紧固件成型工艺中,冷镦(挤)技术是一种主要加工工艺。冷镦(挤)属于金属压力加工范畴。在生产中,在常温状态下,对金属施加外力,使金属在预定的模具内成形,这种方法通常叫冷镦。今天我们来全面了解一下紧固件冷镦成型工艺。
任何紧固件的成形,不单是冷镦一种变形方式能实现的,它在冷镦过程中,除了镦粗变形外,还伴随有正、反挤压、复合挤压、冲切、辗压等多种变形方式。
因此,生产中对冷镦的叫法,只是一种习惯性叫法,更确切地说,应该叫做冷镦(挤)。
冷镦(挤)的优点很多,它适用于紧固件的大批量生产。它的主要优点概括为以下几个方面:
a.钢材利用率高。冷镦(挤)是一种少、无切削加工方法,如加工杆类的六角头螺栓、圆柱头内六角螺钉,采用切削加工方法,钢材利用率仅在25%~35%,而用冷镦(挤)方法,它的利用率可高达85%~95%,仅是料头、料尾及切六角头边的一些工艺消耗。
b.生产率高。与通用的切削加工相比,冷镦(挤)成型效率要高出几十倍以上。
c.机械性能好。冷镦(挤)方法加工的零件,由于金属纤维未被切断,因此强度要比切削加工的优越得多。
d.适于自动化生产。适宜冷镦(挤)方法生产的紧固件(也含一部分异形件),基本属于对称性零件,适合采用高速自动冷镦机生产,也是大批量生产的主要方法。
总之,冷镦(挤)方法加工紧固件、异形件是一种综合经济效益相当高的加工方法,是紧固件行业中普遍采用的加工方法,也是一种在国内、外广为利用、很有发展的先进加工方法。
因此,如何充分利用、提高金属的塑性、掌握金属塑性变形的机理、研制出科学合理的紧固件冷镦(挤)加工工艺,是研究的目的和宗旨所在。
变形是指金属受力(外力、内力)时,在保持自己完整性的条件下,组成本身的细小微粒的相对位移的总和。
a.弹性变形
金属受外力作用发生了变形,当外力去掉后,恢复原来形状和尺寸的能力,这种变形称为弹性变形。
金属在外力作用下,产生永久变形(指去掉外力后不能恢复原状的变形),但金属本身的完整性又不会被破坏的变形,称为塑性变形。
塑性的好坏通过伸长率、断面收缩率、屈服极限来表示。
塑性的好坏通过伸长率、断面收缩率、屈服极限来表示。
为了评定金属塑性的好坏,常用一种数值上的指标,称为塑性指标。
塑性指标是以钢材试样开始破坏瞬间的塑性变形量来表示,生产实际中,通常用以下几种方法:
拉伸试验用伸长率δ和断面收缩率ψ来表示。表示钢材试样在单向拉伸时的塑性变形能力,是金属材料标准中常用的塑性指标。δ和ψ的数值由以下公式确定:

式中:L0、Lk——拉伸试样原始标距、破坏后标距的长度。
它是将试样制成高度Ho为试样原始直径Do的1.5倍的圆柱形,然后在压力机上进行压扁,直到试样表面出现第1条肉眼可观察到的裂纹为止,这时的压缩程度εc为塑性指标。其数值按下式可计算出:

式中Ho——圆柱形试样的原始高度。Hk——试样在压扁中,在侧表面出现第1条肉眼可见裂纹时的试样高度。
扭转试验是以试样在扭断机上扭断时的扭转角或扭转圈数来表示的。生产中最常用的是拉伸试验和镦粗试验。
不管哪种试验方法,都是相对于某种特定的受力状态和变形条件的。
由此所得出的塑性指标,只是相对比较而言,仅说明某种金属在什么样的变形条件下塑性的好坏。
金属的塑性及变形抗力的概念:金属的塑性可理解为在外力作用下,金属能稳定地改变自己的形状而质点间的联系又不被破坏的能力。并将金属在变形时反作用于施加外力的工模具的力称为变形抗力。
影响金属塑性及变形抗力的主要因素包括以下几个方面:
金属组织决定于组成金属的化学成分,其主要元素的晶格类别,杂质的性质、数量及分布情况。组成元素越少,塑性越好。
碳在铁中呈固熔体也具有很好的塑性,而呈化合物,则塑性就降低。
如化合物Fe3C实际上是很脆的。一般在钢中其他元素成分的增加也会降低钢的塑性。
钢中随含碳量的增加,则钢的抗力指标(бb、бp、бs等)均增高,而塑性指标(ε、ψ等)均降低。在冷变形时,钢中含碳量每增加0.1%,其强度极限бs大约增加6~8kg/mm2。
硫在钢中以硫化铁、硫化锰存在。硫化铁具有脆性,硫化锰在压力加工过程中变成丝状得到拉长,因而使在与纤维垂直的横向上的机械指数降低。所以硫在钢中是有害的杂质,含量愈少愈好。
磷在钢中使变形抗力提高,塑性降低。含磷高于0.1%~0.2%的钢具有冷脆性。一般钢的含磷量控制在百分之零点零几。其他如低熔点杂质在金属基体的分布状态对塑性有很大影响。
总之,钢中的化学成分愈复杂,含量愈多,则对钢的抗力及塑性的影响也就愈大。这正说明某些高合金钢难于进行冷镦(压)加工的原因。

不应将变形速度与变形工具的运动速度混为一谈,也应将变形速度与变形体中质点的移动速度在概念上区别开来。
一般说来,随着变形速度增加,变形抗力增加,塑性降低。
冷变形时,变形速度的影响不如热变形时显著,这是由于无硬化消除的过程。
但当变形速度特别大时,塑性变形产生的热(即热效应)不得失散本身温度升高会提高塑性、减少变形抗力。
在外力作用下,金属内部产生内力,其单位面积之强度称之为应力。受力金属处于应力状态下。
从变形体内分离出一个微小基元正方体,在所取的正方体上,作用有未知大小但已知方向的应力,把这种表示点上主应力个数及其符号的简图叫主应力图。
表示金属受力状态的主应力图共有九种,其中四个为三向主应力图,三个为平面主应力图,两个为单向主应力图,如图36-1所示。

主应力由拉应力引起的为正号,主应力由压应力引起的为负号。
在金属压力加工中,最常遇到的是同号及异号的三向主应力图。在异号三向主应力图中,又以具有两个压应力和一个拉应力的主应力图为最普遍。
同号的三向压应力图中,各方向的压应力均相等时(б1=б2=б3),并且,金属内部没有疏松及其它缺陷的条件下,理论上是不可产生塑性变形的,只有弹性变形产生。
不等的三向压应力图包括的变形工艺有:体积模锻、镦粗、闭式冲孔、正反挤压、板材及型材轧制等。
在生产实际中很少迂到三向拉伸应力图,仅在拉伸试验中,当产生缩颈时,在缩颈处的应力线,是三向拉伸的主应力图,如图36-2所示。
在镦粗时,由于摩擦的作用,也呈现出三向压应力图,如图36-3所示。
总之,受力金属的应力状态中,压应力有利于塑性的增加,拉应力将降低金属的塑性。

在镦粗时,由于摩擦的作用,也呈现出三向压应力图,如图36-3所示。
总之,受力金属的应力状态中,压应力有利于塑性的增加,拉应力将降低金属的塑性。
金属经过冷塑性变形,引起金属的机械性能、物理性能及化学性能的改变。
随着变形程度的增加,所有的强度指标(弹性极限、比例极限、流动极限及强度极限)都有所提高,硬度亦有所提高;塑性指标(伸长率、断面收缩率及冲击韧性)则有所降低;电阻增加;抗腐蚀性及导热性能降低,并改变了金属的磁性等等,在塑性变形中,金属的这些性质变化的总和称作冷变形硬化,简称硬化。
在变形金属中应力分布是不均匀的,在应力分布较多的地方希望获得较大的变形,在应力分布较少的地方希望获得较小的变形。
由于承受变形金属本身的完整性,就在其内部产生相互平衡的内力,即所谓附加应力。当变形终止后,这些彼此平衡的应力便存在变形体内部,构成残余应力,影响以后变形工序中变形金属的塑性和变形抗力。
针对影响金属塑性及变形抗力的主要因素,结合生产实际,采取有效的工艺措施,是完全可以提高金属塑性及降低其变形抗力的,生产中,常采取的工艺措施有:
冷镦用原材料,除了要求化学成份、组织均匀,不要有金属夹杂等以外,一般要对原材料进行软化退火处理,目的在于消除金属轧制时残留在金属内部的残余应力,使组织均匀,降低硬度,要求冷镦前金属的硬度HRB≤80。
对中碳钢,合金钢一般采取球化退火,目的是除消除应力、使组织均匀外,还可改善金属的冷变形塑性。
这两项措施都是为了降低变形体与模具工作表面的摩擦力,尽可能降低变形中由于摩擦而产生的拉应力。
在冷镦(挤)工艺中,一次就镦击成形的产品很少,一般都要经过两次及两次以上的镦击。
因此必须做到每次变形量的合理分配,这不仅有利于充分利用金属的冷变形塑性,也有利于金属的成形。
如生产中采用冷镦、冷挤复合成形、螺栓的两次缩径、螺母的大料小变形等。
金属在变形中,变形体的质点有向各方向移动的可能,变形体质点的移动是沿其最小阻力方向移动,称为最小阻力定律。
在六角头螺栓多工位冷镦中,第二工位精镦时,金属向上、下模开口处流动并形成飞边是最小阻力定律起作用的体现。
图36-4表明坯件在模具中镦锻时,它在充满上、下模腔的同时还向上、下模构成的间隙向四周流,只有当往飞边流动的阻力大于在模腔其它部分的阻力时,金属充满模腔才有可能。
在上模向下运动中,飞边上金属流动阻力随飞边厚度的减小而增加,这时才能保证最后充满上、下模腔。

金属塑性变形中,其密度改变极为微小,可以忽略。塑性变形的物体之体积保持不变,金属坯件在塑性变形以前的体积等于变形后的体积。
体积不变定律是根据产品形状尺寸、计算出体积,据此再确定所需坯件的具体尺寸。
最小阻力定律则是金属变形次数如何确定,每次变形量如何分配、工模具结构形状确定的设计最主要的依据。
在变形中模具和坯件间的接触面上不可避免的有摩擦力存在,由于摩擦力的作用,改变了金属流动的特征。
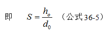
如图36-5所示,在平板间镦粗矩形坏料时,由于摩擦力的作用,使各向阻力不同,变形中,断面不能继续保持矩形。
按最小阻力定律,它会逐渐趋于圆形。若无摩擦力作用,则坯件处于理想的均匀变形状态,变形前后在几何形状上仍然相似。

当无摩擦时,环形件在高度上被压缩,根据体积不变条件,不论是外层还是内层,金属的直径都有所增加,即所有金属都沿径向辐射状向外流动。由于有摩擦的存在,流动受到阻碍。
越接近内层金属向外流动的阻力越大,比向内流动时还要大,因而改变了流动的方向,如图所示,在环形件中出现了流动的分界面(dN)。
由于工模具形状不同,所施加给坯件的作用力,以及模具与坯件接触的摩擦力也不一样,引致金属在各方向流动阻力的差异,从而金属在各方向流动体积的分配也有所差异。
金属本身的性质不均,反映出金属成份的不均、组织不均、以及在变形中内部温度的不均等。
这些性质的不均匀性,在金属内部出现互相平衡的附加应力,由于内力的存在,使金属在各自流动的阻力有所差异,变形首先发生在阻力最小的部分。