从离散时间系统到 FIR 滤波器设计:探索 Wolfram U 的新 MOOC 中的信号处理
2023年6月5日 10:06在认识到这个学科的重要性后,我们利用 Wolfram 语言在信号处理方面的强大功能,着手开发关于信号和系统处理的完全互动的课程,这样广大受众都能接触到该学科。在分享和回顾了我们多年来从大学本科课程中收集的课程材料、笔记和经验之后,汇编出的这门 Wolfram U 课程代表了两位主要作者 Mariusz Jankowski 和 Leila Fuladi 以及在团队中共同努力的所有成员。我们现在很高兴向您介绍新的免费交互式课程信号、系统和信号处理,我们希望这门课程可以帮助您理解和掌握这个困难但非常重要的学科。
这里讨论的学科是美国和世界各地几乎所有电气、计算机和生物医学工程项目的支柱,并且至少在过去 30 年中一直如此。它们为更高级的工程主题提供了一个途径,例如控制、通信、数字信号处理、图像处理、机器学习等,也是许多应用的核心:音频和图像处理、数据平滑、分析基因组数据(如 DNA 序列)、MRI 中的成像过程、物联网服务和其他支持人工智能的系统。因此,凭借其简洁而全面的内容以及许多完整的示例和练习,该课程对当前和未来的工程专业学生以及任何希望复习或掌握这些概念以及信号和系统方法的工程师、研究人员或自学者都具有重要价值。
想开始吗?
Mariusz Jankowski 自 1995 年以来一直使用 Mathematica 和 Wolfram 语言,并且是该语言中图像处理功能的开发人员。他是南缅因大学的电气工程教授,曾获得艾姆斯实验室、Wolfram Research 和南缅因大学的奖项。
通过许多工程教育工作者的分享,我观察到信号和系统课程是学生本科经历中较难的课程之一。许多人在处理大量引入的概念和方法所需的数学技能方面遇到了困难。因此,从 20 多年前教授此类课程的第一天起,我就一直在尝试使用 Wolfram 语言最先进的代数、数值和图形功能来帮助学生克服一些他们在掌握相关内容时面临的障碍。因此,信号、系统和信号处理是我通过多年使用 Wolfram 语言在开发讲义、示例、插图、考试和解决方案方面不断试验的成果,并且大量反馈给予我极大帮助,有时是正面反馈,有时不是那么正面😉,我收到了数百名学生的反馈。我希望你像我一样会喜欢观看这些课程,阅读和并与课程材料互动。
Leila Fuladi 是 Wolfram Research 的认证 Wolfram 讲师和技术内容开发人员。她拥有多年的大学本科阶段数学和工程学科教学经验。
我的经验是,一旦向学生介绍了一个主题,让学生与教师一起解决范例并思考如何将课程中提出的想法应用于范例这样的方法会有助于学习。对于本课程中的每个范例,视频通常显示两种解决方法:使用 Wolfram 语言和使用传统的纸笔方法解决问题的“分步”方法。如果想自己求解范例,您可以使用纸和铅笔或在嵌入式暂存笔记本中测试您的 Wolfram 语言代码。我一直在努力将视频保持在适合的时长内,主要集中于重要的概念和范例。您可以在短时间内复习一个主题或按照自己的进度学习。信号处理是一个非常有趣的内容,您可以在其中应用简单而优美的数学思想来解决重大问题。我希望你喜欢这门课程并学到很多东西!
本课程中介绍的方法和技术都以杰出数学家的名字命名。例如,莱昂哈德·欧拉(正式发现了许多类型的微分方程的求解方法,特别是电气工程师用来模拟电路的一类,这样工程师可以分析、模拟和设计电路。让·巴普蒂斯·傅立叶发起了对傅立叶级数的研究,最终发展为傅立叶和调和分析。傅立叶变换,无论是连续时间还是离散时间,都在本课程中发挥了重要作用。然后是皮埃尔-西蒙·拉普拉斯,他介绍了一种强大的积分变换,它现在是系统分析和一类重要电气、机械和化学系统设计的基本工具。最后,本课程非常重要的是采样定理,它以哈里·奈奎斯特 和克劳德·香农的名字命名,他们的工作弥合了连续时间和离散时间信号和系统之间的缺口,并开创了当今信号处理的时代。
参加本课程的学生将获得关于信号、线性系统和信号处理相关内容的一般大学难度水平的介绍。因此,连续时间和离散时间信号和系统都包含在内且以并行形式呈现,利用了它们之间的许多相似之处,偶尔也会有重要差异。本课程从基本信号和信号运算开始,然后对线性时不变系统的特性进行基本介绍。然后是系统的时域分析(微分和差分方程、系统响应和卷积)、频域分析(傅里叶级数、傅里叶变换和线性时不变系统的频率响应)以及拉普拉斯和 z-变换。最后,介绍最重要的抽样主题。本课程以模拟和数字滤波器设计的总结作为结束。
以下是一些课程主题的预览(显示在左侧栏中):
我们假设学生熟悉大学水平难度的代数、三角学、复变量和基本微积分。另外,了解电路会很有用,因为电路常用作线性时不变系统的示例,但严格来说也没有必要。该课程与 Wolfram 语言紧密集成,展示了如何实现许多公式和计算。重要的是,除了使用 Wolfram 语言的评估之外,示例和练习还包括详细的分步推导。这是为了帮助那些想要查看每个计算的详细信息的学生,并帮助那些在他们的大学里主要评估方式是纸笔考试或测试的学生。
本文的接下来几节将详细描述课程的不同组成部分。
该课程由 33 节精心挑选的课时和视频组成。每节课一个视频长度从 7 到 15 分钟不等,每个视频都附有一个显示在屏幕右侧的成绩单(课程)笔记本。将 Wolfram 语言输入直接从脚本笔记本复制并粘贴到嵌入式暂存笔记本中,这样学生可以亲自尝试范例。观看视频并完成 8 个测验可能需要大约 10 个小时。
每节课大约有 10 到 20 张幻灯片,可能从主题概述、一些定义、关键概念的讨论、几个示例计算以及有时扩展的应用示例等内容开始。
本课程首先介绍课程、信号、系统、采样和信号处理的基本概念。其余主题涵盖了该主题本科水平难度学术课程的一般广度和深度,包括卷积、微分和差分方程、傅里叶级数和傅里叶变换、拉普拉斯和 z 变换、采样等。
以下是其中某一节课的简略版本:
本课程有 120 个示例。一些示例旨在帮助解释课程中讨论的概念,而其他示例则给出了理论概念的应用。整个课程会提供有关于数据处理、音频和图像处理、电路建模以及设计和应用滤波器的示例。
大多数示例都是使用 Wolfram 语言功能解决的,还包括分步解答,这些分步解答会手动检查每个计算,这样可以有理解不同的概念和方法。以下是连续时间傅里叶级数课程中的一个示例:
示例一
获得所示方波的傅立叶系数。
下例显示了 Wolfram 语言的解:
给定的方波有周期,因此
。这给出了傅立叶系数:
以下是时,系数
的值:
以下是分步解答:
傅立叶级数分析公式:
用和
代换
:
积分:
用代换
:
化简最后一个表达式得到:
和
,当
许多示例都是交互式的。用户可以改变一个或多个参数轻松探索问题的解。例如,下图显示了随着采样频率的变化,采样信号的傅立叶变换:
下图是第 13 课视频的简要摘录,展示的是一个离散时间卷积应用程序,用于对缅因州波特兰市大约四年的平均每日温度(使用 WeatherData)执行数据平滑处理。
每节课(除第一节外)都包括一组 5-11 道练习题,用于复习该课中涵盖的概念。课程总共有 230道练习题。以下是其中之一:
练习题3
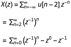
确定移位单元步长序列 的 z 变换和 ROC。
解
直接根据 BilateralZTransform 可以得到:
由于这门课程是为独立学习设计的,因此会提供所有练习题的详细解答答案,如下例所示:
分步解答
直接根据定义:
有,于是
因此
当时,
带有练习的笔记本是交互式的,因此学生可以尝试 中每道题目的变体。特别是,鼓励他们更改信号或系统参数并体验 Wolfram 语言的强大功能。
每个课程部分都以一个包含 10 个问题的简短多项选择小测结束。小测问题与课程所涵盖的问题大致相同,好好复习了这些部分的学生应该可以在小测中取得好成绩。
以下是小测问题之一:
学生会收到有关他们小测问题答案的即时反馈,反馈会鼓励他们返回某个部分的课程笔记本再次学习,并根据需要多次复习材料。
学生应该观看所有课程和练习题部分,并按照推荐的顺序尝试小测,因为后面的课程内容通常依赖于前面学到的概念和技术。在课程结束时,您可以申请结业证书。观看所有课程并通过所有小测后可获得课程证书。该证书代表了对信号处理基础知识的熟练程度,并可为您的简历或社交媒体资料增加更多专业价值。
掌握信号、系统和信号处理的基本概念对于电气、计算机和生物医学工程以及使用信号处理的其他领域的学生来说至关重要。因此我们希望本课程将帮助您掌握这一技能,并为您在这些领域的努力做出贡献。欢迎对当前课程提出任何意见以及对未来课程的建议,我们深表感谢。
工程师必备
- 项目客服
- 培训客服
- 平台客服
TOP




















