塑胶的结构设计:加强筋篇(上)
2022年3月17日 11:21一、加强筋的含义:
加强筋:又称加强肋、肋骨,模具行业上俗称骨位,是产品(特别是塑胶制品)用来提高制品整体或局部刚度(强度)上的一种功能结构。
二、加强筋的作用:
1、加强作用:这是加强筋的核心作用,主要是增加塑胶制品的刚度,减少塑胶制品变形的程度;同时也可以增加某些结构的强度,如螺丝柱。
2、导流作用:加强筋可充当内部流道,有助模腔充填,对帮助塑脂流入制品的支节部分起到很大的作用。
三、加强筋的设计:
一提到加强筋,相信各位从事机械结构设计行业的攻城狮们都或多或少了解,从外形上看,它比其他大部分功能结构要简单得多,同时,由于加强筋很多时候一般不直接参与装配设计,很多攻城狮们对于加强筋的设计都比较随意,顶多只是遵循以下几点被业界公认的行业经验。
提高塑胶件的刚度,应该通过添加加强筋的方式而不是单纯增加壁厚;
加强筋的厚度不宜太厚,否则塑胶件表面会产生凹陷(缩水)等缺陷;
加强筋的高度不宜太高,太高容易因困气而引起短射;
以上几点经验都说得没错,但是即使了解了,也不确保能设计出合适的结构,加强筋是一种让攻城狮们又爱又恨的功能结构,爱它的地方在于它能明显增强塑胶件的刚度,恨它的地方在于同时它会引起塑胶件表面的产生凹陷(缩水)等外观不良缺陷,凹陷一定会存在,只不过可以通过合理设计使得产生的凹陷肉眼分辨不出来。
那怎么设计加强筋呢,或者设计加强筋时需要考虑些什么呢?
加强筋设计的原则:
基于刚度原则
基于外观质量原则
基于加工工艺原则
01 基于刚度原则
上文已经提到,加强筋起到加强、导流、辅助等作用,导流、辅助作用很好理解,这里就不详细介绍,下面主要介绍的是加强筋是怎么对塑胶件的刚度起到加强作用的。
首先,我们需要了解什么叫做刚度,同时不要与强度混淆。
刚度:是指材料或结构在受力时抵抗弹性变形的能力,它是材料或结构弹性变形难易程度的表征。
强度:是指表示工程材料抵抗断裂和过度变形的力学性能之一。
它们之间的侧重点不同:
-
强度侧重于材料遭破坏的极限,超过了物体的强度,则物体就会被破坏。 刚度侧重于材料在某种条件下抵抗外界“破坏”的能力,变形后物体可以恢复。
因此,在表征塑胶件的变形程度时,我们更多提及的是刚度。
材料力学中,弹性模量与相应截面几何性质的乘积表示为各类刚度,如GI为扭转刚度,EI为弯曲刚度,EA为拉压刚度。
下面主要对塑胶件的弯曲刚度进行介绍,塑胶件的弯曲刚度可以通过梁的截面弯曲刚度EI来表征,梁的截面弯曲刚度EI等于弹性模量E和梁截面关于中性轴的惯性矩I的乘积。
由此可见,抗弯刚度包含E和I两个因素,即提高塑胶件的弹性模量E或塑胶件截面惯性矩I,都可提高塑胶件的弯曲刚度。
1、弹性模量
弹性模量可视为衡量材料产生弹性变形难易程度的指标,材料在弹性变形阶段,其应力和应变成正比例关系(即符合胡克定律),其比例系数称为弹性模量。其值越大,使材料发生一定弹性变形的应力也越大,即材料刚度越大,即在一定应力作用下,发生弹性变形越小。
弹性模量是材料的一个固有的特性,从宏观角度来说,是衡量物体抵抗弹性变形能力大小的尺度,从微观角度来说,则是原子、离子或分子之间键合强度的反映。
塑胶件的弹性变形,本质上就是分子链段的运动或内旋转,分子链段的运动或内旋转的难易程度可视为弹性模量的大小。
影响分子链段的运动或内旋转的因素有内因和外因,对这部分内容有兴趣的可点击链接阅读:塑胶材料篇:高分子的结构,影响着材料的诸多性能。
比如,主链含有芳环或杂环时,芳杂环不能内旋转,柔顺性较差,刚性强,弹性模量高。如PP0、PC,可作为工程塑胶。
如果主链全部由C-C单键组成的碳链高分子,则具有较大的柔性,刚性差,相应的弹性模量低,如PE、PP、乙丙橡胶(EMP)等。
以下为常用塑胶材料的弹性模量:
由上表可知,不同材料的弹性模量E值是不尽相同,但是大部分还是集中在2-3GPa之间,同时,玻纤、碳纤、矿物质填充的复合材料,其相对于单体的弹性模量增大不少,但增幅还是有限的。
图:某玻纤增强ABS性能表
鉴于此,增大塑胶件的刚度,应设法增大塑胶件截面惯性矩I值。下面介绍截面惯性矩是如何影响塑胶件的刚度的。
2、惯性矩的计算
把塑胶件简化成一根简支梁,在梁的上方施加力,梁在力的作用下发生弯曲变形。
中性轴与中性层
如果设想梁是由无数层纵向纤维组成的,由于横截面保持平面,说明纵向纤维从缩短到伸长是逐渐连续变化的,其中必定有一个既不缩短也不伸长的中性层(不受压又不受拉)。中性层是梁上拉伸区与压缩区的分界面。中性层与横截面的交线,称为中性轴,如下图所示截面aabb中,cc为中性轴。
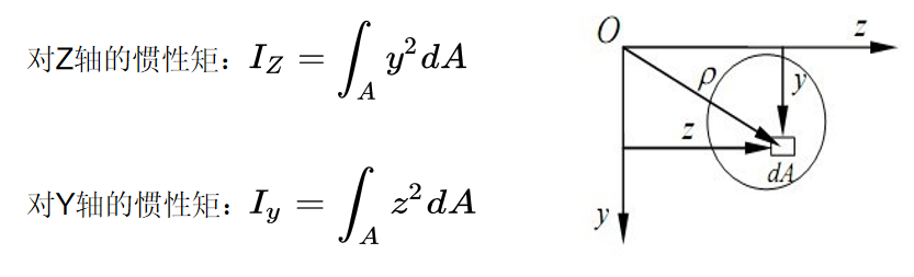
惯性矩:其物理意义是指截面抵抗弯曲的性质。结构设计和计算过程中,构件惯性矩I为截面各微元面积与至截面上指定轴线距离二次方乘积的积分。
注意:同一截面,对不同轴的惯性矩是不同的。
举例:假设有一截面,如下图,宽为b,厚为h,求截面对形心轴zc和yc的惯性矩。
由此可见,如果b不等于h,那么Izc不等于Iyc。同时如果改变厚度的值,惯性矩的变化就越大,这也是为什么增加塑胶件的壁厚,相应的刚度急剧增大的原因。
以上是矩形截面惯性矩的计算公式,如果是以下这种复合截面又怎么算呢?
计算过程:将基准线定在上面黄色矩形的上边沿上,因此,可以得到黄色矩形的形心C1离基准线的距离为 t1 ,而红色矩形的形心C2离基准线的距离为 t2。
组合截面形心C距离基准线的距离x为:
其中, t1 =h1/2,t2=h1+h2/2
组合截面的惯性矩:
其中,
假设,有一塑胶件,其截面宽b=30,厚h=2,如图,
由以上公式可计算出Izc=20,如果把厚度增加一倍(h=4),那么Izc=160。如果想在塑胶件上通过增加一加强筋,达到跟把厚度增加一倍时一样刚度,那么加强筋的尺寸怎么确定?(假定加强筋的宽度为1.5)
把已知参数带入以上公式,最后算得加强筋的高度h2=5.805。
至于计算过程,由于太过繁琐,其实可以通过Creo软件求取h2的值。下面演示下操作过程:
1)首先拉伸一实体,截面如下图:(先暂时把h2的值取为10)
2)选择“分析”-“横截面质量属性”,然后选择FRONT基准面。
3)此时会跳出“横截面属性”栏,按下图顺序选择“主惯性矩(最小)”作为特征参数供后续分析使用。
4)实际上,到这一步可以查看横截面的各种参数,比如可以看到目前截面的惯性矩为577,显然比目标值160大得多,此时加强筋的高度10偏大,但是不要紧,后面会调整。
5)建立敏感度分析,按下图步骤操作。
6)点击计算后,出来以下图形,通过调整XY轴的数值显示,可以看出来Y轴(惯性矩)在160时,对应的X轴(加强筋高度)接近6。(这一步主要是看加强筋高度值在什么范围)
7)建立可行性/优化分析,按下图步骤操作。
8)最后,点计算,模型自动调整加强筋的高度h2,图中已经被自动调整为5.805,可以看出,跟上面通过公式计算的结果是一样的。
通过对比双倍壁厚时的截面面积和只添加加强筋时的面积,很显然,通过添加加强筋的方式,在保证刚度的情况下会减轻整个塑胶件的重量,这是加强筋的优势之一。
如果是设置两条加强筋,通过优化,两条加强筋的高度减小到4.5,三条加强筋的高度减小到3.9,虽然比只有一根加强筋时高度降低了,但是减低的幅度不是太明显,这一点从惯性矩的公式中也可以看得出来,截面高度对惯性矩的影响很大。
但,在实际塑胶件结构设计中,加强筋的高度不宜设计太高,这点会在下篇介绍。
3、变形计算:
塑胶件的变形程度,也可以通过挠度表征,挠度一般指指梁、桁架等受弯构件在荷载作用下变形的位移量,通常指竖向方向(y轴)的,就是构件的竖向变形。
计算梁的变形(挠度和转角),关键在于确定挠曲线方程。
梁的挠曲线近似微分方程为:
由于推导过程比较繁琐,这里就不详细推导了,感兴趣的可以查资料,由于梁的类型很很多种(简支梁、外伸梁,悬臂梁等),不同的梁不同的受载荷情况相对应的具体挠曲线微分方程不同。
比如下图为一端固定,另一端受集中载荷的悬臂梁挠曲线方程、转角、最大挠度公式。
举例:还是以上面提到的梁,如下图,梁长度0.1mm,材料为PC(弹性模量为2.3GPa),截面距还是160mm4,一端固定,另一端施加10N的力,求最大挠度?
以下是通过公式计算的结果,最大挠度为9mm。
以下是通过软件仿真,结果为8.9mm,跟理论计算很接近,偏差0.1可能是网格划分问题,实际上对于复杂的模型,理论计算基本很难,还是需要靠软件计算解决。
4、减小变形的措施:
由梁的挠曲线方程可知,梁的变形除了与梁本身的刚度有关外,还与梁所受的弯矩有关,刚度与材料的弹性模量和截面距有关,而弯矩与梁的支承、荷载情况和跨长L有关,所以要减小梁的变形,除了提高梁本身的弹性模量外,还可以采取下列措施:
矩形截面的梁直立时比横放时具有较高的抗弯强度。
对于抗拉和抗压不相同的材料,如铸铁抗压>抗拉,塑胶抗拉>抗压,在选择横截面形状时,最好选择关于中性轴不对称的形状,如采用T形截面(上右图),同时使截面的中性轴偏于强度较弱的一边,从而使材料充分发挥作用。
END
工程师必备
- 项目客服
- 培训客服
- 平台客服
TOP




















