基于实际工程的飞行器气动设计与仿真
2023年9月7日 11:311. 前言
中国有句俗话:“一层窗户纸,一捅就破”。是指对某件事物当你不了解时,会感到很神秘,也难解决,一旦找到了解决方法,发现原来事情就这么简单,“不过如此而已”。关键是能否迅速找到“捅破这层窗户纸”的点子。
在飞行器气动设计中总会遇到一些技术难点,本文无法给出大家实际遇到问题的解决方法。但想从以往实际工程中“捅破这层窗户纸”的角度提供一些经验供大家参考,如果看完本文,您也感到“哦,原来如此”,就算达到了本文的目的。
本文是从气动专业的角度,通过多年的设计、试验、仿真经验,跟大家探讨交流一下直接的体会感受。当然,这些直接工程上的做法,并非作者一人之功,实来源于无数前辈及周围优秀同事,本文无法一一点到,望曾经一起攻坚的战友们见谅。
2. 跨速域飞行器的布局设计
空气动力学将流动分为亚音速、跨音速、超音速及高超音速,无疑跨速域飞行器在气动布局上考虑的因素更多,因此本文以典型跨速域飞行器:战斗/侦察机及可复用火箭/飞船,展开方法的介绍及论述。
图1 典型跨速域飞行器
2.1. 传统跨速域飞机气动布局指标的提出
一个新构型的气动布局必然由需求牵引而出,大国之间军事对峙的典型场景即为军机之间的跟飞、缠斗,战争期间,先进战斗机则直接意味着制空权。因此,战斗机性能优于对手的需求,在世界成为地球村之前是一直存在的,此即为推动战斗机性能提升的动力。
一代空气动力学理论的突破,一代战斗机气动布局的跨越。跨音速面积率的出现,使得战斗机进入超音速时代;边条涡升力理论,战斗机具备了大迎角高机动能力。
图2 战斗机气动布局的更迭
具有良好气动布局外形的飞机通过不断地更新发动机和记载设备可使其服役期延长几十年,而这不仅仅限于军用飞机。上世纪40年代的安2运输机,其优异的气动布局,使得至今其仍具有蓬勃的生命力。因此,在飞机设计中,气动布局设计,尤其是先进气动布局设计占有极其重要的地位。
图3 安-2运输机与无人运-5运输机
对于第三代战斗机,主要强调要具有高机动性,同时还应具有良好的超音速性能,包括具有小的超音速阻力及高的升阻比,以实现超音速机动。因此,对于第三代高机动飞机的气动布局设计,应达到如下要求:
对于第四代战斗机,其气动布局设计是一个复杂的科学问题,要求综合解决一系列问题:论证飞机最优特性、设计巡航马赫数(>1)时具有高升阻比、在跨音速和着陆速度下具有良好升力特性的气动布局、具有好的隐身性。这对先进气动布局的设计又提出了新的更高的要求。对于第四代战斗机的先进气动布局设计应达到如下要求:
F-22是世界首款第四代战斗机,至目前为止,F-22是历史上试验做得最彻底的飞机。大范围模拟、建模和部件试验几乎没有留下有待于试飞期间发现的问题。
2.2. 可复用空天运载器的气动指标
重复使用空天往返运载器技术是人类实现低成本自由进出和利用太空的重要途径。SpaceX公司自2011年开始发展运载火箭回收技术,一子级采用发动机变推力减速、栅格舵气动控制、支腿回收的方案进行垂直回收,大幅降低了入轨发射成本。2016年9月,SpaceX公司正式公布了“星际运输系统”(ITS),瞄准人类移民火星以及星际探索。随后持续进行快速迭代,逐渐演化成“超重-星舰”运输系统。“超重-星舰”运输系统由“星舰”飞船级和“超重”火箭级构成,采用不锈钢箭体,飞船及火箭都将返回地面,开启了两级可重复使用之路,2023年4月20日首飞,一二级分离后,空中姿态异常,火箭启动自毁程序,首飞失利。
图4 Falcon 9火箭飞行剖面
图5 超重-星舰系统首飞
蓝色起源的“新谢泼德”火箭至今已为31名乘客提供了太空旅游服务。“新格伦”重型火箭一子级气动布局,明显不同于超重的小边条调压心、栅格舵控制的外形,采用大边条,小平面舵的外形方案。从两者气动布局上分析,“新格伦”一子级下降过程中迎角将大于超重,更充分利用空气阻力减速,这有利于减少再入减速段推进剂的消耗量。
图6 蓝色起源公司的火箭产品
两位首富的可回收火箭,气动布局明显不同,但均满足各自的设计约束,但布局上具有共同的特点,利用尾部的边条缓解重心过于靠前的弊端,不同于Falocin 9火箭一子级的返场回收,重型可回收火箭一子级航区回收方式的射程要求使得气动布局应满足如下条件:
2.3. 基于分解指标的气动布局设计流程
传统的设计模式(如图7所示)为在明确飞行器指标的前提下,基于工程经验,设计出至少两种不同形式的气动外形,该外形特征尺寸不脱离实际工程,同时涵盖外形设计约束(如隐身平面),利用工程算法进行参数化设计,在确定初步方案可行的基础上,风洞试验介入设计流程。
图7 跨速域飞行器气动布局设计流程
从20世纪90年代开始,军用及民用飞机已从原来的技术驱动型设计的产品过渡为要求性能好、生产周期短和更廉价的市场驱动型设计的产品(见图8)。在航天领域,可复用火箭即是利用此理论的传统航天产品设计思路的颠覆性作品。尽管定义阶段的费用与成本低,但绝大部分决策是现阶段确定的,对运营和全寿命成本影响是最大的。随着各阶段的进展,对产品具有的最终性能将越来越了解,但改变与设计的自由度却越来越少,改动设计会造成成本急剧提高。因此,为了控制成本,应尽早地掌握产品将具有的性能,意味着需要尽可能早的设计阶段进行高保真度的几何数模和CFD模拟,这已然成为现代复杂飞行器气动布局设计的重要特点。
图8 高保真设计对设计流程的影响
复杂气动布局飞行器设计的CAE包括计算流体力学(CFD)、计算固体力学(CSM)、计算电磁学(CEM)和计算声学(CAA)等。利用他们可以产生有关质量、性能和可靠性评定的产品数据,使试验所需的物理样机减到最少;耦合它们可预估多学科相互作用的性能;将CAE中的数值模拟方法和优化方法耦合可计算出所要求性能的最佳几何外形。
图9 利用产品定义数据库进行综合的设计方法
3.1. 与空气跳舞的苏-27战斗机
最终成为苏-27设计方案的酝酿是一个漫长和艰难的过程,然而最终的结果却充分证明,它的设计者们在坚持追求新思路,并将它们综合成一个实用设计的努力是十分正确的。
在经过一段漫长的设计和研制阶段后,第一架原型机,称之为T-10-1,于1977年5月20日在朱可夫斯克飞行试验中心进行了首飞。原型机立即显示出几个缺点,但它的基本方案却展示出是有前途的。随后是一段复杂的试验和研制阶段,其中至少涉及10 架原型机。
图10 方案阶段,新型布局与常规布局的PK
图11 T-10S之前的T10
为根本解决T-10 的问题,在西蒙诺夫的监督下对飞机进行了全面的再设计,完全更新后的T-10S(西蒙诺夫在苏联中央批准服役的情况下力排众议,大改布局才有了T-10s—苏27真正意义上的原型机)于1981年4月20日作了首飞。
重新执行的飞行试验大纲未发现重大问题.新飞机的非凡潜力立即明显表现出来。在T-10S中引进的最为重要的改动是:短舱外侧平尾的垂新定位,前中机身段与边条和机冀完全融合而形成单一的升力面以及采用了一个不同的后机身。总之,新的外形几乎看不出原始机型的样子了。设计试飞原型机编号至T-10-17,定型试飞机编号为T-10-18~T-10-27。
图12 T-10S(苏-27真正的原型机)的减阻设计
图13 T-10S性能的提升
苏-27为什么是飞机设计史上的空气动力学设计巅峰?不断引进未来可能的新技术,布局方案快速优化,通过十几架原型机试飞,暴露问题,改进方案。已经很好了,国家都批准服役了,竟然推倒重来了!约30%的试飞机坠毁,牺牲的几名试飞员均为顶级试飞员!最后的苏-27不仅具有出色的战术、技术性能和优良的飞行品质,同时还拥有十分漂亮的外观,它高大、威猛,整体造型流畅、饱满,充满了对工业美学的追求,体现了“内容和形式的完美统一”。
马斯克的Space X近年在航天领域攻城略地,与传统航天企业研发思路相比,完全是颠覆性的:新技术的大胆尝试,方案的快速迭代,以飞代试,通过不断的失败,暴露问题,改进方案。这难道不是与苏-27的设计思路异曲同工吗?
3.2. 可回收火箭的布局及栅格舵设计
航区回收的超重型运载火箭,以蓝色起源的“新格伦”和Space X的“超重”一子级为案例,进行简单分析。
图15给出了“新格伦”火箭的俯仰力矩特性曲线。质心在G5及之前,仅有一个静稳定的平衡迎角0°;在G4及之后,超音速下存在两个平衡迎角。以G4为例,平衡迎角为0°和13°,对应的阻力系数增量13%;以G3为例,平衡迎角为0°和20°,对应的阻力系数增量51%。
图14 蓝色起源“新格伦”火箭气动布局
图15 “新格伦”火箭一子级力矩特性
图17给出了“超重”火箭超音速下的俯仰力矩特性曲线。G5位置,平衡迎角0°和12°,阻力系数增量15%;G4位置,平衡迎角0°和18°,阻力系数增量40%;G3位置,平衡迎角0°和30°,阻力系数增量140%。结合无边条布局方案数据,可得边条作用:无边条箭体存在平衡迎角时增大箭体平衡迎角;无边条箭体不存在平衡迎角时获得一个大于0°的箭体平衡迎角。
图16 Space X“超重”火箭气动布局
图17 “超重”火箭一子级超音速下的力矩特性
栅格舵/翼是由外部框架和内部栅格组成的三维升力系统。由于其具有一系列气动、结构和强度特性,栅格舵/翼在某些条件下成功地战胜了传统的平面舵/翼,并用作导弹和宇航飞行器的安定面和操纵面。其优点是:空中可以折叠展开;铰链力矩小;舵面可用迎角大。缺点是:阻力大(可回收火箭中,此是优点),工艺(例如激光焊接)导致成本高。蜂窝结构的栅格舵获得了最大的普及,其内部单元以相对边框构架成45°角的方式排列,内部单元具有正方形的形状。
图18 典型栅格舵
与美国不同公司的可回收火箭采用不同种类的控制面(蓝色起源、火箭试验室采用传统平面舵),我国的可回收火箭方案清一色的采用类似Space X的栅格舵,这或许是个更深层次的问题,此处不予讨论。
图19 重型可回收火箭的气动布局
首先需要确定作用在栅格舵上的载荷,取其所有升力单元的面积作为特征面积。设计栅格舵时,总体布局约束下的外形尺寸往往是给定的。在舵外形尺寸相同时,升力单元的面积随填充“密度”(即取决于相对气动格距t/b,它由翼弦长度b和毗邻垂直壁的栅格数确定)不同由明显的不同。
图20 栅格舵的主要形式,框架式、正置蜂窝式与斜置蜂窝式
S1的值精确地对应于框架式的栅格舵的升力面面积(此时包含水平单元和垂直单元)。在蜂窝式栅格舵的情况下,用于确定升力面面积的这个公式适用于栅格之间存在相互作用的情况。而当不存在干扰时,且速度足够大时,将升力栅格的面积确定S2为是较为正确的。在计算气动力系数时,取相应的栅格舵的外形尺寸面积作为特征面积。而对平面舵来说,则取其升力面的面积作为特征面积。
栅格舵的流动特性分为以下四个区域。
区域
|
流动特点
|
1
|
M≤0.8~0.9,舵的绕流是亚音速扰流,且随M数的增加的值增大,即像平面舵发生的那样。
|
2
|
0.8~0.9≤M≤1.35~1.5,栅格上出现超音速,产生局部激波,并随后在舵前形成唯一的直激波。在此区域,急剧降低,随后保持近似不变。
|
3
|
此区域从栅格舵完全被直激波所封闭过渡到栅格间不存在相互作用。直激波被破坏,并产生一系列斜激波,依附在栅格前缘,并且起自每个栅格的激波会落在相邻的栅格表面上。在此区域,的值稍有增加(如果相对格距足够大,激波与相邻栅格元的交点远于50%弦长)。
|
4
|
不存在栅格干扰的区域。栅格舵的升力接近于面积等同于栅格舵升力栅格元面积的平板的升力。此区域的起点取决于相对格距。
|
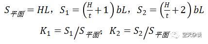
在给定栅格舵外形尺寸(H和L)的情况下,在第4区域内其升力与框架式栅格舵的系数K1和蜂窝式栅格舵的系数K2成比例。按一次近似可以认为,当K1=1或K2=1时,第4区域内栅格舵的升力接近于外形面积等于栅格舵的平板升力。其次,当K1与K2增大与减小时,栅格舵的升力将相应地增大或减小,即使给定了栅格舵的外形H和L,系数和也将随弦长b和毗邻垂直外壁的栅格数n而变化。数n与H和t的关系由公式确定,其中t是栅格之间的距离。K1和K2值由下式计算:
当给定栅格数n时,可得到K1和K2与b/H的线性关系,因为的值是不变的,即为1.414n:
显然,系数K1和K2与长度L无关。对于某一些n值,这些变化关系见图21。可以看出,对于蜂窝结构的栅格舵来说,升力栅格的面积如那样确定。但这只是毗邻外部的三角形栅格元不受干扰地扰流,即气流速度足够大时,才是正确的。如果内部的方形栅格元不受干扰地扰流(即栅格舵处于第4区域内),而三角形栅格元受有干扰,则蜂窝式栅格舵的升力栅格元面积应认为稍小于,但大于,即系数K处于与之间的阴影区内。按上述公式或者诺德图可按一次近似确定参数n和b的组配,为此,给定H和L外形尺寸的栅格舵在第4区域内的升力应比面积与该栅格舵外形面积相同的平板的升力超出K倍。例如,当K=2时,就可以使用如下的参数n和b的组配:
n
|
3
|
4
|
5
|
8
|
10
|
20
|
b/H
|
0.34
|
0.28
|
0.23
|
0.155
|
0.125
|
0.65
|
图21 栅格舵参数关系图
图22 栅格舵表面网格及空间流场
4. 设计手段—试验与CFD仿真
4.1. 试验与CFD缺一不可
无论是高机动的飞机还是可复用的火箭,气动设计上,试验数据仍是目前确定飞行器的基础和依据。试验包括地面试验和飞行试验。飞行试验包括地面火箭助推验证及空中载机抛射,是除了真机试飞外最有效获取气动特性的手段,但高昂的价格使得其无法成为气动设计中的常用手段。
地面的高低速风洞试验是气动力设计中的主要内容之一:初步设计阶段有选型试验,详细设计阶段有定型试验。试验内容包括测力、测压、颤振、动导、旋转天平、立式风洞试验等。
图23 典型非常规风洞测力试验
在CAE中,CFD是核心。CFD可评估巡航和机动飞行条件下的飞行器性能,计算定常和非定常的载荷以进行结构设计,提供导数进行飞行控制系统的设计,以及提供气动数据对设计变量的敏感度进行优化设计。现代复杂气动布局飞行器的研制过程已然证明,有效使用CFD方法可以大量节省设计经费、缩短研制周期。但复杂外形跨速域飞行器的气动设计不仅对CFD提出了巨大挑战,也使CFD愈显其在设计中的重要地位和巨大作用。
图24 波音与NASA联合提出的CFD发展路线
4.2. 试验的不可或缺性:CFD模拟能力尚有不足
CFD工程师及飞行器设计师眼中,对待风洞试验及CFD的态度是不一样的。很多数据显示,在新型复杂构型飞行器的气动设计中,CFD占比越来越大,作为一个CFD工程师,毫无疑问会相信,未来风洞试验在飞行器气动设计过程中会逐渐萎缩,最终演变为一个气动特性的验证手段。但是气动布局设计师,也会认同这样的观点吗?通过图12,我们可以看出,在CFD技术工程上已然十分成熟的今天,型号上的风洞试验丝毫未见减少,但为什么会有风洞试验可能被取代的“错觉”?这是因为复杂外形气动布局优化设计中,CFD所起的作用越来越大,使用的越来越多,是优化设计上的得力助手,但风洞试验验证气动布局,形成气动数据库的作用,使得该吹的风丝毫未减。
图25 美国飞机风洞试验时间
风洞试验的不可取代,亦是由目前CFD对一些工况模拟的不准或者模拟代价极大决定的。举几个例子:
(1)飞行器起降构型,或称高升力构型的气动特性,尤其表现在力矩上,CFD与风洞试验差异较大。为什么我们看文献,高升力构型俯仰力矩鲜有与试验值比较?皮裤套棉裤,必有缘故!CFD算不准嘛。
图26 高升力构型网格及计算结果
(2)大迎角下,接近最大升力系数时,CFD计算值低于风洞试验值。
图27 大迎角CFD与试验对比曲线
(3)非定常脉动的仿真,LES或者DES,耗费的计算资源及周期远远大于风洞试验。
图28 锥柱-船-裙柱火箭外形跨音速脉动压力流场图
(4)由于CFD本身的模拟限制性,诸多细节与真实流场存在差异,体现在CFD结果即使在风洞试验规律性不好的地方,其规律性亦非常强。复杂流动,如激波,旋涡的干扰、部件间流动干扰,风洞试验仍是不可或缺的手段。
以上并非某款程序或者软件的缺陷或不足,而是CFD工具共同面临的挑战,也是推动CFD发展的重要源动力。
4.3. CFD使得最优气动布局成为可能
用CFD取代风洞试验,仅仅是周期与花费代价问题,而此并不足以成为支撑CFD是飞行器气动布局设计不可或缺的工具的理由。CFD除了可以作为“数值风洞”使用,同时还具备风洞试验能力无法做到或极难做到的模拟能力。例如:
(1)复杂构型气动布局总体方案快速闭环
创新的飞行器气动布局,是否总体方案上满足性能需求,精确快速的气动特性数据是关键,同时的制约因素还有经费。或者说,型号/课题立项前,CFD无疑是黑暗中探索道路最有效的明灯。
图29 空射洲际弹道导弹系统
(2)部件及布局参数化优化设计
利用CFD技术自动优化几何外形,近20年来得到了快速的发展及广泛的应用。不同于传统上基于经验的方案“优选”,基于CFD技术的多点多目标优化工具设计的气动布局接近于物理上的全局最优方案。波音公司发展的TRANAIR优化器,可处理高达600个几何自由度和45000个非线性不等式的约束条件。
图30 Star-CCM+自带的飞行汽车气动外形优化设计案例
(3)多学科综合一体化设计
为使飞行器综合性能达到最高水平,需要的是多学科综合的优化,实现多学科的一体化设计。如:气动/隐身一体化设计,气动力/热一体化设计,气动/结构一体化设计,气动/飞行/推进系统一体化设计等等。融入多学科新技术、新成果的气动布局设计中,精细化的设计奠定了CFD不可撼动的地位。以气动/结构一体化设计为例,目前已实现10亿网格的气弹仿真工程化。
(4)风洞试验无法覆盖或代价极大的工况
风洞试验由于风洞尺寸、设备、气源等原因,很多工况地面试验无法开展,如进气道前堵网影响,大落压比的喷流模拟。对飞行器表面突出物的优化设计,通过风洞试验,其代价将难以接受。
5. CFD的意义建立在精准之上
CFD处于蓬勃发展的年代,日新月异的CFD工具更是让我们变成选择困难症。作者本人一直的观点,在精准的基础上,更快更友好,就是我们的好朋友。
实际工作当中,CFD工程师每个人都可以很顺利的完成仿真工作,但两个人的结果往往差异很大。发生这种情况,如果是熟练工程师,绝大多数情况下,其实这两人心中都知道谁的数值更准一些。这里想表达什么?CFD本质上是个良心活,需要极高的责任心!
CFD的议题很大,下面仅仅就本人实际工作中,运用CFD的一点儿体会,跟大家交流一下。
5.1. 结构网格还是非结构网格
网格是影响计算结果的最大因素,不同的网格,同一求解器的结果差异要大于同一网格,不同求解器的差异。不管结构网格,还是非结构网格,均需要有良好的节点(物面及空间)分布,这依赖于我们对求解区域流动的理解,这就是用同一软件即使生成非结构网格,计算结果有时差异很大的原因。
图31 典型的结构网格与非结构网格
好的结构网格,费时费力效果好,但非常依赖于经验,在绝大部分应用场景下,逐渐被非结构网格取代。但结构网格在物面黏性精确度高的特性,使得气动热仿真仍然依赖结构网格。
图32 各种网格方法适用性比较图
5.2. 选用何种求解器
根据本人的经验,各种开源程序及商用软件,均有不同的最佳应用场景。用一种求解器可以不可以,当然可以。但是在自己不明白,自己仿真工况对应最佳求解器的前提下,对求解器的要求仅仅是能算出结果,对比得还行,其实就气动布局设计工程师而言,永远成为不了布局设计高手。
这部分内容更多需要的是咱们自己多用,多算,多思考,得出自己的结论。抛出一个问题,大家一起思考一下,为什么跟风洞试验值对比最好的是湍流模型?
很多CFD工程师往往会质疑风洞试验结果,事实的确是,试验过程中因为诸多原因,结果往往不可信。复杂构型跨速域飞行器,不真实的试验结果往往对整个项目是灾难性的,因此,试验数据必须精准。按风洞试验流程,风洞需要定期维护,保证流场品质,每次试验前也应进行对应的标模验证,但是工程中往往做不到。那型号设计单位如何保证自己拿到的数据的精确性?一是,选取某工况,在试验进行中,不断进行重复性试验,这时风洞需要不断更换风洞试验段,拆装试验模型,如果重复性非常好,就表明此次试验,风洞流场稳定,并排除模型安装的影响。二是,必须进行不同风洞的验证性试验,以及同一风洞不同期验证试验,来保证型号使用数据的精准可信性。
如此多的求解器,如何选择?各种求解器适合计算什么工况,这需要的仅仅是工程积累,勤于琢磨。而这不像CFD软件或者程序开发者,如果没有数学或者程序上的一些天赋,开发一个湍流模型,一个限制器,往往会被折磨的很痛苦。空气动力学的面很广,作为布局设计工程师,重要的是选剑,并非铸剑。何种战场佩何剑,剑如何挥,此处容易引起论战,不再赘述。
图33 边条与前翼引起的涡系发展
5.3. 它不行,还是我不行
在飞行器气动力/热的仿真中,为什么有的工程师仿真结果与风洞试验数据吻合较好,有的工程师差异较大?无非,就是它不行,还是自己不行的问题。
它不行,讲的是,自己选择的网格生成工具及求解器,本身就不适合自己需要仿真模拟的工况。
我不行,指的是,工具行,自己没掌握。举几个例子,生成的网格,边界层不合理(不同求解器及湍流模型,对Y+要求也不同);计算激波/边界层干扰的脉动,用DES......
图34 采用DES模型的内埋弹舱涡系结构
图35 采用LES模型的S弯进气道拟序结构图
CFD仿真的验证,选用资料要慎重,最好有自己的实验验证。
6. CFD的展望
才疏学浅,此部分实在不敢多言。
NASA提出的未来研究的6个战略方面中的“关键技术”的主要内容之一即流体力学(空气动力学)。要求的目标是发展新的概念,提出新的理论、实验及计算工具等,最终要保证飞行器的有效设计和运行。CFD则被美国国防部列为21项关键技术之一。这些均说明,空气动力学的地位在21世纪,不但没被削弱,反而进一步增强,没有空气动力学的新技术、新成果,就无法实现先进飞行器的高性能。
随着CFD方法的不断突破,及计算机技术的飞跃发展,多学科分析及优化设计手段的持续融入,机器学习的方兴未艾,飞行器的设计必将迎来更大的革命。
图36 280亿网格的客机着陆构型
7. 几点体会
上面的文字,大部分是我自己的工作体会,也有部分内容是从书上及网络上“搬”过来的。大家可能会感到缺了点什么或者认为我是否有所保留。事实上客观世界的表现是与主观世界相一致,为了不贻笑大方,现归纳几点主观世界的体会供大家参考。
7.1. 孜孜不倦、铢积寸累是成长的必由之路
回顾当年在学校的时候,还琢磨的是亚音速的转捩,还没明白怎么回事,就毕业了。一出校门,马上面临的就是复杂的实际工程,深感能力和需要的差距。经过几年的艰苦努力,才逐渐从“必然王国”跨进“自由王国”。
实际上从学校毕业到成为一个能熟练工作的设计员一般都需要两年左右的实践,主要是解决:掌握实践经验;弥补学校学习与工作需要的差距。
7.2. 博闻强识、融会贯通是充实提高的良方
从宏观上看世间万物都是相互影响,互相关联的,只是有元有近和影响的强弱而已。每一个技术专业也是如此。特别是科技迅速发展的当今世界,专业间的相互影响和渗透更为明显。这可以在自己的工作过程中及时抓住机遇、博闻强识、逐步扩大知识面和努力做到与本专业融会贯通,天长日久才能形成具有广博知识基础的金字塔式的人才,屹立于科技之林。
7.3. 高屋建瓴、探颐索隐是攻关创新的秘诀
宇宙之间确有数不清的奥秘尚未被我们认识,但我坚信那是迟早的问题,最后终会被认识的。科技方面也是如此,关键是如何能早日从“必然王国”迈进“自由王国”的大门。这个诀窍说起来也很简单:一方面是孜孜不倦、博闻强识、铢积寸累达到融会贯通;在此基础上通过深入实践及广泛的分析研究,采用高屋建瓴的方法、整理归纳找出客观事物的内在规律,自然就达到了探颐索隐、解决技术难关的目的。
文章来源:空天杂谈
工程师必备
- 项目客服
- 培训客服
- 平台客服
TOP




















