【佳文推荐】张茜 张微:基于AMESim仿真的先导式比例溢流阀稳态性能研究
2023年9月8日 11:05作者简介
张茜(1983.11-),女,汉族,陕西西安人,硕士研究生,讲师,研究方向:机械工程。
张微(1984.09-),女,汉族,陕西咸阳人,硕士研究生,讲师,研究方向:教育技术理论与方法。
基于AMESim仿真的先导式比例溢流阀稳态性能研究
张茜 张微
(空军工程大学防空反导学院 陕西 西安 710000)
摘要:先导式比例溢流阀应用非常广泛,在回路中起到定压溢流和稳压的作用,主要针对主阀阻尼孔的直径、弹簧刚度及主阀弹簧预紧力三方面的变化,通过AMESim软件针对其稳态性能进行分析和研究,为溢流阀的使用和设计提供指导。
关键词:比例溢流阀;AMESim;稳态性能
0 引言
比例溢流阀用于高精度、远程压力控制。其快速响应和连续的压力转换性能,可以减少压力转换带来的影响,并且可以减少系统中组件的数量。凭借强大的抗污染能力、可靠的工作性能以及低廉的价格,比例溢流阀获得了广泛应用[1]。稳态性能指的是回路中的元件在稳定工作时展现出的特性,而先导式比例溢流阀在系统中的稳态特性主要是指其控制特性(控制电压与输出压力二者之间的对应关系)、负载特性(压力、流量之间的对应关系)和一部分典型的稳态指标。本文对溢流阀的稳态特性展开讨论,有助于了解溢流阀的调压范围、启闭特性等诸多稳态工况下的性能[2]。先导式比例溢流阀的稳态特性研究,可为系统中溢流阀的选择、设计和优化提供一定方法和经验借鉴。
1 先导式比例溢流阀的工作原理
先导式比例溢流阀是由直流比例电磁铁和先导式溢流阀组成,是一种电液比例压力阀。当电流(电信号)输入电磁铁后,产生与电流成比例的电磁推力,通过推杆、弹簧作用于导阀芯上,顶开导阀芯所需的压力就是系统所调定的压力。因此,系统压力与输入电流成比例。若输入电流按比例或按一定程序变化,则比例溢流阀所控制的系统压力也按比例或按一定程序变化。
2 稳态性能计算
根据先导式溢流阀的结构,可清楚地分析阀芯的受力过程。
在不计阀芯的自重力、液动力和摩擦力时,可以得出主阀芯和先导阀芯在稳定工作状态下所受的力以及力的平衡方程:
式中:P-系统在溢流阀进口处的压力(N);
P1-主阀上腔室受到的压力(N);
A1-主阀上\下腔有效受力面积;
Ad-先导阀芯的有效承受压力面积;
K-先导阀和主阀弹簧的刚度(N/mm);
x0-先导阀和主阀处弹簧的预压缩量;
xd、x-先导阀和主阀工作时的开口量。
比例溢流阀在稳态时的压力方程如下:
当溢流阀的主阀打开,并且工作稳定,处于稳态工况下时,其压力与流量之间的对应关系及具体工作状态可用以下方程来描述。
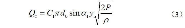
2.1 主阀打开时阀口处的流量-压力关系式
式中:C1-常数;
d0-主阀阀座孔的通径(mm);
y-主阀阀芯移动时升起的距离(m);
α1-主阀阀芯的半锥角(°);
ρ-油液的密度,为常值(kg/m3);
P-系统进口处的压力(N)。
2.2 主阀芯在稳态工况下的受力方程
主阀芯在移动的过程中,受到的力分别有自身的重力、流体的液动力、弹簧的弹力和液体的液压力,忽略掉重力以后,主阀芯在稳态工况下的受力表达式如下:
式中:K1-主阀上腔室弹簧的刚度(N/mm);
y0-主阀上腔室弹簧的预压缩距离;
P1-主阀上腔室压力(N);
A1、A-主阀上\下腔室力的作用面积,A1=1.04A;
α4-主阀周围流体液动力的刚度(N/mm)。
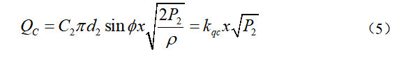
2.3 先导阀打开时的工作流量
当先导阀打开时,导阀溢流,此时的工作流量方程:
式中:d2-先导阀的阀座孔通径(mm);
x-导阀阀芯移动时升起的距离;
φ-半锥角(°);
P2-导阀前腔受到的压力(MPa);
kqc-导阀的特征系数。
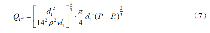
2.4 油液流过先导阀时的阀座阻尼孔流量
油液在流过先导阀时,阀座内部液体在流动的过程中,既不属于层流也不属于紊流,而是介于层流状态和紊流状态之间,流动的状态复杂,借由经验公式可知通过阀座阻尼孔中的工作流量。
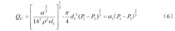
式中:d3-导阀的阀座阻尼孔通径(mm);
l3-先导阀的阀座处阻尼孔的长度(mm);
v-液体的运动黏度(m2/s)。
当忽略掉主阀芯在径向间隙内的泄漏量时:
式(3)~(7)为先导式比例溢流阀稳态性能的基本计算方程。
3 基于AMESim的溢流阀稳态性能分析
3.1 溢流阀的稳态数学模型建立
根据先导式溢流阀组成结构简图,在不改变先导式溢流阀结构的基础之上,通过AMESim HCD库构造了先导式溢流阀的模拟仿真回路(图1)。
图1 先导式溢流阀的仿真回路
3.2 比例溢流阀的稳态特性仿真
先导式比例溢流阀的稳态特性,指的是溢流阀处于相对稳定的工况之下,其进口处的流量与控制压力间的对应关系,即溢流阀的流量-压力特性。除此之外,溢流阀常使用的稳态特性还包括阀开启过程与关闭过程的特性即启闭特性、压力调节范围以及卸荷压力,在此仅对其流量-压力特性和启闭特性进行叙述。将仿真时间设定为10s,仿真间隔设定为0.1s,对模型运行仿真,在绘图管理器中能够得出需要的流量-压力曲线特性(图2)。
图2 阀的流量-压力特性曲线图
从图2可以看出,在特定参数设置下,工作状态中溢流阀的稳态开启压力为27.4MPa,这个时候主阀是完全打开的,实现了系统的溢流功能。从图中也可以看到,其压力的调定值为30.4MPa,也就是其调压偏差的大小为3MPa。
图3的仿真结果可以看出,比例溢流阀的不同弹簧预紧力大小对应于不同的开启压力大小,不同的开启压力大小对应不同的特性曲线。
图3 不同主阀弹簧预紧力阀的流量-压力特性曲线
以上的分析结果是在没有考虑阀芯运动时受到摩擦力时得出的,由于阀芯从闭合到开启这一过程中受到的摩擦力,与开启到闭合过程中受到的摩擦力方向刚好相反,因而打开时的开启压力并不等于关闭时的闭合压力。描述启闭特性的参数为调压偏差的大小,调压偏差表示了阀在溢流时的溢流量变化,引起其工作压力产生变化的范围。溢流阀的调压偏差数值越小,则溢流阀的溢流曲线越平缓,其静态性能也就越好。
溢流阀的启闭特性可描述为阀门从打开一直到溢流结束阀门关闭的时间段,流过溢流阀的流量与其所受控制压力构成的变化关系,通常情况下用溢流阀开启过程时的压力比和闭合过程时的压力比来表示。闭合压力比与开启压力越接近,曲线重合度越高,启闭特性也就更可靠。对先导式比例溢流阀工作性能产生影响的参数有很多,这中间就包括主阀阻尼孔的通径大小、主阀和导阀的弹簧刚度以及弹簧预紧力和阀芯的质量等。
4 影响比例溢流阀特性的因素
这里主要对先导式比例溢流阀的参数进行分析与研究,如主阀阻尼孔的直径大小、主阀和导阀的弹簧刚度以及主阀弹簧的预紧力等,进而得出各个参数的影响程度。
4.1 主阀阻尼孔直径的影响
通过AMESim液压仿真软件中HCD库进行先导式比例溢流阀仿真模型的搭建,并由此得到阀口流量、压力等参数在工作状态下的特性曲线;通过调节主阀上腔室阻尼孔直径的大小,观察得出溢流阀的入口压力及流量-压力曲线随主阀上腔室阻尼孔直径变化的情况(图4)。主阀芯的上端带有一个阻尼小孔,阻尼小孔的大小制约着主阀运动过程中受到的阻力,通过小孔的阻碍功能可以让主阀的上/下腔室生成必然的压力差,使主阀在压力差的作用下足以超过弹簧的弹力而运动,主阀运动的过程即开启的过程。从参数特点出发,进一步了解主阀上腔室阻尼小孔孔径产生变动时会对溢流阀的溢流性能造成何种程度的影响,现将主阀上腔室的阻尼孔直径分别设置成1mm、1.5mm和2mm进行仿真测试。
图4 不同阻尼孔直径下入口压力曲线图
4.2 主阀和导阀弹簧刚度变化对溢流阀的影响
图5为其它条件不变的情况下,溢流阀进口压力在不同阻尼孔径下的溢流曲线图。观察该图可以看出,增大主阀上腔室阻尼孔的直径时,阀门进口处的压力值略有增大,图中显示均增大了约0.6MPa。
图5 导阀弹簧刚度产生变化时对阀压力的影响
当先导阀刚刚打开时,导阀工作而主阀还未工作,将导阀的弹簧刚度值分别设置为30N/mm、60N/mm和120N/mm,在不改变其余参数的状态下进行仿真,运行仿真以后可得溢流状态下的压力曲线。从图5可以看到,如果只是单纯地把导阀的弹簧刚度值k加大,通过k的作用,则溢流压力也将随之增大。结合前文论述可知,导阀阀芯开启压力的大小决定于导阀弹簧预紧力的大小,在溢流阀的整个工作过程中,若导阀弹簧的预紧力大小不发生改变,则先导阀开启的压力亦不改变,即溢流阀对压力的调节范围变大;当主阀芯打开以后,其三条特性曲线保持平行状态,说明导阀弹簧刚度的变化对溢流阀工作的稳定性并不造成影响。图5导阀弹簧在三种不同的刚度下,阀的溢流压力趋于稳定状态所用的时间相等,说明阀的响应时间与导阀的弹簧刚度无关。
4.3 主阀弹簧预紧力产生的影响
主阀的弹簧预紧力决定着主阀的工作压力,在进行仿真时,将主阀弹簧的预紧力分别设置为250N、500N和750N,对其进行参数的批处理运行。在其它参数均不变的情况下,主阀的弹簧预紧力改变时,对应的阀入口压力的实时响应如图6所示。从图中曲线可以看到,调整主阀的弹簧预紧力会对溢流阀的进口压力产生较大的影响,具体表现为:主阀的弹簧预紧力越大,溢流阀在达到恒定点的入口压力就越大,但并不会改变阀溢流工作状态的稳定性,其导阀的开启压力值不改变,主阀打开的时间亦不发生变化。
图6 主阀弹簧预紧力的变化对阀进口压力P的影响
5 结语
先导式比例溢流阀在稳态工况下的进口压力和调定压力与主阀上腔小孔孔径的大小约为正比例关系;先导阀的弹簧刚度影响着溢流阀的整体性能,决定了溢流阀的进口压力;当弹簧刚度较小时,先导式溢流阀进口处受到的的控制压力也较小,溢流阀的压力则会伴随着主阀弹簧刚度值的减小而减小;在一定的调整范围内,观察主阀的弹簧预紧力与溢流阀的进口压力,二者近似呈正比关系,主阀的弹簧预紧力数值越大,溢流阀受到的弹力也就越大,其进口处的压力值也就大,反之越小。影响先导式比例溢流阀稳态特性的因素主次次序如下:主阀的弹簧预紧力、主阀芯阻尼孔通径和导阀的弹簧刚度,在使用和设计时可作为参考。
参考文献:
[1]吴建华.电液比例阀闭环控制技术的应用与维护[J].设备管理与维修,2017(11):72-74.
[2]姚坤杉.基于电液伺服阀的液压系统控制器的研究[D].镇江:江苏科技大学,2019.
工程师必备
- 项目客服
- 培训客服
- 平台客服
TOP




















