如何让基坑钢管支撑稳定
2023年9月11日 13:30在讨论钢结构的稳定问题前,首先应了解钢结构的计算长度问题。对于基坑中的钢管支撑体系,通常采用H型钢柱与钢管通过抱箍的形式进行连接。目前设计师对钢管支撑的计算长度会取立柱间的距离,那么钢管支撑在这种支撑形式下的计算长度是否真为立柱间的距离呢?
需要说明的是,对于钢管支撑而言,受压计算长度应分别从竖向平面内(重力作用平面)计算长度和水平平面内的计算长度进行考虑。
01
计算长度1.1
竖向平面内的计算长度
从概念上理解,如果计算长度取立柱的间距,那么立柱的支撑形式能够起到刚性支座的作用;如果达不到刚性支座的作用,那么此支座应视为弹性支座。因此对于钢管支撑在竖向平面内计算长度的计算问题可以转化为在多道弹性支座下的压杆稳定问题,计算方法则是采用线性屈曲分析,是一种在数学推导中求解特征值的方法。
图1 简化模型
钢管支撑的计算模型可简化(见上图):(1)受轴向压力的杆件两端为较支;(2)立柱抱箍支架对压杆的约束简化成一个刚度为k的弹簧。陈绍蕃《具有多道弹性支撑杆的钢柱稳定问题》给出了简化公式,本文采用abaqus求解了钢支撑在三道和四道支撑在临界承载力,并与陈绍蕃简化公式进行了对比,结果如下:
(a)三道支撑
(b)四道支撑
图2 压杆稳定承载力
从计算结果来看,abaqus求解的结果与简化公式非常一致,因此工程中可直接采用简化公式进行计算钢管支撑在竖向平面内的计算长度。经计算,立柱抱箍支架对钢支撑提供的竖向刚度为4255N/mm。基于此弹簧k值,本文选用钢管Ф609x16,撑杆间距10m,求解其在三道~九道弹性支撑下的计算长度,汇总计算结果见表1所示。
▼表1 钢管支撑在不同弹性支撑下的计算长度
1.2
水平平面内的计算长度
对于水平平面内的计算长度,应区分角撑和对撑。因为对于角撑或者单根钢管支撑,由于其两端铰接,水平向支撑约束很弱(立柱对钢支撑提供的侧向约束较低),计算长度基本接近于整个支撑长度。因此本文主要探讨对撑的水平平面内的计算长度。分别取50米跨和100米跨的对撑进行线性屈曲分析,具体布置形式见图3所示。本算例,对撑、八字撑以及第一道和最后一道弦杆采用钢管Ф800x16,其余弦杆采用H400x400x13x21。
采用abaqus对其进行线性屈曲分析,模型约束条件为:对撑支座处设置为铰接,杆件交汇处设置支座使其不发生重力方向的移动,并施加水平弹簧支座,模拟立柱对对撑提供的侧向刚度,具体屈曲模态结果见图4所示。通过计算得到的临界承载力,采用欧拉公式反推对撑的计算长度,最终结果汇总见表2所示。
图3 对撑布置形式
图4 第一阶屈曲模态
▼表2 对撑在不同跨度下的计算长度系数
注:计算长度=计算长度系数x立柱间距
从计算结果而言,计算长度系数分别为1.57和1.84;跨度越大,计算长度系数也就越大。计算长度系数应根据实际跨度、支撑布置形式以及约束条件进行求解,但是可以得知的是,水平平面内的计算长度系数要远大于1,这个在设计当中需要提高注意的。
同时从屈曲模态可以看出,两端的八字撑对整体钢支撑的面外稳定起到了有利的作用,类似于刚性支座,限制了钢支撑产生面外侧移的趋势。
02
稳定计算
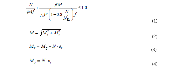
上文分别从竖向平面内和水平平面内来研究钢管支撑的受压计算长度,从结果而言,它不等同于立柱间的距离。讨论完了传统意义上的计算长度求解的方法,回到钢结构的稳定分析。在《建筑基坑支护技术规程》(以下简称为《基规》)中提到了支撑构件的受压计算长度的相关规定,以及支撑的承载力计算中应考虑施工偏心误差的影响,偏心距取计算长度的1/1000和40mm的较大值。稳定公式参照《钢结构设计标准》中对圆管的计算要求,见公式(1)~(4)。
《钢结构设计标准》(以下简称为《钢标》) 5.1.9条规定大跨度钢结构稳定计算应按二阶弹性分析或直接分析法。由于基坑钢支撑跨度往往比较大,因此应考虑轴压作用下的二阶效应。当考虑二阶效应作用时,则需要引入结构的整体缺陷用于模拟初始安装误差。参照《空间网格结构技术规程》规定,初始几何缺陷的分布形式可按最低阶屈曲模态,其缺陷最大计算值按跨度的1/300取值。当采用二阶分析时,计算长度系数可取1。可见,《基规》和《钢标》两本规范对于安装误差的计算方式存在着不同的方法,因此有必要做一个计算比较。
对于《基规》中的设计方法,岩土工程师可能会在计算长度系数和面外偏心距的取值上存在困惑,往往他们不会采用线性屈曲分析计算对撑的计算长度系数,而把计算长度系数直接认为是1,以及面外偏心距均取40mm。因此同样需要在计算长度系数和面外偏心距的取值上进行计算对比。
同样以图3所示的50米跨和100米跨的对撑为例进行在250kN/m围压下的稳定分析,采用abaqus和sap2000两款有限元软件进行二阶分析;采用三种算法来比较计算长度系数和面外偏心距的不同取值求得的应力。需要再次说明的是,本文钢支撑的计算长度是计算长度系数与立柱间距的乘积;从前文计算结果来看,水平平面内计算长度系数要大于竖向平面内计算长度系数,因此真实的计算长度系数取水平平面内计算长度系数。
▼表3 稳定应力对比
从表3的数值对比来看,对于50米跨的钢管对撑结构,采用《基规》的计算方法求得的稳定应力要大于《钢标》的二阶弹性分析求得的值;而对于100米跨的钢管对撑结构,采用《基规》的计算方法求得的稳定应力要小于《钢标》的二阶弹性分析求得的值。对于50米跨度以内的钢管对撑,无论采用算法1、算法2和算法3都是合适的;而对于50米~100跨度的钢管对撑,应采用算法3更为合适。
03
计算长度
从本文的分析结果来看,当钢管支撑的跨度越大,其二阶分析得到的弯矩就会越大,尤其是跨度超过50米以后,二阶弯矩值增加幅度就会很大。因此,岩土工程师在设计大跨度基坑的时候要注意。给出如下几点建议:
(1) 对于跨度小于50米内的钢管支撑,可采用《基规》的方法,并且计算长度系数可取1。
(2) 对于跨度在50~100米内的钢管支撑,也可采用《基规》的方法。
(3) 对于跨度超过100米的钢管支撑,采用《基规》的方法则显得不够安全,应采用《钢规》的二阶弹性方法加以验证。或者采用其它有效措施增加钢管支撑水平平面的刚度,例如在平面内增加斜向支撑等。
工程师必备
- 项目客服
- 培训客服
- 平台客服
TOP




















