声场中的能量关系:声能量密度、声能流密度、声强
声波是机械波的一种,其实质是能量的传递过程。

声动能(kinetic energy):
质点振动引起的能量变化。
声势能(potential energy):
介质形变引起的能量变化。
声能:
由于声波传播而引起的介质能量的增量。
一、声能量密度E0
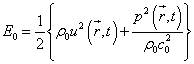
定义:声能量密度
:声场中单位体积介质所具有的机械能为声场的声能密度。记E0。
声能密度的量纲:

(MKS)制中,基本单位:J/m³
下面分析声能密度E0与基本声学量的关系:
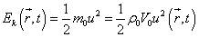
声场中任意一个质量为m0体积为V0的质团;
动能:

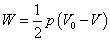
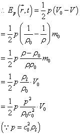
势能:质团由平衡状态(V0,P0)至(V,P)状态,声压所作的功


图中阴影部分

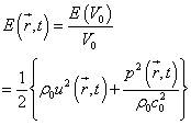
所以,声场中质量为m0体积为V0的质团的机械能:

据定义,声场中单位体积介质所具有的机械能为声场的声能密度,有:

二、声能流密度

定义:单位时间内通过与声波能量传播方向垂直的单位面积的声能为声能流密度,它是一个向量。

(MKS)制中,基本单位:J/m²s=W/m²
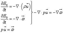
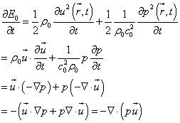
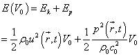
据能量守恒定律,参照连续性方程的推导方法,可得声能量密度E0与声能流密度
的关系:

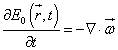
声能量密度的时间变化率等于声能流密度的散度的负值。
据
与基本声学量
的关系式和上式,可得
与基本声学量
的关系:


推导过程中用到三个基本方程(连续性方程、状态方程、运动方程):


结论:声场的声能流密度为该点声压与质点振速的乘积,方向为该点质点振动的方向。

声能通过单位面积的能流瞬时值在数量上等于该点声压和质点振速的乘积。
声能流的传播方向沿着介质质点振速的方向。
,表示能流沿波传播方向流出;
,表示能流向波传播方向的反方向流动。
当振源表面能流为正时,表示振源对介质作正功,即振源辐射能量。
当振源表面能流为负时,表示振源作负功,即声场把能量交还给振源。
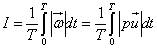
三、声强I(声波强度acoustic intensity)
定义:声场中某点的声能流密度矢量模值的时间均值,为声场该点的声波强度。简称声强。记作I。

也可表述为:声场中某点的声强是,单位时间内该点通过与声传播方向垂直的单位面积的声能量的平均值。

(MKS)制中,基本单位:J/m²s=W/m²(瓦特/米²)
在谐和律变化的声场中,声波强度决定于声压和振速的振幅值和它们之间的相位差。

平面驻波场中,p和u相位差为π/2.
通过任意波面的声波强度为零。但并不意味着声场中没有能量。
也可以用“声强级”(SIL)表示声波强度(声强)的大小:

内容来源:公众号海基科技 版权归作者所有
工程师必备
- 项目客服
- 培训客服
- 平台客服
TOP




















