论文推荐 | 燃料泵柱塞油膜摩擦生热CFD仿真分析
2023年9月15日 10:38署名作者:陈文杰1, 李永东2, 白长青1
作者单位:1. 西安交通大学机械结构强度与振动国家重点实验室 陕西省先进飞行器服役环境与控制重点实验室, 陕西 西安, 710049;2. 中国船舶集团有限公司 第705研究所, 陕西 西安, 710077
对水下燃气涡轮机动力系统燃料泵柱塞油膜摩擦生热问题, 结合流体力学动网格和滑移网格方法, 根据柱塞运动方程进行用户自定义函数编程, 考虑油液的粘温特性建立燃料泵柱塞油膜仿真计算模型, 并给出了柱塞油膜摩擦生热建模分析方法。根据所提出分析方法对柱塞油膜摩擦生热进行了仿真分析, 研究了出口压力、壁面温度及转速等参数对油膜摩擦生热引起温度变化的影响规律。获得如下结论: 入口压力为0.5 MPa时, 出口压力的变化对油膜温度上升影响较小, 且油膜顶部位置温度上升量最大, 在转速为2 250 r/min工况下温度上升量可达4 K左右; 2) 在300~373 K范围内, 壁面温度每上升20 K, 油膜顶部温度上升量降低约50%, 且373 K时油膜顶部温度上升量仅为300 K时的9.2%; 3) 油膜温度上升量与转速近似呈线性关系。
目前对柱塞油膜的研究大多以仿真方法为主[2-4], 通过求解雷诺方程得到油膜压力分布, 而对柱塞油膜摩擦生热引起的温升研究较少。王智慧等[5]对柱塞油膜进行了研究, 采用给定边界条件, 先后求解雷诺方程和能量方程, 得到温度分布后再修正油液黏度分布。訚耀保等[6]通过能量传递的方法计算油膜温度分布, 重点分析了转速、工作压力及入口油温等因素对油膜温度的影响。Wieczorek等[7]通过仿真程序CASPAR对柱塞泵间隙流动进行了仿真, 该仿真程序通过求解雷诺方程分析柱塞泵在特定工作状态下的动态特性。OLEMS[8]给出数学模型计算柱塞副的流动状况, 通过求解能量方程获得油膜温度分布, 并通过试验验证了模型。陈庆瑞[9]较为完整地提出了4个油膜特性的测试方案。目前基于仿真方法的研究往往都是通过给定边界条件, 研究油膜压力和温度的分布与变化, 对于由两侧壁面相对运动导致油膜温度上升的研究较少。
在实际工况下, 柱塞油膜的产热机制较为复杂。摩擦生热作为柱塞油膜的主要产热方式之一, 其产生的热量难以准确测量。文中基于计算流体力学(computational fluid dynamics, CFD)软件对燃料泵柱塞油膜进行数值仿真分析, 仿真柱塞油膜在不同工况下摩擦生热引起的温度上升。
01
柱塞油膜CFD仿真建模
燃料泵工作时, 斜盘跟随主轴转动并施加作用力将柱塞推入油缸, 弹簧的回复力再将柱塞推出油缸, 转动1周即完成1次吸压油过程。燃料泵局部结构和柱塞副结构如图1所示。柱塞往复运动可分解为进入柱塞套的压油阶段和离开柱塞套的吸油阶段。压油阶段, 柱塞受斜盘的作用力进入柱塞套, 柱塞底部与斜盘接触紧密, 此阶段柱塞中心流道处于闭合, 润滑油从柱塞套入口和柱塞套底部进入间隙, 油膜伸长; 吸油阶段, 柱塞受到弹簧作用力离开柱塞套, 油膜油液从中心流道和柱塞套底部流走, 油膜缩短。
图 1 燃料泵局部结构和柱塞副结构示意图
1.1 油膜几何模型与网格划分
图 2 柱塞油膜模型示意图
1.2 柱塞运动方程
图 3 柱塞运动原理图
基于柱塞运动原理, 可得柱塞位移和运动方程
(1)
(2)
式中: Sp为柱塞位移量; v为柱塞运动速度; 为主轴转动角速度。
由于油膜实际区域更新随柱塞运动而改变, 故油膜顶部边界运动也满足上述公式。同时, 油膜长度变化量为
(3)
式中, l0为油膜初始长度, 即油膜最小长度。
1.3 网格更新方法
对于变化的流场区域可以使用动网格与滑移网格技术。
02
柱塞油膜摩擦生热仿真
图5为燃料泵柱塞油膜摩擦生热仿真流程图, 主要包括以下步骤: 1) 建立柱塞运动方程和油液黏温关系, 并通过UDF编程将柱塞运动方程和黏温关系导入仿真软件; 2) 建立油膜几何模型, 进行网格划分及网格无关性检验; 3) 对不同油膜出口压力、壁面温度以及转速条件进行油膜摩擦生热引起的温升仿真计算, 得到相应结果。
图 5 摩擦生热仿真分析方法流程图
2.1 计算精度与网格无关性验证
采用商用CFD软件FLUENT中的Laminar模型、SIMPLE算法以及2阶精度格式进行计算。其中, 连续性方程、动量方程和能量方程的标度残差均小于10−3, 保证计算结果精度。网格划分在考虑精度与计算成本情况下, 保证油膜厚度方向网格始终大于16层, 满足y+<1。通过油膜2处位置的温度变化量验证网格无关性。加密网格和时间步的计算结果变化较小, 认为网格具有独立性与收敛性, 即模型计算结果不受网格影响, 具有一定的可靠性。
2.2 柱塞油膜流动状态与黏温关系
柱塞运动速度对油液流动状态有直接影响, 在仿真中需要选择合适的流动状态才能保证计算结果的准确性。因此, 还需对油膜流动状态进行判断。文中仿真模型主要关注油膜区域。通过雷诺数可以判断油膜流动状态, 即
(4)
式中: 为油液密度;
为动力黏度; v为流动速度; l为特征长度。
速度取临界转速5 000 r/min下最大速度, 动力黏度取温度为373 K下油液黏度, 特征长度为油膜厚度, 计算得Remax=22, 远小于临界雷诺数2 000, 因此可认为油膜流动状态为层流。
油膜摩擦生热和油液黏性有直接关系。黏度由分子间的相互作用力引起, 温度升高, 分子间距增大, 黏度降低, 称为油液的黏温特性。目前常用的黏温压关系式为Roelands公式[10], 可表示为
(5)
式中: 表示压力为P、温度为T时的动力黏度;
为初始温度;
表示温度为
时的动力黏度; z和
为常数。
文中仿真使用的油液为4050高温合成航空润滑油, 对Roelands公式作一定变化, 使其满足目前实际工况下的油液黏温关系式, 对式(5)进行简化, 并表示为
(6)
式中, T为油液绝对温度, =300 K时变化趋势如图6所示。式(6)将通过UDF编程导入仿真软件, 定义计算过程中油液的黏温关系。
03
油膜温升仿真结果及分析
柱塞工作过程中, 油膜摩擦产热主要与油膜压力、接触壁面温度和柱塞运动速度有关, 文中研究了这3个参数单一变化时对油膜温度上升的影响。入口压力由燃料泵实际工作中润滑油入口压力给定, 设定为0.5 MPa, 油膜厚度为33 μm, 油膜初始温度为300 K, 其余仿真条件设定如表3所示, 共计算15组。
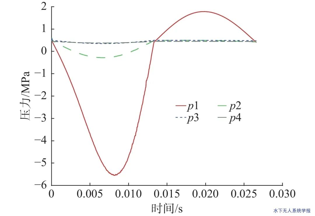
图7为不同出口压力下p1点温度随时间变化曲线。图中: 前半周期, 油膜随柱塞进入柱塞套而伸长, p1处为负压, 由于压力梯度, 部分油液从油膜底部出口回流进入油膜区域; 后半周期, 中心流道底部出口打开, 油膜缩短, 顶部压力逐渐增大, 油液从2个出口流出。由油膜摩擦生热导致的p1点温度上升在不同出口压力条件下变化较小, 但单个周期温升仍可达4 K左右。半周期时刻温度有小回落是因为柱塞运动方向改变, 油膜顶部压力仍较小, 且中心流道出口开放, 部分油液从中心流道抵达油膜顶部区域, 引起温度回落。
图 7 不同出口压力下p1点温度随时间变化曲线
图8为不同出口压力下各监测点温度升量对比曲线。图中, 压力出口对各点位温度变化影响较小, p1点温度上升最多, p2与p4依次减小, p3处于油液缓存区温度基本不会变化。
图 8 不同出口压力各监测点温度升量对比曲线
当出口压力为0.4 MPa时, 油膜内不同位置压力随时间变化曲线见图9。图中, 油膜由上至下, 正负压变化幅值减小, p3和p4点接近油液缓存区域油膜压力基本不变。柱塞往复运动中, p1点压力变化最剧烈, 最大负压为5.6 MPa, 这是由于油膜细长, 顶部距离油液缓存区较远导致; 正压接近2 MPa, 后半周期中心流道出口开放, 很大程度减小了油膜压力。
图 9 各监测点压力随时间变化曲线
出口压力为0.4 MPa时, 油膜内不同位置温度随时间变化曲线见图10。图中, 不同点温度变化总体趋势近似, 在半周期时刻存在温度小幅回落。
图 10 各监测点温度随时间变化曲线
图11为柱塞运动1个周期后, 油膜不同位置的温度分布曲线。图中, 油膜厚度方向的温度变化与曲线宽度对应, 变化较小。各监测点中, p3处于油液缓存区, 温度基本无变化; p1与p2之间的低谷区域为油膜与中心流道的连接区, 油液从此处流走, 该位置温度较低。
图 11 油膜不同位置温度分布曲线
油膜摩擦生热会导致金属壁面温度上升, 并向外传递热量, 温度最终趋向稳定。壁面温度升高后, 可通过数值仿真来研究油膜摩擦生热变化情况。
图12与图13为不同壁面温度下, p1的压力和温度随时间变化曲线。随着壁面温度上升, 油膜压力幅值减小, 温度上升量也减小。温度壁面会快速加热新流入的油液, 导致油液黏性降低。油液黏性下降后, 由压力梯度引起的油膜内油液流动速度减小, 而摩擦生热与黏度和速度呈正相关, 因此油膜温度上升量减小。
图 12 不同壁面温度下p1点压力随时间变化曲线
图 13 不同壁面温度下p1点温度随时间变化曲线
不同壁面温度条件下油膜温度上升量, 在373 K壁面温度工况下油膜顶部温度上升量仅为333 K时的1/3。壁面温度每上升20 K, 油膜温度上升量近似降低50%, 373 K时温度上升量仅为300 K时的9.2%。
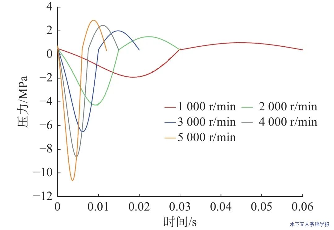
燃料泵在工作过程中调整转速, 会直接影响柱塞运动速度, 油膜区域更新速度也会因此改变。对不同转速下油膜摩擦生热仿真结果如图14与图15所示。图中, 随着转速增大, 油膜压力幅值增大, 油液压力梯度大, 流速增大, 温度升量增大 , 此外与油膜直接接触的滑移壁面速度也会增大, 这也是导致温度上升的因素之一。
图 14 不同转速下p1点压力随时间变化曲线
图 15 不同转速下p1点温度随时间变化曲线
图16为柱塞运动1个周期后, 不同转速下油膜不同位置温度升量对比曲线, 随着主轴转速增大, 油液温度升量近似呈线性关系, 油膜各处温度呈整体上升, p3点温度升量基本为零。
图 16 不同转速下各监测点温升变化曲线
04
结论
文中提出一种燃料泵柱塞油膜摩擦生热温升的CFD仿真方法。通过对不同条件下的油膜单个周期内摩擦生热引起的温升进行分析, 相比传统的油膜热效应研究, 仿真过程油液流动更符合真实工况, 获得了以下结论:
1) 对于入口压力为0.5 MPa的工况下, 出口压力对油膜摩擦生热引起的温升影响较小。油膜压力由上至下呈下降趋势, 同时油膜温度上升量变化幅值由上至下也呈下降趋势。但在接近于入口处的油液缓存区, 温度和压力变化基本为零, 且油膜顶部位置温度上升量最大, 可达4 K左右。
2) 随油膜接触面温度升高后, 油膜黏性大幅下降, 摩擦生热引起的温度上升量随之减小。同时, 油膜压力会因为油液黏性降低而减小, 由压力梯度引起的油液流动速度也减小。壁面温度每上升20 K, 油膜温度上升量近似降低50%, 373 K时温度上升量仅为300 K时的9.2%。
3) 转速对油膜压力和温度变化影响较大, 随着主轴转速增大, 油膜压力幅值和温度上升量均增大, 且油液温度上升量近似呈线性关系。主要原因为油膜内流速增大, 同时与油膜接触的壁面滑移速度也会增大。
文章来源:水下无人系统前沿科技
工程师必备
- 项目客服
- 培训客服
- 平台客服
TOP




















