纯电动物流车动力系数参数匹配设计
电动汽车对降低环境污染与节省燃料方面有至关重要的作用。随着电子商务的迅速发展,物流车在交通运输中的占比日益增大,因此纯电动物流车引起了较多学者的关注。
本文主要基于纯电动物流车的动力性,对电机、变速器、电池的主要参数进行匹配。结合工程实际,引入了安全系数,为纯电动物流车的动力系统参数匹配提供了一种有效的方法。
2 纯电动物流车结构分析
纯电动物流车的动力传动部分主要基于传统车的底盘平台开发所建,其核心是将蓄电池和电动机相结合作为动力源来代替了发动机。这样纯电动物流车以蓄电池和充电系统作为能源系统,变速器和电动机作为驱动系统,构成了纯电动汽车动力传动的核心部分,简化了汽车的传动系统与动力传动路线。本文以某款纯电动物流车开发为例,其整车基本参数如表1[6],所设计的整车性能参数如表2。根据动力性能指标结合工程实际,来确定驱动电机、传动系统传动比、动力电池的参数,从而提供一种可用于工程实际的有效设计方法。
表1 整车基本参数表
表2 整车设计性能指标数表
3 纯电动汽车电机参数的选择
3.1 电机最大功率的匹配
汽车的动力性在一定程度上取决于所输出的功率,不同的工况所依赖的功率取值不同。而汽车的最高车速、最大爬坡度、加速时间可以表征汽车的动力性[7]。因此,用以这三个参数可以确定电动机的最大功率。
当汽车在水平路面上以最高车速行驶,在考虑空气阻力的条件下,其最大输出功率应该满足下式:
(1)
式中umax为最高车速;ηT=96%动力传动系统效率;m为汽车总质量;g=10为重力加速度;f为滚动阻力系数、CD为空气阻力系数;A为迎风面积。
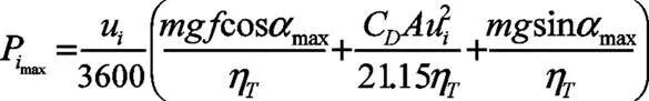
当汽车以恒定速度爬坡时,其输出功率应该满足最大爬坡度,即下式成立:
(2)
式中ui为汽车爬坡时的车速,amax为最大爬坡角。
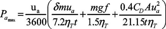
当汽车以较高车速进行超车时,所需要的加速时间越短,表明汽车的动力性越好。因此,汽车所输出的最大功率应满足超车工况的加速时间。
(3)
式中ua为加速末时的车速,δ为旋转质量换算系数,一般取值为1.05,t为加速时间。
综合以上工况,电动机的最大输出功率应该满足以上三种工况,因此应取其最大值,即:
(4)
在实际工程中,为防止电机过载运转,引入安全系数λ1,这样可得理想的最大峰值功率为:
(5)
式中λ1的取值为1~1.1。由以上分析可得以下匹配参数,如表3所示。
表3 纯电动物流功率参数匹配表
3.2 传动比的匹配
以往的纯电动物流车较多采用一个固定档位,这不利用车辆在多种工况下行驶。因此,开发具有两档变速器的物流车成为研究热点。多个档位应该在合理的参数匹配范围内。本文基于表4的数据,给出传动比参数匹配方法如下:
表4 电动机参数表
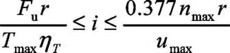
参考文献[3]的研究成果,其传动比的取值可分别由式(6)确定。
(6)
式中i为变速器传动比,nmax为最大转速,为r车轮半径,Fu为车辆受到的最大行驶阻力,Tmax为电动机输出的最大转矩。由以上分析可得以下匹配参数,如表5所示。
表5 纯电动物流传动比参数匹配表
3.3 动力电池的匹配
动力电池是纯电动物流车的能源装置,其电量的多少决定了续航里程,由根据峰值功率决定的电池最大放电功率模型。[5]
(7)
Pbmax为动力电池的最大放电功率;Pemax为电机峰值功率;Pimax为电动附件峰值功率;ηb为动力电池放电效率。将电机峰值功率170.07kw,结合文献[4],可得ηb=94%,Pimin取值为6.2kw,这样可得动力电池的最大放电功率为187.73kw。
在实车应用,为满足有效的续航里程,引入安全系数λ2,这样可得理想的动力电池功率的取值范围为:
(8)
式中λ2的取值一般为1~1.1。这样可得动力电池的放电功率其取值范围为表6。
表6 动力电池参数匹配表
4 结束语
本文基于纯电动物流车的组成部分,对电机、变速器、电池的参数进行了匹配。从动力性的角度分析了所确定参数应该满足的取值范围,将工程余量引入到参数匹配中,确定了相应的安全系数,使所设计的参数不仅满足车辆动力性的理论需要,更能符合工程实际,为纯电动物流车的动力系统参数匹配提供了一种有效的方法。
工程师必备
- 项目客服
- 培训客服
- 平台客服
TOP




















