液压执行件与管路的固有频率计算及其影响因素( 液压传动与控制)
2021年2月24日 23:46一个液压机械系统传动系统,通常由液压执行件与负载构成,可简化为弹簧-质量系统。其弹簧的作用,由被压缩的油液容积产生。液压传动装置的固有频率,对于闭环控制系统的动态特性,是一个重要的参数。固有频率的计算,最基本的公式如下,其由弹簧刚度和质量决定大小。
C:弹簧刚度
m:运动质量
而其中的弹簧刚度C的计算与油液的体积弹性模量E有关,并且与面积平方成正比,与容积成反比。
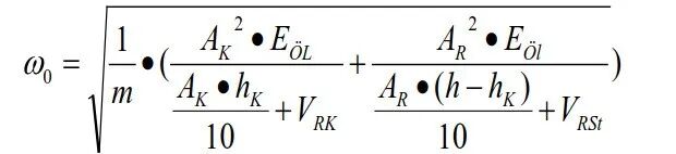
总的固有频率计算公式:
液压系统中,液压缸是最接近负载的一个液压元件,液压缸与负载质量等组合在一起的液压固有频率往往就是整个液压系统中频率最低的一个元件,也就是整个系统工作频率的上限。如果输入信号频率过高,液压缸受固有频率的限制因而不能正常响应。因此设计系统时,需要尽可能的考虑提高工作频率范围。
从上述公式可以,常常用到的提高固有频率的措施有:提高液压弹簧刚度和减小惯性质量。提高弹簧刚度就是意味着液体中含气量越小越好,从而提高弹性模量;同时也避免使用软管。此外,增加油缸面积也是有效的,但是油缸规格增大,意味着负载流量相应也要增大,从而阀、管件、动力单元等都需要增大。减少压缩容积就意味着减小液压缸的的无效容积,并且保证伺服阀离油缸越近越好。对于负载质量,减小的可能性一般不大,但是需要考虑活塞质量、液压缸两腔油液质量、管路中油液质量折算到负载上的质量部分,如果此部分很大,就不能忽略了。但是固有频率的计算还是必须基于各种综合因素的考虑,在成本与性能上做出平衡。
问题:在伺服阀与油缸之间安装蓄能器,会影响公式中的哪些因素?对固有频率有何影响呢?
1. 差动缸固有频率的计算
差动缸是我们应用使用最频繁的一种执行器。对固有频率的计算,需要考虑的因素有:油液密度、弹性模量、负载质量、油缸尺寸与行程、阀与油缸之间的管路等因素。
下面是一个通用的公式,考虑了活塞杆在不同位置时固有频率的计算。
示例中,缸径50mm,杆径32mm,行程500mm,最小频率的位置在靠近无杆腔侧283mm的位置。
下图中,给出了活塞在不同位置时,固有频率的变化趋势。
2. 对称缸固有频率的计算
当活塞杆在中位时,可得出此时油缸-质量系统的固有频率最低。
当油缸活塞位置发生变换时,油缸-质量系统的固有频率也会发生变化,在两端时达到最高。
下面的表格考虑了管道容积对固有频率的影响。
基于上述的油缸规格以及负载质量,管路长度对固有频率有多大的影响,做了一个统计。当管路从0变化到8m时,固有频率从81Hz降为35Hz,其实影响还是很大的,这是为什么伺服系统尽量建议把伺服阀装在油缸上面的原因。
3. 柱塞缸固有频率的计算
柱塞缸采用三通阀控制,只有一个控制腔。
4. 液压马达固有频率的计算
液压马达是对称容积,固有频率与转动惯量以及马达排量有关。
5. 管路固有频率计算
上面谈到的都是液压执行件或者液压执行件与管路一起的固有频率计算。如果单独考虑管路本身的固有频率,也可以做一些分析。如下为管路模型,等效为弹簧质量系统。
管路固有频率与弹性模量、密度以及管路长度相关。根据计算得知,管路长度发生变化时,管路本身的固有频率发生了极大变化。
注:本Excel表格可有偿提供.
联系微信号:hydraulic2020
工程师必备
- 项目客服
- 培训客服
- 平台客服
TOP




















