《经典力学》札记
本文写作,有点模仿梅凤翔老先生的《分析力学及理论力学札记》的味道。他的文章在一些刊物上发表,我不这么做。这些短小的讨论,又类似周国平的著作。他的散文有个特点,即都是一些短小的类似格言一样的刊物。我写这些片段式讨论和总结,尽量做到言之有物。我希望这些可以作为经典力学教材的补充和总结。我的主要参考教材是Landau的《力学》和Arnold的《经典力学的数学方法》。札记指的是读书时摘记的要点和心得,故取名札记,是很合适的。
经典力学是理论力学或者理论物理的第一门课,学好经典力学是学好物理的关键。理论力学的思想——最小作用量原理等,会用在后续几乎所有的物理课程中。这门课有一条非常清晰的主线,即这个原理,理清这根脉络,是学好理论力学的根本。如果学好了,这门课的所有内容可以写在半页纸上。
如果按照内容来分,经典力学包括三个方面的内容,即拉格朗日力学、哈密顿力学以及经典力学的数学物理方法。目前绝大部分教材都按照这条主线来分,所以可以清楚地看到拉格朗日力学和哈密顿力学两个部分;但是有些教材则按照经典力学的主要运动形式和内容来分,比如朗道的《力学》等。这个比较容易理解,有些人喜欢把方法当作主线,而有些人把问题当作主线。此外,绝大部分教材不会讨论经典力学的数学方法,但是 Arnold 的经典教材《经典力学的数学方法》会介绍这些内容;这本书可能是这个方面最好的一本教材。经典力学的数学方法主要涉及的辛几何和辛代数(辛结构),在很多物理(尤其是几何部分)课程中都有用到。
牛顿运动方程以为基础,其中Fi 为力,它对应势能U=U(x1,x2,x3,⋯) 在xi 方向的梯度。这个方程在应用起来有一些明显的局限性。第一,它很难用来研究一些复杂的力学模型。这是因为在这些模型中,力和坐标等都不一定要有简单、直观的定义。这是因为在受限条件下,直角坐标不是一个很好的描述形式。第二,这个方程只适合在直角坐标系下求解,如果转到其它坐标系,比如球坐标、柱坐标,就会非常麻烦,比如我们不会有
,其中r 为球坐标的半径。此外,这个梯度∂rU 似乎也没有明显的意义。这个困难也可以从一些具体的计算问题中看出来,几个弹簧连接在一起的球的运动轨迹,斜面上滚动的小球,以及摆长可以变化的单摆的运动等。所以在一些有约束条件的系统中,利用牛顿运动方程,都是不好处理的。
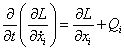
我们记L=T−U,它对应动能和势能的差,比如和U=U(x)。代入下面的方程(注意
和x 是完全独立的物理量)
这个拉格朗日方程可以直接给出牛顿运动方程,即。所以,拉格朗日方程和牛顿运动方程是完全等价的。这个方程包括两个部分,我们可以定义$p_i=\partial L/ \partial\dot{x}_i$(定义xi为坐标),那么pi 对应的是动量。这个动量对时间的导数,给出所谓的梯度力。所以,这个方程有明确的物理意义。这个新的公式有几个明显的优势。第一,它不需要明确给出力和加速度;第二,它对任何一个坐标都是成立的,比如假设xi=xi(q1,q2,⋯,qN,t)(这个函数是任意的), 那么我们可以证明
达朗贝尔原理说,对任意位移,都有
理论力学主要处理的模型包括:
散射问题,它直接用在原子物理中,即所谓的卢瑟福散射;
两体问题,比如太阳和地球的体系,并证明椭圆轨道(可以证明圆形轨道不可能是拉格朗日方程的解);
相互作用弹簧问题;
RLC和LC电路(这个模型说明很多非力学问题可以有类似的力学描述,以后很多问题都可以这样力学化。这是典型的类比法);
电磁场问题,其拉格朗日为
;
相对论问题,其哈密顿为
;
耗散问题;
刚体转动和角动量问题(了解欧拉的贡献,欧拉转动和欧拉角等;在量子力学中,出现角动量量子化和对易关系;了解角动量守恒);
小幅度振动问题和参数共振问题等。
所有这些问题都可以用拉格朗日方程描述。这些模型在量子力学中也有重要应用。
达朗贝尔 (1717~1783) 法国著名的物理学家、数学家和天文学家。他也是启蒙运动的重要人物,比如他和与当时著名哲学家狄德罗一起编纂了法国《百科全书》,并负责撰写数学与自然科学条目,是法国百科全书派的主要首领。他所处的时代,是法国启蒙运动时期,也是数学家云集的时期。在18-19世纪,法国和欧洲大陆出现了一批伟大的数学家和物理学家,包括欧拉、拉普拉斯、拉格朗日、伯努利、柯西、泊松、雅可比、高斯、阿佩尔 (Appel)、菲涅尔、阿拉果 (Arago)、傅立叶等。法国的数学从此崛起,直到今天,法国的数学研究依旧非常厉害。法国的数学传统,可以追溯到更早的笛卡尔、莱布尼茨和惠更斯等。这些科学家在波动光学方面也有重要贡献。法国对科学家的重视,可以体现在埃菲尔铁塔上的72人名,其中有很多伟大的数学家。
力学理论的建立,经历了几个重要的跳跃。首先,牛顿建立了牛顿方程F=ma;后来,拉格朗日根据达朗贝尔原理给出了一个微分方程的描述,它等价于牛顿方程;接着,哈密顿给出了哈密顿最小作用量原理以及哈密顿方程,这个方程给出了哈密顿力学的数学结构,即所谓的辛结构;接着,诺特 (Noether) 建立了对称和守恒之间的关系;最后,在20世纪初建立了经典场论,并最终完成量子场论的建立。这是主线,如果仔细研究这些历史,比如参考梅凤翔老先生的《力学史》,会看到每个重要的进步,其实都有许多人的贡献。一个小的进步,汇聚为最终的重要的进步。这个进步的规律和所有其它科学的进步规律是一样的。那种跳跃式的进步,在科学史上也许是罕见的,或者没有的。
耗散系统的拉格朗日方程一般写成
经典力学中有很多概念被用在其它领域,列举如下:
哈密顿方程和共轭对 (conjugate pairs)。在统计力学中,dU=pdV−TdS,那么V 和S 是共轭量。Maxwell 首先引入了这些概念。
最小作用量原理,在电磁学,相对论,量子场论等领域,都有广泛用到。
绝热定理,即I=∮pdq,这个量成了量子力学的核心概念,也是几何相的核心概念。
转动过程以及欧拉角在量子力学中对应的是Lx、Ly 和Lz 算子,以及量子态在Bloch 球上的转动。对于自旋,它对应Pauli 算子。
LC电路在量子力学和量子信息中可以量子化,并给出量子比特。
电磁场的拉格朗日量在量子场论中给出最小耦合 (minimal coupling) 的思想。
经典力学中的回旋运动,在量子力学中对应量子化的Landau 能级。
经典耗散被推广到量子耗散。
经典力学的泊松括号到量子力学的对易子;以及这个括号对应的Lie 群和Lie 代数等。
可以这样认为,经典力学中的每个概念,最后都在其它领域得到了广泛应用。所以上课的时候,应该对这些概念有所侧重。经典力学要教好,需要把概念讲清楚、讲透彻,而且要照顾到未来的需求。
工程师必备
- 项目客服
- 培训客服
- 平台客服
TOP




















