ABAQUS橡胶磨损:帮助文档轮胎磨损例子
外胎是由胎体、缓冲层(或称带束层)、胎面、胎侧和胎圈组成
1、Bead:胎唇部;2、sidewall:胎侧;3、tread:胎面;4belt:缓冲层;5、carcass:胎体帘布层。
3.1.8 Tread wear simulation using adaptive meshing in Abaqus/Standard
3.1.8使用自适应网格在Abaqus/Standard中进行轮胎磨损仿真分析
软件:Abaqus/Standard
这个例子在Abaqus/Standard中使用自适应网格技术对稳态滚动的轮胎进行建模。这次分析使用类似“Steady-state rolling analysis of a tire”Section 3.1.2来建立稳态滚动轮胎的接地印迹和状态。接着,进行稳态传输分析来计算和推测持续分析步,在稳态过程中产生一个近似瞬态磨损解。
问题描述和建模
轮胎描述和有限元建模和“Import of a steady-state rolling tire,”Section 3.1.6一样,但是有一些不一样,在这里需要指出。由于这次分析的中心是轮胎磨损,所以胎面建模需要更加精细。另外台面使用线性弹性材料模型来避免超弹性材料在网格自适应过程中不收敛。
图1所示的是轴对称175SR14轮胎的一半模型。橡胶层用CGAX4和 CGAX3单元建模。加强层使用带有rebar层的SFMGAX1单元模拟。橡胶层和加强层之间潜入单元约束。橡胶层的弹性模量为6Mpa,泊松比为0.49。剩下的轮胎部分用超弹性材料模型模拟。多应变能使用系数C10=10^6,C01=0和D1=2*10^8。用来模拟骨架纤维的刚性层和径向成0°,弹性模量为9.87Gpa。压缩系数设置成受拉系数的百分之一。名义应力应变数据用马洛超弹性模型定义材料本构关系。Belt fibers材料的拉伸弹性模量为172.2Gpa。压缩系数设置成拉伸系数的的百分之一。Belt的纤维走向在轴向±20°内。
旋转前面的轴对称一半模型可得到局部三位模型,如图2所示。我们关注轮胎印迹区域的网格。将局部模型镜像后可得到完整的三维模型。
自适应网格在轮胎磨损计算中的局限性
在这个例子中使用自适应网格必须严格遵守以下条件:
1、 圆柱网格不支持自适应网格并且在本例子也没有使用
2、 由于梯度状态变量的变形错误严重,自适应网格使用超弹性材料时表现很差。因此胎面用弹性材料定义
3、 在自适应网格的范围内不能用包含刚性层的嵌入网格。
4、 自适应网格通过网格几何特征来决定自适应网格在自由面光滑的方向,网格几何的特征通常不容易和描述的磨损方向一致。因此,下面将讨论到,通常你需要做额外的工作来明确地描述磨损的方向。
加载
分析分为5个阶段,用轴对称模型开始,以使用symmetric model generation生成的完整三维模型结束。前4阶段和“Steady-state rolling analysis of a tire,” Section 3.1.2和类似。
1、 对称充气:轮胎内部施加200kpa的压力,中间平面使用对称条件。
2、 一半三维接地印迹分析:轴对称模型沿着对称轴旋转。
3、 完整的三维模型接地印迹分析:一半三维模型镜像生成完整的三维模型
4、 稳态滚动:在稳定速度32km/h车速进行完整模型分析,这是轮胎的滚动速度为25rad/s。这些条件符合制动工况,本次分析考虑惯性和迟滞作用。
5、 胎面磨损分析:胎面磨损分析在最后一步进行,本次分析轮胎速度保持为一定值,考虑轮胎表面的磨损,使用损耗的摩擦能来计算磨损。惯性和迟滞同样是本次分析中的考虑因素。本次分析在车速32km/h的情况下,持续进行3.6*10^6秒,轮胎前进32000公里。
最后的分析为磨损分析,来预测磨损或者面消融,根据稳态侧倾轮胎得到评估。我们关注由磨损评估结果得到的轮胎外形的改变;因此我们需要介绍在稳态过程中允许瞬态效果的建模假设。
基本的假设是用当前实时持续的滚动角速度来解释稳态前进分析步。我们认为在任何时候轮胎滚动时轮胎的磨损造成的轮胎外形变化仅仅有很小的效果。因此在整个分析步的每一步稳态的结果都是合适的。有了这些假设,我们就能同时考虑两个不同时间范围的效果:短的轮胎转动时间范围和长的轮胎寿命时间范围。
磨损模型
为了举例说明磨损的过程,假设磨损率是局部接触压力和滑移率的线性函数,进行一个简单的磨损例子。尽管我们能计算这些工程量,由于在稳态移动状态下使用欧拉公式,他们必须应用于胎面流线来模拟轮胎周长磨损。
磨损率计算
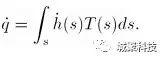
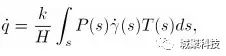
磨损模型如下:
q是体积损失量或者磨损量;k是无量纲磨损系数;H是材料硬度;P是接触压力;A是接触面积;Y是接触滑移率。在这里我们可以认为用PAy描述摩擦耗损率。对于轮胎橡胶,我们假设磨损系数k=10^-3,材料硬度H=2GPa。
下面开发的目标是材料的磨损表达式能应用于磨损分析的节点上。首先,考虑用一条带状物围绕着轮胎,带状物的中心用包含胎面花纹的有序节点来定义。这条中心线是以和每个节点联系的辅助面的任意一边作为边界。这样的带状物包含轮胎与路面接触的所有面。我们认为发生在带状物上的磨损是均匀的;因此我们用下式表达整个带状物的磨损率,
其中t是时间,x是当前配置位置。因为我们使用欧拉稳态传输处理,现在表达式可以表示为只依赖于时间的方程,
其中S是沿着流线的位置,T(s)是带状物在S位置的宽度。我们也可以见表达式q写成局部材料衰减率的函数,
在整个带状物的离散化方程的处理的结果相等,得到
其中h是节点的消融速度,A是节点的接触区域。这个方程表明沿着带状物h是不均匀的,推导出的结论是带状物进入和离开接地印迹的宽度是不一样的。然而,因为我们为了维持一个合理的轮胎磨损后的结构,我们假定节点消融的速度是均匀的。设个假定使得如下表达式成立:
再次假定沿着带状物宽度方向的变化可以忽略,既Ti=T,同时认为节点接触区域,则表达式可以简化为没有接地面积的方程:
磨损过程实现
用曲面消融速度的磨损量方程,现在我们可以在稳态移动分析中应用磨损分析了。用户子程序UMESHMOTION用来指定轮胎外表面节点的磨损速度向量。UMESHMOTION用来定义自适应网格约束速度和用来连接自适应网格,每个收敛的增量步之后使用网格光滑技术。通过子程序指定胎面节点的消融速度,自适应网格技术用来调整橡胶层内部的节点来保持好的网格网格形状。
为了积累沿着每个胎面花纹的磨损量,必须在子程序中记录沿着花纹的节点编号。使用一个公共模块变量记录,公共模块记录属于集合NADAPT(图4)的节点和那些在整个模型横截面(0°)的参照点。普通模块变量同时也包括将模型旋转和镜像后节点的编号方式,和参考截面一起,完整地描述了轮胎表面的节点编号。如下的变量需要在外部公共模块中定义:
1、nStreamlines:轮胎磨损分析中整个参考截面的节点数。
2、nGenElem:在模型中沿着带状物体网格划分的数目。
3、nRevOffset:通过*SYMMETRIC MODEL GENERATION, REVOLVE指定节点偏移。
4、nReflOffset:通过*SYMMETRIC MODEL GENERATION, REFLECT指定节点偏移。(如果模型不用镜像,这个参数设置为0)。
5、jslnodes:在参考截面下所有可能发生磨损的节点的节点信息数组。这个数组的大小为(2,nStreamlines)。每个流线的第一个分量是“根节点”的节点编号(节点a在下面讨论),根节点是指在参考截面上细化流线部分的节点。第二个分量是指提供磨损方向的节点(节点b在下面讨论)。第二个分量仅仅在胎面的拐角处需要,将他设置成等于在参考截面的节点编号来定义磨损的方向。对于不在胎面拐角处的节点,第二个分量设置等于0。那些远离胎面拐角的节点将沿着局部坐标系的3方向进行磨损。
磨损表达式的变量通过函数GETVRN 和 GETVRMAVGATNODE从分析数据库中获得。P从变量CSTRESS中获得;y从变量CDISP中获得;由带状物的节点坐标决定,从变量COORD中获得。
磨损运动的方向
磨损速率h是网格约束矢量变量ULOCAL的分量。这个变量通过在局部坐标系ALOCAL中定义的默认网格光滑运动传递到用户子程序中,这个局部坐标系测量出当前节点在曲面的法向。3的方向根据在节点附近网格表面法向的平均值定义为外法向的方向。在绝大部分情况下,这个法向方向对于描述和这个方向相反的消融和节点衰减的磨损结果是足够的。然而,在胎面拐角的区域,这个平均的法向方向不能准确的描述磨损的方向。这种情况下的法向应该像Figure 3.1.8–5所示,它计算如下:假设a是胎面拐角的节点。就有可能辨认出在胎面边上的节点b。在这种情况下,磨损的方向就是矢量ab。因为知道节点a和节点b的坐标,磨损方向就能通过整体坐标系计算得到,也就能转化为局部坐标系(ALOCAL)的方向。
结果和讨论
轮胎模型仿真分析持续进行3.6×106s或者1000小时,等价于在32km/h下行驶32000公里。下图表示的是轮胎磨损效果的轮廓结果。下面第二个图片表示的是新轮胎和磨损后轮胎接地印迹分布的情况。
3.1.2 Steady-state rolling analysis of a tire
3.1.2 轮胎稳态转动分析
产品:Abaqus/Standard
本例子在abaqus中使用*STEADY STATE TRANSPORT来建立转动轮胎和刚性平面之间的稳定动态接触模型。稳态运动分析使用局部参考坐标系,在这个局部参考坐标系中使用欧拉方法来描述刚性体的旋转运动,用拉格朗方法描述变形。这个运动学描述将稳态的移动接触问题转化为一个纯粹的依赖于空间的仿真。因此,仅仅需要在接触的区域建立精确的网格——稳态运动通过网格传输材料。在*STEADY STATE TRANSPORT分析中考虑的因素有:摩擦、惯性和累积效果。
本次分析的目的是获得在地面速度10.0km/h(2.7778m/s)时,相对于平面刚性面不用的侧偏角时轮胎175SR14自由转动的平衡解决方案。侧偏角是指轮胎前进方向和轮胎中心平面的夹角。在侧偏角为0°时,轮胎直线行驶。为了对比测试,我们也进行轮胎在直径在1.5m的刚性圆柱上旋转的分析。圆柱以3.7 rad/s的速度旋转,也就是圆柱表面的瞬时速度为10km/h(2.7778m/s)。另外一个工况是在轮胎自由转动的情况下检测由轮胎外倾角引起地外倾推力。本工况允许我们计算外倾推力刚度。
施加到轮胎中心轴的扭矩为0时的平衡状态被称为自由转动状态。轮胎中心轴的扭矩不为0是的平衡状态被称为驱动或者制动状态。制动状态:轮胎的角速度足够小以至于轮胎和路面之间的所有或者部分的接触点发生滑动,同时作用在轮胎上的总扭矩与轮胎自由转动的角速度方向相反。同样,驱动状态:轮胎的角速度足够大以至于轮胎和路面之间的所有或者部分接触点放生滑动,同时作用在轮胎上的总扭矩于轮胎自由状态的转动角速度方向一致。
对于同样的地面速度V0,轮胎的在自由转动、驱动和制动时的角速度是不同的。通常在自由转动状态下轮胎自由转动的角速度和地面速度组合不能预先知道。因为稳态传送分析能力既需要知道角速度W,也需要知道地面速度V0,自由转动状态必须通过间接地方式来建立。这种间接建立的方式将在下面举例说明。一种交互的方式使用子程序umotion控制轮胎角速度同时使用子程序URDFIL来监视求解的过程。URDFIL子程序根据在每个增量步结束时在轮胎边缘扭矩的数值来评估自由状态。这种方式将在下面的例子中讲述。
这种轮胎稳态转动有限元分析和实验结果,在1977年已经被Koishi等人发布了。
问题描述和模型定义
“Symmetric results transfer for a static tire analysis,” Section 3.1.1已经给出了一种描述轮胎的有限元方法。为了考虑动态分析中轮胎斜对成的影响,稳态转动分析需要建立完整的三维模型。当轮胎转动速度低于10km/h时忽略惯性的作用。
如前所述,在abaqus中*STEADY STATE TRANSPORT的能使用混合欧拉和拉格朗的方法,在局部坐标系中检测材料流过静止网格的情况。材料点流过网格的路径被称为流线型,它必须在稳态传送分析之前被计算出来。正如在“Symmetric results transfer for a static tire analysis,” Section 3.1.1,中讨论的,在本例中稳态传送分析的流线型使用*SYMMETRIC MODEL GENERATION,REVOLVE选项来计算。也就是将二维轮胎截面沿着对称轴旋转得到三维网格,流线型也就跟着网格旋转生成。
本例中使用超弹性材料模拟的橡胶包括一个二维的粘弹性组件,通过*VISCOELASTIC,TIME=PRONY选项来激活。使用一个简单的一阶Prony级数。在abaqus中不可压缩材料的一阶prony级数用简单的数松弛模量和松弛时间来定义。本例中松弛模量G=0.3和松弛时间T=0.1。除非使用长期参数,*STEADY STATE TRANSPORT分析步包含粘弹性也就是材料历史效果。在abaqus中建立时域粘弹性可查看更加详细的介绍“Time domain viscoelasticity,” Section 19.7.1 of the Abaqus Analysis User's Manual。
加载
正如在“Symmetric results transfer for a static tire analysis,” Section 3.1.1中讨论的,接地印迹分析使用摩擦系数为零(也就是没有摩擦力传送到接触面上)。即使轮胎在很低的速度下转动,转动的轮胎的摩擦压力和静止的摩擦压力差别是非常大的;因此在第一步的稳态传输分析和最后一步的静态分析之间可能会出现不连续。此外,在稳态传输分析的开始摩擦系数为0到结束时达到一个特定的值,用变化的摩擦系数来确保摩擦力随着更加小的载荷增量减小。在获得稳态转动分析方案中,在abaqus中设置更加小的载荷增量来达到收敛是很重要的。
一旦轮胎静态的接地印迹分析计算好,稳态转动接触问题就能使用*STEADY STATE TRANSPORT选项。本例中的第一个仿真分析是为了获得在不同角速度下全制动和全驱动直线行驶的稳态转动工况。我们同样计算自由转动直线行驶工况。在自由转动工况下将计算不同的侧偏角。在上述的两个工况中将在*STEADY STATE TRANSPORT分析步中使用LONG TERM参数来忽略材料的历史效果。第三个分析将稳态转动分析的第一个直线行驶分析的部分内容;也就是忽略通过第一步中LONG TERM的参数来包括材料的历史效果。上述的三个分析都是保持车速在10km/h下进行仿真。第四个分析的目的是获得轮胎和直径为1.5m的刚性圆柱接触工况,圆柱以3.7rad/s转动。
在第一个仿真分析中(rollingtire_brake_trac.inp),全制动工况通过用*STEADY STATE TRANSPORT分析步来设置开始的摩擦系数到用使用*CHANGE FRICTION选项设置最后的摩擦系数为1来实现,这样地面前进的速度和角速度合并将导致全制动。*TRANSPORT VELOCITY和*MOTION选项都是为了这个目的。下面将得到全制动下一致的评估的角速度。一个自由转动的轮胎一圈行驶的距离更多取决于它的中心高度,而更少依赖于它的自由半径。本例中轮胎自由半径是316.2mm,轮胎的垂向变形接近20mm,所以轮胎中心高度为296.2mm使用轮胎自由半径和轮心高度可以估算出自由转动的角速度在8.78—9.38rad/s之间。更小的角速度引起制动,同时更大的角速度将引起驱动。我们使用角速度等于8rad/s来确保在第一次稳态传送分析步是全制动工况。(所有的接触点都发生滑动,所以接触面总的摩擦力等于uN)。
在用全模型进行第二次稳态传送分析中,当地面速度保持为一个恒定的数时,角速度逐渐增加到10rad/s。因为加载在结构上的瞬时载荷增量步状态都是稳定状态,所以这样能获得制动和驱动的一系列工况。本次分析为我们提供自由转动速度的初步估算。第二个仿真分析(rollingtire_trac_res.inp)围绕第一次自由转动条件执行精细的搜查分析。
在第三个仿真分析(rollingtire_slipangles.inp)中,计算不同侧偏角的自由转动工况。侧偏角是指轮胎前进方向和轮胎中心平面的夹角。在第一步的直线行驶分析中,第一次的仿真分析的自由转动工况带入到静平衡。接着进行*STEADY STATE TRANSPORT分析步,开始时侧偏角为0°,逐渐增大到最后的3°,这样就得到一系列不同的侧偏角工况。通过在*MOTION, TRANSLATION选项中指定一个运动速度的矢量Vx=V0cos(ct)和Vy=V0sin(ct)来实现侧偏角的定义,本例中在第一风稳态传输分析ct=3°。
第四个仿真分析(rollingtire_materialhistory.inp)包含考虑材料历史影响的一系列制动和驱动的稳定工况。
第五个仿真分析(rollingtire_camber.inp)中,在自由转动条件下分析在轮胎接地点分析外倾角对侧向推力的影响。
在本例的最后一个仿真分析(rollingtire_drum.inp)中考虑轮胎和一个刚性圆柱接触。加载的顺序和第一个仿真分析的加载顺序一样。然而,这次分析的轮胎的移动速度为0,使用*TRANSPORT VELOCITY选项设置刚性圆柱体的的参考点的旋转速度。因为一个指定的载荷添加到刚性圆柱的参考点上来建立于轮胎之间的接触,所以分析之前是不知道圆柱体的中心轴的。如果使用*TRANSPORT VELOCITY选项来定义角速度,abaqus将自动更新旋转轴当前的位置。刚性面的转动速度也能通过*MOTION, ROTATION选项来进行定义。在这中情况下,旋转轴必须在稳态配置中通过数据行来定义位置和方向,因此这些必须在分析前知道。旋转轴的位置和方向在分析步开始时就建立,并且在分析过程中保持不变。当圆柱的半径比轴向的位移大很多时,就像本例中的一样,在原始配置中定义轴对结果的精度不造成影响是合理的定义。
结果与讨论
Figure3.1.2-1和Figure3.1.2-2显示轮胎不同角速度是平行于地面的反作用力(被称作滚动阻力)和扭矩。两个图片进行了轮胎和刚性平面和刚性圆柱接触的对比。图片显示表明直线自由转动T=0,发生在转动角速度接近9rad/s。全制动发生在角速度小于8rad/s位置,全驱动动发生在角速度大于9.75rad/s位置。在这些角速度位置所有的接触点都发生滑移,滚动阻力达到极限值uN。
Figure3.1.2-3和figure3.1.2-4表示轮胎在刚性平面上转动情况下自由转动工况和全驱动工况下沿着轮胎面中心线的剪切应力。沿着轮胎中心线的距离用相对于通过轮胎轴线平行于地面的平面形成的夹角表示。短划线是能通过表面传输的极限剪切应力UP,p是接触压力。图示说明全驱动过程中所有的接触点都发生了滑移。在自由转动过程中,所有的接触点都没有发生滑移。
通过使用rollingtire_brake_trac.inp产生的结果,产生了一个更接近的自由转动角速度,精确搜索得到的角速度为9rad/s。rollingtire_trac_res.inp文件从前面的直线行驶转动分析的第三个分析步的第八个增量步进行重启分析(与角速度为8.938rad/s一致),得到更加精确的搜索解为9.04rad/s。figure3.1.2-5表示用精确搜索计算的轮胎轴的扭矩,一个更加的精确的轮胎自由转动工况的角速度值接近9.022rad/s。在不同侧偏角工况计算时需要用到这个结果。
Figure3.1.2-6表面在不同侧偏角下测量得到的轮胎侧向力。图片进行了稳态传输分析和使用纯粹拉格朗分析结果的对比。拉格朗求解方案通过使用absqus/explicit执行显式动力学分析(在“Import of a steady-state rolling tire,” Section 3.1.6中讨论)。运用这种分析技术,一个特定的运动速度被施加于在刚性平面上转动的轮胎上。因为需要获得多于一圈的稳态配置,整个圆周的网格需要划分的更好;因此,在本例中拉格朗方法比稳态方法代价更加昂贵。图示表明两种方法计算的结果表现很好的一致性。
Figure3.1.2-7用自由转动工况有无材料历史效果进行对比。在上图的实线代表滚动阻力;虚线代表扭矩轮胎轴扭矩。图片表明包含材料历史效果时自由转动发生在更加低角速度下。有关于材料历史的影响,更加详细的介绍请看“Steady-state spinning of a disk in contact with a foundation,” Section 1.5.2 of the Abaqus Benchmarks Manual。
Figure3.1.2-8表示外倾推力关于外倾角的曲线。在外倾角和侧偏角为0时的侧向力被称为ply-steer,在轮胎中由于分离belt的相对距离引起的不对称产生侧向力。离散化接地印迹的原因是曲线有非光滑的性质,整体的外倾刚度为44N/degree是合理地接近预期的水平。
Figure3.1.2-9表示使用子程序UMOTION装载轮胎边缘的扭矩和转动速度,基于用户子程序
URDFIL预测自由转动的速度。当轮胎边缘的扭矩在误差范围内接近于0时,稳定住转动角速度后分析步完成。开始的时候,当自由转动的速度估计大于当前转动速度的指定的误差时,转动角速度的增量步设置得很小。Msg文件包含预测的自由转动速度和增量步等信息。因此自由转动的角速度为9.026rad/s。
文章来源:城聚科技
工程师必备
- 项目客服
- 培训客服
- 平台客服
TOP




















