汽车试验:汽车整车大气暴露试验方法及流程

如今,在清洁能源汽车、智能网联汽车等新技术不断发展、消费者对汽车品质的追求不断提高的形势下,中国汽车行业对更精确、站位更高、更具普适性的大气暴露试验标准有着迫切的需求。因此汽车整车大气暴露试验是必不可少的。
汽车是露天行驶的交通工具,在任何环境条件下使用都将受到各种环境气候因素和大气腐蚀介质的综合作用而发生老化腐蚀和损坏,因此,选择典型的,有代表性的环境开展大气暴露试验,可达到事半功倍的效果。
大气暴露试验一种自然环境试验,它是将非包装状态的产品暴露在自然环境中,在规定的时间内直接经受自然环境因素的综合作用,评价该产品的环境适应性。
汽车试验:汽车整车大气暴露试验方法及流程的图1

汽车整车大气暴露试验方法及流程
一、试验简介
汽车整车大气暴露试验是将样车置于能代表某一气候类型区域的自然大气环境条件下进行暴露试验,让其经受阳光、热、水、汽、雨水、氧、臭氧及其他环境因素的综合作用。按规定的暴露试验期限,定期检测样车用非金属材料制
品的外观和其他性能、金属材料制品的腐蚀情况和功能件的操作情况,从而评价样车耐自然环境大气老化、大气腐蚀性能及操作使用功能。

二、试验条件
1、暴露场地要求
1)暴露场地应选择在能代表某种气候类型的自然环境或样车实际使用的环境区域内。
注1:根据气候条件,我国的气候可分为14个气候带。
注2:特殊需要的工业暴露场设在厂矿密集区内;盐雾气候暴露场设在空气盐分浓的海边或海岛上。
2)标准暴露场地应平坦空旷,不积水,远离建筑物和树木,周围障碍物与场地边沿的距离应不小于该障碍物高度的3倍;场地附近应无工厂烟囱、通风口或其他能散发大量腐蚀气体和杂质的设施;场地应保持当地的自然植被状态,植物高度不应超过200mm。
注:为了适应特殊的测试目的,也可采用水泥地面,并在报告中注明。
2、暴露场设备要求
暴露场内或邻近应设置气象要素观测和大气介质分析设备,以长期连续观测记录主要的气象要素和定期测定周围环境的大气成分。暴露场内除通用气象设备外,应有不同角度(5°、45°、90°、当地纬度)的玻璃下和直接的太阳辐射能量接收装置,宜采用汽车用平板玻璃。
注:角度是指传感器平面与地面的夹角。
3、测试环境
1)外观目测环境:
一般情况下,应采用自然日光,宜采用北半球多云的北空昼光或南半球多云的南空昼光(即从日出3h后至日落3h前,避开太阳光直射的天空光),且应没有彩色物体的反射光,如红砖墙或绿树的反射光。 特殊要求时,整车外观的目测评价应使用受严格控制的人造光源,观察者应穿中性色衣服,在视场中,除试样外不应存在其他彩色物体。 试验室人造光源照明条件与观察者条件应符合GB/T9761的规定。 整个试验过程中应使用同一种光源,其他条件也宜尽可能一致。
2)车内空气有害物质采样环境条件
车内空气有害物质的采样宜选择在白天晴朗天气环境下进行。
汽车试验:汽车整车大气暴露试验方法及流程的图2

三、试验样品
1)样车
样车应为按出厂标准装配齐全的新车,使用说明书及零部件目录若有时也应提供,并且试验前及试验过程中样车不应挪作它用。
2)标准样件
标准样件宜与样车装配为同一批次零部件。
3)标准样件贮存
标准样件应贮存在空气温度为23℃士2℃、相对湿度为50%士5%、气压为86kPa~106kPa的环境条件中的避光处。贮存环境应保持清新、干净,无任何污染物质存在。

四、暴露期限与检测周期
1、暴露期限设定方法
1)暴露期限可选择以时间(如月、年) 、主要部件表面接收的太阳总辐射量或TNR达到规定的某一
限值、试样性能变化(如失光、变色等破坏程度)达到规定的某一限值进行设定。
2)若无特殊要求,以时间进行设定时,暴露期限一般不少于1年。
2、暴露期限的表示
1)以时间为期限时,以日、月及年为单位。
2)以太阳总辐射量或TNR为期限时, 以MJ/m²为单位, 应明确记录暴露开始的日期及结束日期。
注:如无特殊规定,以太阳总辐射表接收器平面朝正南方、在偏离水平面45°的汽车用平板玻璃下测定出的太阳总辐射量作为样车接收的太阳辐射能量来确定期限。
3)以样车性能变化为期限时,以达到所规定的老化级别为单位,应明确记录暴露开始日期和结束日期以及样品所接收的太阳总辐射量与太阳紫外总辐射量。
3、暴露开始日期
根据暴露场地所处气候类型,暴露试验开始日期推荐为春末或是夏初,如边缘热带湿润型气候暴露试验宜以每年的3月或4月作为开始日期,中温带干旱性气候暴露试验宜以每年的5月或6月作为开始日期。
4、检测周期
1)样车在暴露前进行一次检测,按9.2的规定进行暴露后,在整个试验期限中,各种性能变化的检测周期为:新产品试验要求暴露初期三个月内,每半个月一次;三个月至一年内,每月一次;超过一年后,每三个月一次。 批量生产的鉴定或验收试验,检测的间隔时间可相对延长。 也可按试样表面接收一定的太阳总辐射量或TNR作为检测周期。 在试验过程中,对出现老化现象的部位应拍照记录。 拍照时要求注明标识和日期或在图片中做相应的编辑处理。
2)当天气骤变时,应随时检查,如有异常变化现象应做记录或拍照。
汽车试验:汽车整车大气暴露试验方法及流程的图3

五、试验流程
1. 试验准备
1)试验样车验收
新到试验样车应清洁、晾干,应检查装运损伤、装配缺陷与其他表面状态缺陷,做好原始记录,必要 时应拍照或摄像记录: 然后对试样进行试验处理,配备标准样件的贮存按规定进行。
2)测量位置的确定
A.进行光泽、颜色、鲜映性和涂层厚度测量的表面及部件总成,其测量位置应选择在最显眼、接收 太阳总辐射能量最多的平面上。 每次测量位置、方向顺序应保持一致,可用不褪色记号笔做出永久性标 记标识,以保证每次测量位置一致。
B. 部件温度测量点为在晴天阳光最强的时间段(如北京为12时~15时之间)在部件不同部位进 行多次测量的最高温度点。
C. 进行测量太阳总辐射量或TNR的部件, 其测量位置应选择接收太阳总辐射量尽可能多的 位置。
D. 进行划痕腐蚀、铅笔硬度和划格试验的涂层表面,其测量位置应选择在光泽、颜色、鲜映性和涂 层厚度测量位置的下部。
E. 光泽、颜色、鲜映性和涂层厚度的测量点位宜尽可能靠近或重叠。
3)划痕处理
样车投入试验时,应在确定的测量位置划出两条均为100mm长的相互垂直的“+”划痕,或者两条相互垂直而不交叉的划痕(X划痕与Y划痕)。划痕深度需要到达钣金层,并测出划痕的宽度。所有划痕的间距应不小于50mm,并且远离部件的边缘。垂直或接近垂直的车身板面上的X划痕应平行于地面;水平或接近水平的车身板面上的X划痕应垂直于车辆行驶方向。
4)温、湿度传感器安装
应按照9.1.2.2给出的要求确定温度测量点,并在相应位置安装温度传感器。软表面试样的温度传感器应安装在软表层/填充物叠层的分界面处,即刺穿软表层把温度传感器插入至少13mm并使其平行于表面,以确保温度感应点嵌入在分界面内;其他试样表面的温度传感器使用耐高温不透明粘合剂粘接,粘接面宜尽可能地小。 进行车内空气温度和相对湿度测量时,在确定的测量点上安装温、湿度传感器,安装的传感器应做遮光处理,不应密封。
5)太阳总辐射表安装
太阳总辐射表应安装在测量部件的测量点上,安装应牢固。
6)TNR测量设备安装
黑标温度传感器应安装在测量部件的测量点上,与之配套的太阳总辐射表应安装在对应的黑标温度传感器旁。
2. 投入试验
1)暴露方式
在北半球,样车的前风挡玻璃朝正南方向;在南半球,样车的前风挡玻璃朝正北方向。如无特殊要 求室外大气跟踪太阳暴露试验应选择样车前风挡玻璃朝向太阳直射位置。
注:对于室外大气静态暴露试验,为了适应特殊的试验目的,朝向可任意调整。
2)暴露状态
暴露试验时试验车之间的放置距离应不小于其相邻车辆高度的3倍,且通风自由、不相互遮挡阳光。 试验时所有车门、车窗和通风系统都应紧密关闭。 车内各部件宜调整到尽可能多地接受太阳辐射的使用状态。
注:驾驶员侧头枕调至上位,其他头枕调至下位;左遮阳板紧贴顶棚,右遮阳板放下;方向盘调到最高位置;中央扶手为放下(使用)位置;遮阳帘(如有)全部卷起,天窗(如有)遮阳板(帘)关闭3/4;收缩式衣帽架为打开状态;样车电瓶线为连接状态等。
对于燃油车辆,燃油加注量不应超过油箱容积的一半。
3、检测项目与方法
1)外观目测检查
根据试验计划选定的检测周期,在5.2规定的环境中,按附录A规定的整车外观检测内容进行各种 老化现象的目测检查。 检查时可采用5倍~10倍放大镜,对试样进行观察。
注:在试样清洁前,进行预观察,再进行渗析物、长霉、起霜等老化现象的目测检查。
2)光泽的测量
非金属涂层表面光泽按照GB/T9754确定的方法测量并记录;塑料表面光泽按照GB/T8807确定的方法测量并记录。整车装饰部件有纹理表面光泽的测量方法是在测量位置上任意标出0°位,然后从0°位开始依次顺时针旋转90°、180°和270°4个方向进行测量,读取每一测量方向的光泽数据,光泽测量几何角度的选择应符合GB/T9754或GB/T8807中的规定。
注:金属涂层表面光泽可按照GB/T9754进行,测量角度宜选用20°,测量值仅供参考使用,不能完全代表其光泽。
3)颜色与鲜映性(DOD的测量
涂层表面颜色的测量应符合GB/T11186.2中的规定,在标准照明体D。和观察者视域角为10°的视场下进行;塑料、橡胶表面颜色的测量应符合GB/T15596、GB/T3511中的规定。
4)涂层划痕腐蚀检测
观察划痕的腐蚀出现时间、状态及腐蚀产物,测量水平划痕(X)与垂直划痕(Y)两侧涂层区域的最大腐蚀点间垂直于原始划痕的距离,以mm为单位记录测量数据。也可以按照GB/T30789.9确定的方法进行测量。
5)涂层铅笔硬度检测
按照GB/T6739确定的手工操作法测定其铅笔硬度。
6)涂层划格检测
应符合GB/T9286中的规定。
7)涂层厚度检测
应符合GB/T13452.2中的规定。
8)样车操作检查
在暴露试验中, 样车每周应启动一次并空转40min, 每月在水泥混凝土或沥青铺装路面进行 150km的行驶。 启动或行驶之后,检查下列内容:
a)检查汽车操纵件、指示器及信号装置的功能是否正常;
b)检查各车门开启是否顺畅、是否有异响,门锁功能是否正常;
c)检查动力系统、悬挂系统及转向系统等各子系统工作是否正常。
9)车内空气有害物的采样与分析
应在晴朗天气的暴露试验状态下对样车车内空气进行采样。采样分为准备、密闭和样品采集三个阶段。在准备阶段,应打开所有车门,按照HJ/T400确定的方法设置采样点并布置好采样导管,静置不少于1h,准备阶段结束后进入密闭阶段;在密闭阶段,静置不少于4h,时间应能包含户外空气温度上升的主要时间段,整个过程应关闭所有车门及空调出风口,当车内空气温度达到最高点后进人样品采集阶段;在采集阶段,样品采集程序应符合HJ/T400中的规定。整个采样过程应详细记录各阶段的时间、户外空气温度、户外风速、车内空气温度、车内大气压力等参数。采样完成后,按照HJ/T400确定的方法进行样品处理和分析。
10)车体温度及车内空气温、湿度测量
进行暴露试验后应对选定的温、湿度测量点进行每天跟踪测量, 采样间隔应不大于5min。
11)TNR测量
进行暴露试验后应对选定的TNR测量点进行每天跟踪测量, 采样间隔应不大于5min。
12)检测项目的选择
根据试验的目的,可选择全部项目或部分项目进行检测。
4、环境因素测量
按照GB/T3681确定的方法测量并记录所有的气象条件因素和会影响试验结果的大气环境因素。
每天测量并记录的气象因素至少包括以下内容:
a)气温(℃);
b)相对湿度(%);
c)降雨量(mm);
d)湿润时间(h);
e)太阳总辐射量(MJ/m²);
f)太阳紫外总辐射量(MJ/m²);
g)其他(如风向、风速、大气压力等)。
汽车试验:汽车整车大气暴露试验方法及流程的图4


六、数据处理

1、涂层外观老化
1)失光率
按公式(1)计算出其在各暴露阶段的光泽损失率即失光率(%)。
汽车试验:汽车整车大气暴露试验方法及流程的图5
2)色差与鲜映性值变化率
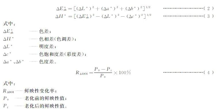
按公式(2) 计算其在各暴露阶段的色差AEA值, 根据需要也可以按公式(3) 计算其在各个暴露阶段的色相差△H·值;测量点位鲜映性值在各暴露阶段的变化率(%)按公式(4)计算。

汽车试验:汽车整车大气暴露试验方法及流程的图6
3)外观目测结果
按照GB/T1766确定的方法对粉化、变色、失光、裂纹、长霉、沾污、斑点、生锈、泛金、脱落、起泡等 外观老化现象进行等级评定。 其他未确定方法的目测结果按照A.3有关规定进行。
4)划痕腐蚀检测结果
划痕涂层区域最大腐蚀宽度按公式(5)、公式(6)计算:
汽车试验:汽车整车大气暴露试验方法及流程的图7
式中:
hy、hx——垂直和水平划痕的最大腐蚀宽度,单位为毫米(mm);
y、x——垂直和水平划痕两侧涂层区域最大腐蚀点间的垂直距离,单位为毫米(mm);
yo、to——垂直和水平痕划口原始宽度,单位为毫米(mm)。
2、橡胶、塑料、人造革纤维和纺织品等外观老化结果
光滑表面的失光率按公式(1)计算, 目测结果按照GB/T250确定的方法表示; 其他外观老化现象,按附录A的有关规定表示。
汽车试验:汽车整车大气暴露试验方法及流程的图8
3、整车使用操作检测结果
对功能件的破坏程度推荐用“轻微、中等、严重与完全失效”等术语描述。
4、整车车体温度测量结果
绘制每个测量点的月/年最高(低)温度曲线与车体空气的月/年最高(低)温、湿度曲线。对于温度数据也可统计整个暴露试验过程中每个测量点积热的最大温度值,以摄氏度(℃)表示。
5、测量结果
根据测量的黑标温度和太阳总辐射量按公式(8)计算。
汽车试验:汽车整车大气暴露试验方法及流程的图9

式中:
TNR——温度校正太阳总辐射量,单位为兆焦每平方米(MJ/m²);
R——测量点的太阳总辐射量,单位为兆焦每平方米(MJ/m²);
T——测量点的黑标温度,单位为摄氏度(℃)。

七、结果评价
1. 涂层外观性能老化评定
根据试验结果,按照GB/T1766确定的方法进行外观性能老化等级的评定。划痕腐蚀、硬度、划格 试验等试验结果应按有关规定进行等级评定。
2. 橡胶、塑料、人造革纤维和方织品等外观老化评定
根据试验结果,橡胶按照GB/T3511、塑料按照GB/T15596、纺织品按照GB/T250确定的方法进行外观性能老化等级的评定,其他未确定方法的试验结果按照附录A进行外观性能老化等级的评定。
汽车试验:汽车整车大气暴露试验方法及流程的图10


八、试验报告

试验报告应至少包含以下内容:
a)试验样车必要的全部细节;
b)注明本文件编号;
c)试验项目及采用的方法;
d)试验用仪器设备信息;
e)试验条件,包含暴露的方式、暴露场地信息及试验期间主要气象环境参数(若有行驶试验,还应说明行驶道路信息、行驶里程及行驶时间等信息);
f)暴露期限、检测周期相关信息及暴露开始时间和结束时间;
g)试验结果。

九、结语
汽车整车大气暴露试验,在产品的设计-研发-投产阶段均体现出重要的参考作用,大气暴露试验的环境很残酷,相信随着时间和技术的积累,国产汽车也会越来越好,在大家的努力下,我们努力创造中国汽车的未来!
登录后免费查看全文
立即登录
App下载
技术邻APP
工程师必备
  • 项目客服
  • 培训客服
  • 平台客服

TOP