电动汽车综合热管理系统实验与数值模拟研究

推文图(无二维码).jpg
来源 | Journal of Energy Storage



01

背景介绍

电动汽车在缓解气候变化和排放污染问题方面发挥着重要作用。锂离子电池作为电动汽车的动力源和储能系统,具有高电压、高功率和能量密度、长循环寿命和高安全性的优良性能。然而,大量研究和实例已经证实,受环境温度影响,电池的循环寿命和充放电倍率面临着严峻的挑战,例如,长时间的高温可能导致电池热失控和火灾安全事故,因此,增强散热和冷却电池的高效热设计是电动汽车的一项必要技术。然而,目前电池热管理仍然难以在所有气候条件下同时兼顾散热和低温加热功能。

电池热管理系统可以实现热量的有序管理,是解决当前电池面临的挑战的有效技术手段。例如,为了提高电池在低温下的电化学性能,先前的研究已经开发了多种加热策略,主流技术可分为内部加热方法和外部加热方法。当前,我们应该进一步揭示低温加热过程中对电池电化学性能恢复和内部传热的影响。热管理系统是电动汽车的关键系统组件,具有低温加热和高温散热双重功能的开发设计将是未来电池热设计的重要趋势。

02

成果掠影


电动汽车综合热管理系统实验与数值模拟研究的图2

近期,河北工业大学能源与环境工程学院饶中浩教授团队提出了一种集成电池热管理系统(IBTM),它包括散热和低温加热功能。在一体化结构设计中,复合相变材料由于潜热大,CPCM(CPCM)具有很强的吸热能力,而薄的聚酰亚胺加热膜(PHF)可以方便地组装到电池模块中。实验和仿真结果验证了采用连续脉冲预热结合电池低功率自预热的加热策略,电池模块的电化学性能可以获得良好的可恢复性。与常温10℃相比,充放电电池模块容量分别恢复至92.1%和93.3%。此外,散热性能测试结果也表明IBTM具有出色的温度控制和均匀能力。电池模组最高温度和最大温差始终分别控制在52℃和1.8℃以内。研究成果以“Experimental and numerical simulation study on the integrated thermal management system for electric vehicles”为题发表于《Journal of Energy Storage》。

03
图文导读

电动汽车综合热管理系统实验与数值模拟研究的图3
图1 a)基于CPCM结合PHF的集成热管理系统原理图,b)单个PHF包裹电池。

电动汽车综合热管理系统实验与数值模拟研究的图4
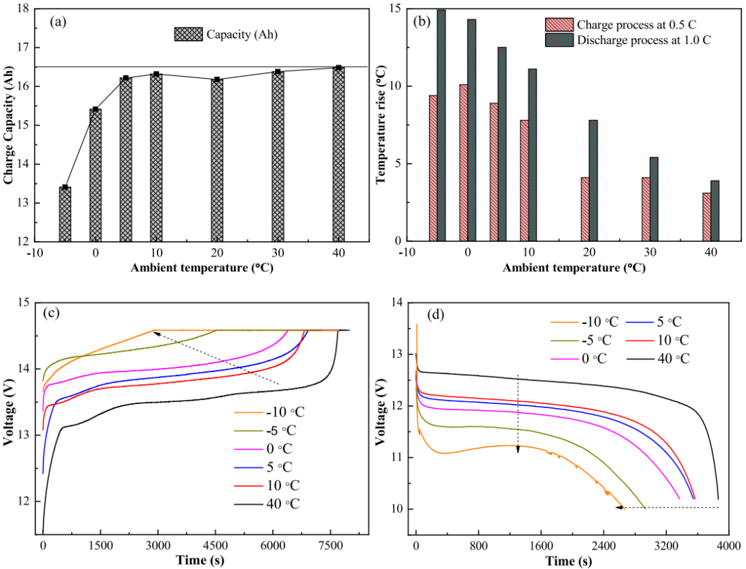
图2 电池模块在不同温度下的性能:a)充电容量,b)温度升高,c和d)充放电电压曲线。

电动汽车综合热管理系统实验与数值模拟研究的图5
图3 在不同温度5和10℃下,容量随循环数和放电电压曲线的变化。

电动汽车综合热管理系统实验与数值模拟研究的图6
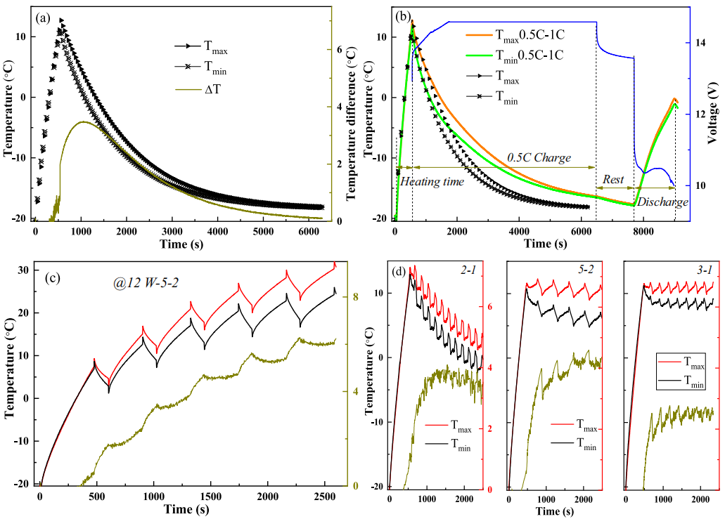
图4 电池模块的温度变化:a)加热和b)加热10℃后0.5-1.0C充放电过程;不同加热模式下的温度稳定性:c)12W加热功率,d)不同脉冲比脉冲加热功率6W。

电动汽车综合热管理系统实验与数值模拟研究的图7
图5 a)脉冲保温35分钟,b)连续脉冲保温结合内部预热,c)电压曲线随不同加热策略的变化而变化,d)不同加热策略下的充放电容量。

电动汽车综合热管理系统实验与数值模拟研究的图8
图6 电池模块的横截面温度云分布:a)加热至10℃;b)脉冲保温结合0.5C充电35分钟;c和d)电池模块在不同加热策略下的内部温度分布。

电动汽车综合热管理系统实验与数值模拟研究的图9
图7 a)外部加热模式和b)连续脉冲预热结合低功率充电预热的示意图。

电动汽车综合热管理系统实验与数值模拟研究的图10
图8 高温散热性能:a、c)不含PHF,b、d)含PHF。

END



★ 平台声明
部分素材源自网络,版权归原作者所有。分享目的仅为行业信息传递与交流,不代表本公众号立场和证实其真实性与否。如有不适,请联系我们及时处理。欢迎参与投稿分享!

登录后免费查看全文
立即登录
App下载
技术邻APP
工程师必备
  • 项目客服
  • 培训客服
  • 平台客服

TOP

7
5
1