FLUENT精典案例#371-低雷诺数层流串列双圆柱绕流仿真
浏览:3288 评论:11 收藏:2
点击蓝字关注我们
FLUENT精典案例#371-低雷诺数层流串列双圆柱绕流仿真
01
问题介绍
如下图所示的两个圆柱尺寸为直径D=0.04m间距5D,计算域为4mx2m。计算雷诺数200的层流非定常工况,监测圆柱上的升力、阻力和涡街。假设流体介质为空气,密度为1,粘度 为0.0002,来流速度为1。
02
网格情况
ICEM结构网格,圆柱附近以及涡街区域加密。
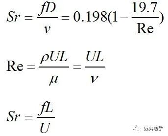
03
相关公式
空气密度1
粘度0.0002
计算得到
U=1
Sr=0.178497
T=4.462425
04
基本设置
1瞬态计算
其实建议先用稳态计算,得到稳定流场后再切换为瞬态计算,能够减少涡街出现的等待时间。
2层流模型
3设置流体介质属性
4设置来流速度
5出口设置为压力出口
6上、下边界设置为对称边界或移动边界(下图设置的是移动边界,移动速度与来流速度相同)
7设置升力监测(阻力监测设置方法相同)
勾选Per Zone,以便能够分别监测并显示两个圆柱上的升力。
8若希望在CFD POST中做动画,可设置自动保存
9从入口初始化
10为了仿真时能够实时监测动态情况,可设置监测(此处的监测结果也可以用来在FLUENT中制作动画)。
10为了得到比较好的结果,时间步长可取小一些
05
基本结果
低雷诺数层流情况下,涡街出来得很慢。需要计算很久。本算例先稳态计算,然后使用服务器计算瞬态流场,跑了一个晚上,才刚刚开始出来涡街,所以下面展示的结果也都是还没有形成完整涡街时的结果。
1涡量云图
可以看到涡街已经出现,但仅仅是刚刚出现。
来个放大图。
2整体速度云图
3升力曲线
形成完整的涡街后,升力曲线将呈现正常的正(余)弦曲线(要计算蛮久,懒得算了,从下图可看出,继续计算结果必然是可以接受的)。
06
软件版本
FLUENT2020R1
技术邻APP
工程师必备
工程师必备
- 项目客服
- 培训客服
- 平台客服
TOP
9
11
2




















