ABAQUS显隐式(与LS-DYNA比较)
显式和隐式求解方法是有限元中最为关键的知识,对于初学者,可能对其内在的含义还是理解不够,只是记着“大变形用显式,线性小变形用隐式”这样的一般性结论,若是能对显式和隐式有更深层的理解,对于有限元内在的求解方式将会掌握更好。
ABAQUS和LS-DYNA都可以进行显式和隐式求解,不同的是,ABAQUS更擅长隐式求解,而LS-DYNA显式求解更强,至于强在何处,就是另外的话了,这里主要是介绍下显式和隐式的含义。
图 1:ABAQUS隐式设置
图 2:LS-DYNA隐式设置
隐式求解的特点是利用迭代的方法求解下个增量步的未知量,即对于一个问题,隐式是将其看作一个整体,进行矩阵的计算,迭代方法一般为Newton-Rapson法,这种可以比作“鲸吞”,因此,隐式求解没有条件稳定,任何大小的时间增量皆可让结果在一定范围内,但由于采用的是迭代的方法,因此有计算收敛性问题。
图 3:显式和隐式求解增量及求解过程 [江*]
2、区别
图 4:显式和隐式求解区别
3、显式质量缩放:
上面显隐式各自的特点会发现:显式求解的高精度往往依赖于极小的时间增量,这类似于数学中的积分,自变量划分的越小,积分结果越精确,这自然产生了一个问题,想得到可用的结果,什么样的时间增量是可行的呢?
其实,ABAQUS和LS-DYNA中都能根据求解模型选择自动时间增量,软件已经帮你计算时间增量,直接求解即可,可是当模型很大时,或者模型某些位置的网格很小,软件得到的自动时间增量会非常小,显式求解的速度会非常慢,那有什么办法解决呢?这里就涉及到显式求解时间增量的由来了。
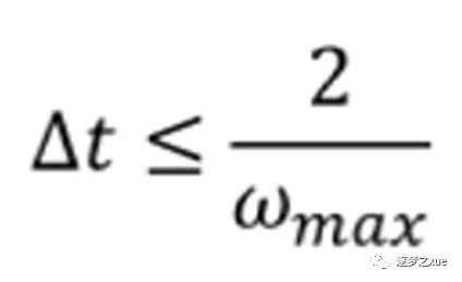
在显式求解中,求解稳定时间增量和系统的最高自然频率有关,系统没有阻尼时,稳定极限定义为:
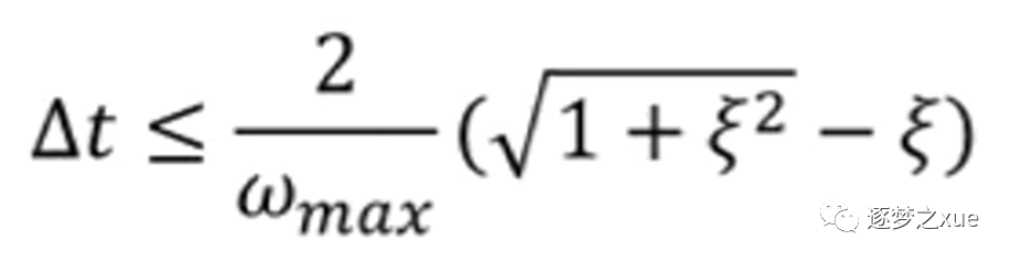
有阻尼时稳定极限定义为:
是最高频率模态的临界阻尼部分。可以证明,以逐个单元为基础确定的最高单元频率总是高于有限元组合模型的最高频率。因此,基于单个单元的估算,稳定极限可以用单元长度L和材料波速c重新定义:
因此,单元长度L越小,材料刚度E越大,密度越小,稳定极限越小。通常软件估算得到的稳定极限就是根据上面的公式而来。
知道了自动时间增量原理,如果模型太大或者某些网格很小时,就可以人为的增大时间增量来加快求解速度,这就叫做质量缩放(质量加速)。
4、质量缩放方法
LS-DYNA中的质量缩放通过关键字*CONTROL_TIMESTEP里参数DT2MS实现,设置DT2MS为正值和负值来控制是对整个模型进行质量缩放还是对某些特定的单元进行缩放,详细的之前在前面的文章中介绍过。
LS DYNA质量缩放
Xue Hao,公众号:逐梦之xueLS DYNA质量缩放
那么,这个人为给定的值该如何设置呢?我们上面已经讲过,当模型材料确定后,时间增量只和单元尺寸有关,我们参考原始模型的时间增量进行设置即可,ABAQUS有两种方法可以自动获取单元的时间增量,
第一是划分完网格后,在mesh模块中,选择verify mesh(检查单元),可以选择想要查看时间增量的单元或部件,勾选stable time increment less than选项,点击高亮,就可以在下面信息面板中看到关于选中单元的时间增量信息,如下图所示,我们根据这个时间增量值可以在分析步中进行质量缩放设置。
第二种方法是全部设置完成后,在Job模块进行data check,此操作只会进行前处理、模型方面的检查,并没有进行计算,然后在monitor里的status file我们可以看稳定时间增量的信息,一般ABAQUS会给定模型中10个时间增量最小的单元的信息,结合这个值再返回分析步进行设置即可。
5、质量缩放标准:
图 10:ABAQUS双精度开放
或不爱
爱
仿
真
分享
收藏
点赞
在看
工程师必备
- 项目客服
- 培训客服
- 平台客服
TOP




















