Simulink中4种电机建模方式
2022年4月7日 08:41浏览:2728 收藏:4
这里选择之前多次用到的直流电机模型,一是简单方便,二是具有代表性,因为所有的电机都可以简化为直流电机进行控制。
01
微分方程建模
02
传递函数建模
传递函数,用于描述线性系统输入与输出间的关系,对系统微分方程进行拉普拉斯变换后可得到。
这里把(U-Ke*φ*w)看成一个合并后的电压,因为传递函数只能描述单输入单输出系统之间的关系。
03
状态方程建模
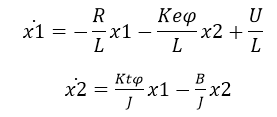
状态方程,描述系统状态变量与系统输入之间关系的一阶微分方程组。
输出方程,描述系统输出向量与系统状态向量和系统输入向量之间的函数关系式。
04
Simscape建模
由于Simscape中的电转机械模块中使用的反电动势系数和扭矩系数相同,所以模型中对运动学参数进行了同比例调整。
05
四种模型对比
技术邻APP
工程师必备
工程师必备
- 项目客服
- 培训客服
- 平台客服
TOP
4




















