为保证动力电池的安全,各大主机厂均对动力电池提出了全面和严格的安全标准和测试要求。北汽新能源对动力电池提出了全生命周期IP68的要求,但目前存在气密检测标准的设定不能保证动力电池完全满足IP68的要求,本文在原标准基础上升级了气密检测标准水平,以此升级后标准对动力电池进行下线检测,可以保证动力电池满足IP68的要求。

IP68防护等级中IP是Ingress Protection的缩写,第一个数字是固态防护等级,6表示无尘埃进入,第二个数字是液态防护等级,8表示进入规定的压力水中经规定时间后外壳进水量不致达到有害程度,IP68对动力电池检测标准条件为测试件处在水深1m,沉水1h,通过标准为内部无水进入。
IP68沉水测试的方法耗时较长,对动力电池具有破坏性,且具有一定的安全风险,不适合作为动力电池的下线检测。目前各大主机厂和电池厂均使用气密检测来保证动力电池满足IP68的要求,目前国内大部分主机厂和电池厂使用压降法来检测动力电池的密封性,压降法优点是只需干净的压缩气源,测试成本低、操作简单、设备成本低廉和效率高;缺点是压降法与动力电池内部的空间体积有很大关系,对于不同的电池系统压降法允许的压降值不同。
需要设定合适的气密检测标准才能满足IP68的要求,气密检测标准的制定需压降值与泄漏率的关系,以及孔径与漏水的关系等。在第19届世界无损检测大会上Rudolf等针对汽车孔径和泄露量的关系研究中表明,当孔径直径≈0.01mm时,在100s内,100kPa的压差下,漏气量≈1cm3。
实验验证的目的是验证孔径的大小和数量与漏水的关系,物料状态如表1。
(1)将微孔板用密封胶粘接在型材的一端,将板端向下防止在装平台上,板中部悬空;
(2)向管内注入纯净水至1m高度位置(模拟水下1m压力状态);
4个试件注入水后在工装平台上静置1h,观察其渗漏和低落情况,试验结果见表2。
通过上述结果得知,当有6个直径为0.01mm的小孔时,无水滴落,此时的状态满足IP68的要求。
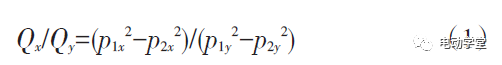
通过上述Rudolf等的研究[得知,此时允许的气体泄漏量为6cm3/100s@100kPa。水深1m处的压力值为10kPa,根据同一气体测试压与泄露量之比的关系如式(1)。
得出此时允许的泄露率约为:90cm3/100s@10kPa,即54cm3/min@10kPa,即要在保证动力电池满足IP68的要求,流量法检测气密时需泄漏率小于54cm3/min@10kPa。
式中,p为测试压力;V为气体体积;∆p为压力损失;∆N分子量的泄漏;patm为大气压力;N为分子量;Q为泄漏率。
根据理想气体的计算公式,计算压差与泄露量的关系,见表3。以动力电池内部体积85L,检测时间1min,测试压力10kPa为例,此时计算出的允许的压差泄露量为64.37Pa,但目前各大主机厂动力电池下线检测压力为5kPa,此时允许的泄露率为32.19Pa/min@5kPa。

基于北汽新能源某款动力电池进行气密性验证,此款动力电池包内体积为85L,下线测试压力为5kPa,完全符合表3条件。
(1)按照动力电池气密检测标准完成对动力电池的气密检测,记录气密检测值;
(2)以封堵工装对动力电池对外接口进行封堵,封装工装贴近于实际整车状态;
(3)以IP68对动力电池进行沉水试验,记录试验状态;
(4)从水中取出电池包,擦拭动力电池外包络,避免外部水分进入动力电池内部;
(5)拆开动力电池进行观察,记录动力电池内部是否有水进入。
当小孔的直径≤0.01mm时,且同一区域的小孔数量≤6个时,动力电池可以满足IP68的要求;
相同试验条件下,随着充气压力的增加,允许的最大泄漏量增加;
当最大泄漏量一定时,动力电池内部的体积越大,允许的压差值越小;
为保证动力电气满足IP68的要求,动力电池气密测试时最大泄露率≤27cm3/min@5kPa,根据测试压力不同,需相应改变泄露量的值;
电池系统内部空间确定好后,根据理想气体计算公式可以计算出允许泄露的压差值;
动力电池的密封性与箱体结构有较大关系,理论计算出最大允许泄露量后仍需进行沉水验证。

本文提出了合适动力电池下线气密检测标准值以保证动力满足IP68的要求,保证动力电池在全生命周期内不会有水和尘土进入动力电池内,避免造成动力电池内部因进水造成短路的风险,保证车辆和人员的生命财产安全。