HyperWorks仿真——随机振动理论简介
2023年9月11日 13:32一、随机振动介绍
随机振动,可以分为两个方面来了解,一个是“随机“,一个是”振动“。随机,指的是运动是不规律的,不能用一个函数来表示其随时间的变化。”振动“指的是物体在一个位置附近的往复运动。随机振动的常见例子有汽车在路面上的振动,风载荷下建筑的振动等。
对于一个没有规律的运动,如何去分析结构的受力状况呢?以汽车在路面上的运动为例,我们可以测得某一次汽车在路面上的运动信息,这里指的是汽车在垂直于路面方向上的上下颠簸状况(位移和加速度),但是重新测一次就会发现,随着路面状况的不同,每次测得的数据都不一样,那么我们该拿哪一次数据作为我们分析的输入呢?
这就是所谓的随机性。对于随机性的运动,我们可以采用统计平均的方法来分析。对大量的随机信号分析表明,虽然单个的信号之间是不相关的,没有规律的,但是它们的分布却服从概率分布,称为正态分布。正态分布可以表示为:
式中,μ为信号的均值,σ为信号的标准差。F(x)是信号小于x的概率。
正态分布曲线如下图所示,它受到平均值和标准差的影响。
可以看到,均值的改变会使概率分布函数在水平方向移动,标准差的改变会使函数的凸凹程度发生变化。
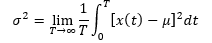
一般来说,在进行随机振动分析时会假设随机信号的均值为零,即使不为零,也可以采用一个均值为零的随机信号与一个常值信号叠加的方式处理,在这里只分析均值为零的随机振动。
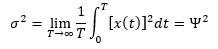
当均值为零时,决定随机信号分布函数的变量只有标准差σ。也就是说,σ一旦确定,对应于该随机信号的概率分布函数也就确定了。这里再次重申一下,随机信号是随机的,但是在统计意义上是满足正态分布的,我们不能通过单个信号或单次测量的信号集合来作为随机振动的输入,但是我们可以通过随机信号的平均功率来确定其概率分布函数。也就是说,随机振动分析并不是通过具体的输入得到一个具体的结果,而是通过一个概率分布的输入,得到一个概率分布的结果。在实际应用中就是,我们输入随机信号的功率谱密度,它表征着同样平均功率的随机信号输入,最后会得到一个应力分布,这个应力分布满足正态分布,也是概率分布的,而不是绝对的。
注:之所以随机响应与随机输入一样满足正态分布是因为正态分布具有线性叠加性,而且在进行动力学分析时未涉及非线性部分,所以随机响应与随机输入一样具有稳定的数值统计特征。
现在我们需要得到σ的值。首先看下σ的定义:
为方差,表示信号偏离平均值的程度。
其中μ为数学期望,代表着信号的平均值。
当均值μ为零时,有
即为信号的平均功率
我们得到了σ的表达式,但是由于x(t)随时间的变化是随机的,没有一个具体的函数来表示它,我们不能得到σ的值。所以需要进行傅里叶变换,将随机信号由时域转为频域表述,在这个过程中,它的平均功率不变,保证了σ不随着傅里叶变换而改变其大小。
即有:
其中,是x(t)的傅里叶变换。这称之为帕斯瓦定理。
代入平均功率的表达式,有
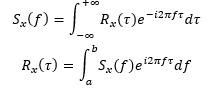
其中,表示了信号的平均功率(或能量)在频域上的分布,即单位频带的功率随频率变化的情况,故称之为信号的自功率谱密度函数,简称自功率谱或自谱。
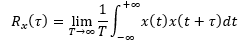
为了满足傅里叶变换的条件,信号x(t)绝对值需要可积,即。而实际的随机信号是不满足的,所以需要将随机信号进行自相关处理,令
称为随机函数x(t)的自相关函数。它反映了随机信号本身在不同时刻的相互关系。
对随机信号来说,当时,自相关函数即为时域上的平均功率;当
非常小时,
和
是相差很小的,当慢慢增大时,
和
逐渐不再相关,自相关函数快速衰减为零。
当随机信号中具有某种周期性信号时,其自相关函数会将其识别出来,并且忽略其相位信息。
根据维纳-辛钦定理,信号的自相关函数与功率谱密度是一对傅里叶变换对:
所以随机信号的功率谱密度可以通过对其自相关函数的傅里叶变换求得。
注:这里有一个问题,前面说随机信号不一定满足傅里叶变换的条件,后面说对信号进行自相关处理后就可以进行傅里叶变换进而求得功率谱密度,但是对功率谱密度的定义是对随机信号进行傅里叶变换得到的。也就是功率谱密度是对一个不一定满足变换条件的函数进行傅里叶变换得到的。这个地方我还不是很理解。
总结一下,随机振动的信号输入是随机的,不能作为振动分析的输入,但是其分布是满足正态分布的,可以作为随机振动分析的输入。为了确定随机振动信号的分布,需要知道信号的功率谱密度,这时可以通过求随机信号的自相关函数,对其进行傅里叶变换来得到,进而得到了随机振动的输入。
定义好随机振动的输入后,我们需要看下随机振动的分析结果。如前面所说,随机振动分析的输出是按照概率分布来的。得到的应力符合正态分布。如下图所示,求出的结果为1σ应力,表明应力值小于这个值的概率为68.27%,通常情况下会选取3σ应力作为结果,其值大于可能出现的99.73%的应力。
二、参考文献
如何理解随机振动的功率谱密度. J Pan. 知乎
《OptiStruct结构分析与工程应用》,刘勇,陈斌,罗峰. 机械工业出版社
文章来源:结构仿真学习
工程师必备
- 项目客服
- 培训客服
- 平台客服
TOP




















