Nastran 显式非线性分析SOL 700
2023年9月18日 13:11Nastran 显式非线性分析SOL 700
01
概述
MSC Nastran SOL 700完全集成了MSC Dytran的流固耦合分析功能和LS-DYNA的结构分析功能,可进行各种高度瞬态非线性事件的仿真分析。该模块采用显式积分法,并能模拟各种材料非线性、几何非线性和碰撞接触非线性,特别适合于分析包含大变形、高度非线性和复杂的动态边界条件的短暂的动力学过程。软件同时提供拉格朗日求解器与欧拉求解器,因而既能模拟结构又能模拟流体。拉格朗日网格与欧拉网格之间可以进行耦合,从而分析流体与结构之间的相互作用,形成精确独特的流固耦合求解技术。该软件具有丰富的材料模型,并且提供各种接触的定义模式,能够模拟从金属、非金属(包括土壤、塑料、橡胶,泡沫等)到复合材料,从线弹性、屈服、状态方程、破坏、剥离到爆炸燃烧等各种行为模式,及模拟各种复杂边界条件。对于超大变形问题,SOL 700提供了独特的无网格SPH(Smooth ParticleHydrodynamics)技术,保证计算的收敛和精度。同时,SOL 700还支持链式分析功能,可以进行显式一显式、显式一隐式、隐式一显式一隐式的链式分析,用于多步跌落分析、回弹分析和预应力一回弹分析。
SOL 700模块支持160多种材料模型,具有50多种接触类型,接触类型齐全,并具有极好的并行计算能力,包括分布式并行算法(DMP)和共享内存式并行算法(SMP)。DMP不仅可用于结构分析,而且可用于流固耦合分析,支持含多材料欧拉域的FSI分析。目前,SOL700已经支持LSTC 50%分位的三代假人模型。
SOL700广泛应用在以下领域:
(1)结构的碰撞性分析,如汽车、飞机、火车、轮船等运输工具的碰撞分析、船体搁浅、鸟体撞击飞机结构、航空发动机包容性分析等。
(2)安全防护分析,如安全头盔设计、安全气袋膨胀分析以及汽车一安全气囊一人体三者结合在汽车碰撞过程中的响应,飞行器安全性分析(飞行器坠毁、带气囊着陆等)。
(3)跌落试验,如各种物体(武器弹药、化工产品、仪器设备、电器如遥控器、手机、电视机等)的跌落过程仿真。
(4)金属弹塑性大变形成型,如钣金冲压成型、全三维锻造成型等。
(5)爆炸与冲击,如水下爆炸、地下爆炸、容器中爆炸对结构的影响及破坏、爆炸成型、爆炸分离、爆炸容器的设计优化分析、爆炸对建筑物等设施结构的破坏分析、聚能炸药的能量聚焦设计分析、战斗机结构的设计分析。
(6)水下/空中弹体发射过程,火炮助推器模拟,动态仿真高速、超高速穿甲,如飞弹打击或穿透靶体(单个或复合靶体)及侵彻过程等问题。
(7)流体动力分析,如液体、气体的流动分析、液体晃动分析,水上迫降。
(8)轮胎在积水路面排水性和动平衡分析,高速列车运行系统动力学分析。高速列车穿隧道的冲击波响应,高速列车运行中引起的空气脉动力对声屏障结构的作用,车辆过桥的动态响应以及其他瞬态高速过程仿真。
02
显式积分求解算法的原理
(1)建立碰撞运动方程
在总体坐标系下,碰撞的运动方程可以表示为:
[M]{a}+[C]{ν}+[K]{d}={Fex}
式中:[M]为结构的质量矩阵;[C]为结构的阻尼矩阵;[K]为结构的刚度矩阵;{a}为加速度向量;{ν}为速度向量;{d}为位移向量;{Fex}为包括碰撞力在内的外力向量。
若令{Fin}=[C]{v}+[K]{d},并设{Fre}={Fex}-{Fin},则碰撞方程可以写成为:
[M]{a}={Fre}
如果采用集中质量,即质量矩阵[M]变成对角矩阵,则各个自由度的方程将是相互独立的,即:
Miai=Fire(i=1,2.…)
(2)显式积分算法
用显式方法求解碰撞运动方程,首先由方程直接求出
ai=Fire/Mi
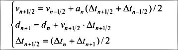
然后对时间积分求得速度vi,再积分一次就可获得位移di。这里采用中心差分的显式格式进行时间积分,中心差分的显式格式为:
因此在整个时域范围内,可由上述积分递推公式求得各个离散时间点处的位移、速度和加速度。显式积分不需要进行矩阵分解或求逆,无须求解联立方程组,也不存在收敛性问题,因此计算速度快,其稳定性准则能自动控制计算时间步长的大小,保证时间积分的进度。应用显式积分算法求解碰撞问题时,一个特别值得注意的问题就是时间步长不能超过临界时间步长。对于本文的壳元t<α(Lmin/c),式中α为时步因子,Lmin为板壳元最小的单元边长度,c=√E/(1-ν²)ρ为材料的声速。
文章来源:精准CAE部落
工程师必备
- 项目客服
- 培训客服
- 平台客服
TOP




















