悬置机构优化仿真的图18
在压缩机总成质心处施加周期正弦载荷模拟压缩机自身振动激励[10]。
大客车空调压缩机悬置机构优化仿真的图19
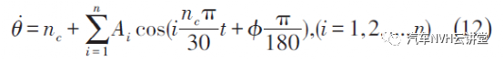
发动机振动激励主要是曲轴产生的周期旋转速度产生的振动,其振动频率和发动机点火频率相同,该激励源的波动部分可用一组简谐波叠加表示为[11]
大客车空调压缩机悬置机构优化仿真的图20
式中nc为曲轴稳态转速;i 为曲轴转速阶次;Ai和φ 为曲轴第i阶转速幅值、相位。
综合采用的发动机和压缩机,曲轴转速波动函数为
大客车空调压缩机悬置机构优化仿真的图21
建立动力学模型如图6所示。
对压缩机总成—发动机模型进行仿真分析,对比改进前后压缩机质心Z 向位移和绕压缩机曲轴角加速度值如图7、图8所示。
大客车空调压缩机悬置机构优化仿真的图22
大客车空调压缩机悬置机构优化仿真的图23

改进悬置机构后,压缩机质心Z 向位移振幅明显下降,绕曲轴角加速度幅值也大大下降,表明改进压缩机悬置机构后压缩机振动有较大降低。
基于ADAMS/view得到优化前后三个悬置支反力、压缩机质心Z 向位移和绕压缩机曲轴角加速度,如图9—图12所示。
大客车空调压缩机悬置机构优化仿真的图24
优化后三个悬置支反力幅值都有下降,尤其是后悬置支反力。压缩机质心位移振动幅值有所下降,绕曲轴角加速度幅值下降比较明显。
大客车空调压缩机悬置机构优化仿真的图25
大客车空调压缩机悬置机构优化仿真的图26
5 结语
(1)对目前国内常用的压缩机悬置机构进行改进,基于动力总成悬置设计理论对压缩机总成悬置进行设计,仿真结果表明改进后的悬置机构隔振性能明显提升;
(2)以系统解耦率为目标函数,对压缩机总成—发动机模型悬置系统进行优化设计,取得较好效果,证明这种优化方法的可行性。
作者:陈述,范让林,梁策
作者单位:(北京科技大学机械工程学院,北京100083)
来源:噪声与振动控制

大客车空调压缩机悬置机构优化仿真的图27


登录后免费查看全文
立即登录
App下载
技术邻APP
工程师必备
  • 项目客服
  • 培训客服
  • 平台客服

TOP

5
1
5