旋转机械故障诊断分析方法介绍
2022年10月11日 10:54旋转机械主要由轴、轴承、齿轮或叶轮等基本部件组成,因此,对应的故障特征和故障诊断也围绕这几个方面进行。从动力学角度分析,转子系统分为刚性转子和柔性转子。
刚性转子:转动频率低于转子一阶横向固有频率的转子为刚性转子,如电动机、中小型离心式风机等。
柔性转子:转动频率高于转子一阶横向固有频率的转子为柔性转子,如燃气轮机转子。
1.轴和轴系的主要故障形式
不平衡。轴的不平衡使其在旋转时产生一个不平衡力矩,激起周期振动,其振动频率为f=n/60Hz.
不对中。轴系安装不好、轴的弯曲以及相关部位的间隙等都将造成轴系对中不良,在运行中激起振动。两轴平行但轴线不重合、两轴线相交叉、两轴线空间交错等均属于对中不良。不对中将激起轴向振动,其振动频率为一阶转频;不对中同时会激起横向振动,其谐波成分有时较复杂,但常常主要表现为二阶转频的振动。
轴弯曲。轴的弯曲通常是由自重或安装不良引起的,其故障实质是与不对中一样的。同样会引起轴向的一阶转频的振动和横向的一阶及二阶转频的振动。
固接件松动。松动的原因常常是由于前几种故障造成的。固接件松动激起的故障振动信号频率为(0.3~0.5)f,f及高阶振动频率。
2.滚动轴承的主要故障形式
磨损。轴承在多尘或密封不可靠、润滑不良的条件下工作时,滚动体或套圈滚道易产生磨粒磨损。当磨损量较大时,轴承便产生游隙噪声,振动增大。
疲劳。滚动体和套圈滚道在交变接触应力作用下会发生表面接触疲劳点蚀,这是滚动轴承的主要失效形式。点蚀使轴承在运转中产生振动和噪声,回转精度降低且工作温度升高,使轴承丧失正常的工作能力。
塑性变形。在静载荷或冲击载荷作用下,滚动体和套圈滚道可能产生塑性变形,出现凹坑,由此导致摩擦增大、运动精度降低,使轴承产生剧烈的振动和噪声,不能正常工作。
3.齿轮的主要故障形式
据统计,齿轮的各种损伤发生概率如下:齿的断裂41%,齿面疲劳(点蚀、剥落)31%,齿面磨损10%,齿面划痕10%,其他故障如塑性变形、化学腐蚀、异物嵌入等8%。
4.振动加速度传感器选型
振动传感器选型主要考虑以下因素:a)量程:测点位置不同,在不同工况下的振动量级就不同,因而,选择的传感器应保证在测量工况上,该测量位置的振动值不过载。大多数情况下,轴承座的振动量级一般不会超过50g,但在其他一些测量位置,可能达200g,甚至500g。b)频响范围:频响范围是传感器用于测量的有效工作频带,如0.5-5KHz。根据关心的频带选择合适的频响范围。c)工作温度:某些齿轮结构在运转时,表面温度远大于常温,因此,测量时还应考虑温度的影响。d)安装空间:根据测点位置可用的空间大小来选择。e)其他:如重量、出线方式等等。
5.测点位置选择
振动测点位置的确定可根据同类系统的经验,预测振动最激烈的位置作为试验的测点位置。在选取合适的测点时,应考虑具体所测结构的布置和安装限制。通常,选择各轴的轴承座位置、输入输出的轴承座和关键点位置作为测量位置,宜使用三向加速度传感器进行测量。对于噪声测点,宜选取与被测结构相距1米处的位置作为噪声测点。
6.测量参数设置
一些国标对于振动烈度评判要求的频率范围为2-1000Hz,因此,采样时的分析带宽不能低于1000Hz。但在确定频率成分时,又存在高频成分,因而,在没有特殊要求的情况下,采样频率可使用12.8KHz,频率分辨率0.2Hz。由于人耳的听觉范围为20-20KHz,因此,噪声的分析带宽为20.48KHz,频率分辨率为1Hz。如果通过预试验测试,发现噪声的频率成分在某个频率以内,则噪声的分析频率可降低至该频率值。对于一些齿轮类旋转结构,有时要求分析频率包含5倍的啮合频率。
7.测量工况
由于齿轮结构档位较多,因此,测量工况可分为稳态工况和升降速工况,另外又分为空载和加载工况。对于稳态工况,齿轮结构在某一挡位以稳定转速运行。对于某些处于台架上的齿轮箱,特别是在进行加载时,是不允许人员靠近被测结构的,此时,测量时可连续采集,通过后处理来分析不同挡位的不同时段的时域信号。
8.测量周期
对于稳态工况(某一挡位下运行),在稳定运行后测量时间不用太长,如30s即可。对于升降速工况,测量周期应包含完整的升速和降速阶段。
9.转速测量
在振动噪声测量的同时,可测量输入端的转速。如果后续还有扭振测量要求,可与振动噪声同时测量,即使是稳定转速,也可同时测量转速。如果还有其他位置的扭振需要测量,也可同时测量,但是,对于扭振测量,要求每转脉冲数(PPR)不低于关心的最高阶次的2倍。
对于旋转机械而言,以输入转速作为参考转速,在测量之前应计算相应各个传动部件的传动比,计算相应的特征频率或阶次。
10.传动比计算
对于定轴齿轮,一对啮合齿轮的传动比i=Z2/Z1;对于定轴轮系,其传动比为各从动轮齿数连乘积/各主动轮齿数的连乘积;但对于齿轮的故障诊断而言,应求出定轴轮系中各对齿轮对的传动比,这样方便求出各对齿轮对的啮合频率,以确定故障到底发生在哪对齿轮。
对于单排行星齿轮,设太阳轮转速n1,齿圈转速n2,行星架转速n3,齿圈与太阳轮齿数比a。
A.齿圈固定,太阳轮为主动轮,行星架为被动件,则传动比为1+a;
B.太阳轮固定,行星架为主动件,齿圈为被动件,则传动比为a/(1+a);
C.行星架固定,太阳轮为主动件,齿圈为被动件,则传动比为a;
D.联锁行星齿轮机构的任意两个元件,则传动比为1.
11.特征频率计算
特征频率包括轴的转动频率、齿轮对的啮合频率及谐频。每一挡位下啮合的齿轮会不同,因此,需要计算测量挡位下的特征频率。
旋转轴的转动频率(轴频)为fr=n/60(Hz) ,其谐振频率为2fr,3fr,…
定轴齿轮啮合频率为轴的转频乘以轴上齿轮齿数,一对齿轮的啮合频率相同。
对于行星齿轮,常见的情况分为以下几种:
固定齿圈的行星齿轮,其啮合频率=输入太阳轮齿数*(太阳轮的转速±行星架的回转速度)/60;
固定太阳轮,其啮合频率=齿圈齿数*(齿圈的转速±行星架的回转速度)/60;
当行星架与输入齿轮转向相反时取正,否则取负。
联锁输出,齿轮不啮合。
简单算法:行星架转速*内齿圈齿数 ,只要行星架动,相应的啮合频率就是行星架转速*固定的那个齿轮的齿数/60。
12.滚珠轴承特征频率(外圈固定,内圈旋转)
轴承转子直径d、节圆直径D、滚珠数目Z、接触角β,及转速ƒ0,轴转速n,以下列出了轴承有缺陷时可能出现的各种频率。
(1)轴转动频率(内圈旋转频率)ƒ0:ƒ0=n/60Hz
(2)保持架旋转频率(外圈静止时保持架的转动频率;也是内圈静止时,保持架与外圈之间的相对旋转频率)ƒ1:
(3)保持架过内圈频率(内圈静止时保持架的转动频率;也是外圈静止时,保持架与内圈之间的相对旋转频率)ƒ2:
(4)滚动体自转频率ƒ3:
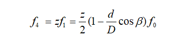
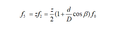
(5)滚动体通过外圈频率(滚动体在静止外圈上的通过频率)ƒ4:
(6)滚动体通过内圈频率(滚动体在静止内圈上的通过频率)ƒ5:
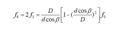
(7)滚动体上固定一点与内外圈之间的接触频率ƒ6:
如果内圈滚道有故障,如内圈剥落、凹痕、不平衡等,应在振动信号中找到ƒ5;若外圈滚道有故障,如内圈剥落、凹痕、不平衡等,在振动信号中会发现有ƒ4的频率;若钢球剥落,因其自转一次将通过内、外圈各一次,其故障频率为ƒ6。
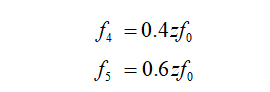
一般情况,对于止推轴承,接触角为0,d/D≈0.2,因此,可给出外圈ƒ4和内圈ƒ5的经验公式
以上给出的是故障激励的基频。滚珠通过故障激起的是周期冲击,它不是单一的简谐振动,在频谱图上表现为一定形式的离散谱线簇。
13.特征阶次计算
轴:输入轴为1阶,其他各轴的阶次为1/相对于输入轴的传动比;
齿轮:各级齿轮输入轴的阶次乘以齿轮齿数。
注意:由于传动比不为整数,因此,各阶次不再是整数阶次。
14.时域单值统计
对全程时域波形和包络时域波形做单值统计,统计其最大值、最小值、平均值、有效值等参量。
15.峭度分析
峭度指标反映振动信号中的冲击特征。峭度指标
峭度指标对信号中的冲击特征很敏感,正常情况下应该其值在3左右,如果这个值接近4或超过4,则说明机械的运动状况中存在冲击性振动。一般情况下是间隙过大、滑动副表面存在破碎等原因。
16.倍频程分析
对噪声信号进行1/3倍频程分析,分析声压级量级,同时注意各个中心频率处的量级,如果某中心频率处对应的量级比相邻两频率处的平均值高出6dB(可能不同公司对此要求不同),可以认为该中心频率处存在纯音(单频音)。
17.纯音分析
对噪声信号进行FFT分析,分析其特征频率,可以发现,这些特征频率主要为齿轮的啮合频率,同时也验证上一步1/3倍频程中的纯音成分。
18.频谱分析
对振动信号进行FFT分析,分析其主要的频率成分。这些频率主要包括两部分,一为齿轮的啮合频率,另外为结构固有频率。因此,在分析之前计算出各齿轮对的轴频和啮合频率是十分必要的。在对信号进行FFT分析时,如果频率分辨率足够好,可以看出频谱图中的啮合频率或其倍频两侧存在边频带。
19.振动烈度分析
振动烈度是指在机组测点上测得的3个正交方向上振动信号有效值的向量和的模。它是衡量机组振动强弱的指标,可以用来评价隔振后机组振动是否满足规定的要求,实际上它反映的是测点上机组振动能量的大小。振动烈度是衡量齿轮箱在实际运行过程中振动强弱的指标。根据最相关国标要求,对于功率大于100KW的机器必须测量位移、速度和加速度在2Hz~1000Hz范围内的综合(宽频带)均方根值,并求出在主结构上所测各位移、速度和加速度最大综合均方根值时的振动烈度,这三个等级中的最大值就是评定机器振动烈度等级的量标。这些数值可用单个传感器测得,其信号经过处理后求出非直接测量的量。在2-10Hz内用位移描述,10-250Hz以内用速度描述,250Hz-1000Hz以内用加速度描述。之前的老国标为10-1000Hz用速度描述。
20.阶次分析
进行阶次分析时,必须测量转速,因此,在对升降速进行阶次分析时,可以得出振动噪声主要的贡献阶次或者存在故障的阶次,与之前计算的特征阶次对比,确定发生故障的齿轮或轴系。
21.调制特性分析
A.调幅现象
调幅现象表象为时域波形的幅值变化。调幅的时域波形由载波信号与调制信号的时域乘积得到。幅值调制的结果在频谱图上将形成边频谱。当齿轮安装偏心或齿轮本身偏心时易产生幅值调制。
B.调频现象
调频现象表现为时域波形的频率变化。当转速不稳定或者齿距不相等时,易产生调频现象。
调频和调幅的结果都将形成边频,在只有一个简谐调制信号的条件下,调幅的结果只有一对边频;而调频的结果则将产生“无限”边频。频率调制的后果使边频增加,而且,由于调频和调幅边频分量的相位差异,两者同时存在时,将使边频分布不对称。
载波频率可以是齿轮的啮合频率、齿轮固有频率和齿轮箱固有频率及其倍频,调制频率多为齿轮所在轴转频及其倍频。
轴承多以外圈的各阶固有频率为载波频率,产生剥落元件的通过频率为调制频率。
齿轮的啮合频率fz受到齿轮旋转频率fr的调制而产生边频带,边频带的形状和分布包含了丰富的齿面状态信息。根据边频带呈现的形式和间隔,有可能得到以下信息:
1)当边频间隔为旋转频率fr时,可能为齿轮偏心、齿距的缓慢的周期变化及载荷的周期波动等缺陷存在,齿轮每旋转一周,这些缺陷就重复作用一次,即这些缺陷的重复频率与该齿轮的旋转频率相一致。旋转频率fr指示出问题齿轮所在的轴。
2)齿轮的点蚀等分布故障会在频谱上形成这样的边频带:越远离啮合频率,其边频越来越低,但其边频阶数少而集中在啮合频率及其谐频的两侧。
3)齿轮的剥落、齿根裂纹及部分断齿等局部故障会产生特有的瞬态冲击调制,在啮合频率其及谐频两侧产生一系列边带。其特点是边带阶数多而谱线分散,由于高阶边频的互相叠加而使边频族形状各异。严重的局部故障还会使旋转频率fr及其谐波成分增高。
需要指出的是,由于边频带成分具有不稳定性,在实际工作环境中,尤其是几种故障并存时,边频族错综复杂,其变化规律难以用上述的典型情况表述,而且还存在两个轴的旋转频率fri (主动轴fr1,被动轴fr2)混合情况。但边频的总体水平是随着故障的出现而上升的。因此,对信号进行调制特征分析有助于帮助我们进一步判定故障产生的可能原因。
22.和频和差频
旋转机械中,当两种振动信号具有相近的频率f1,f2时,在信号的频谱图中,则可能出现中心频率为(f2-f1),(f2+f1),(2f2+f1),(2f2-f1),(f2+2f1),(2f1-f2)等谱峰。旋转机械中,诸如失衡、齿轮和滚动轴承缺陷、油膜涡动等激振原因使转子以一定的频率振动,当机械存在不对中、松动、和刚度非线性时,使转子的振动传到定子上时形成波形的单边削平现象。这种单边削平的时域波形,经频域变换后便出现一系列的和频和差频谱峰。
由基本振动分量交叉调制形成一系列的和频及差频分量,这种调制主要发生在频率相近的分量之间。
23.鬼线分量
这种频谱看起来很像啮合频率,但其频率与滚齿机的分度蜗轮和啮合频率有关,而不是齿轮的啮合频率。它的产生是由于滚齿机的分度盘的齿的误差,对应某个分度蜗齿的整齿数。如果一组谐频(或一个来路不明的频率成分)不能追踪到齿轮啮合谐频,那么有理由怀疑它可能是“鬼线”。鬼线的另一个特点是对载荷的大小不敏感。当载荷增加后啮合谐频成分大为增大,而鬼线成分增大不多。鬼线成分一般不必担心,运行一段时间后,随着齿轮的磨损鬼线会逐渐减小。
24.附加脉冲信号
无论是调幅还是调频,其时域信号都是关于水平基线对称的。任何一个非对称的时域信号,都可解释为附加脉冲的影响。在频域中要区分出附件脉冲也是不难的,附加脉冲在频域中是旋转频率的低次脉冲,而幅值调制信号在频域中则反映为啮合频率及其以谐波为中心频率的边频带。
当信号分布不对称时,可通过偏斜度来判断。偏斜度表征信号在其中值上下分布的不对称程度。
25.包络分析
包络分析是基于改进的希尔伯特变换的方法。这种改进的解调方法削弱了高频成分的影响,并且更容易识别包络频率。包络分析主要步骤如下:
Step 1 测量一个大带宽的信号
Step 2 对信号进行FFT变换,识别关心的带宽
Step 3 基于第二步进行带通滤波
Step 4 进行希尔伯特变换
Step 5 计算包络曲线
Step 6 对包络曲线进行FFT变换,得到包络频率。
26.倒谱分析
倒频谱是对数形式的功率谱密度的再做一次傅立叶变换,它能分析出复杂频谱图上的周期结构,分离和提取在密集调频信号中的周期成分(时域)。对齿轮箱中齿轮和滚动轴承出现的调制边频带,利用倒频谱可以分析出反映故障特征的调制频率,从而诊断出故障。在变换过程中,倒频谱是对数谱图上周期性频率结构成分的能量做了又一次集中,在功率的对数转换时给低幅值分量有较高的加权,而对高幅值分量以较低的加权,使幅值较小的周期信号在倒频谱图中得到了突出,从而使边频现象在倒频谱中得到全面的反映。
当对多段平均的功率谱取对数后,功率谱中与调制边频带无关的噪声和其他信号也得到了较大的权系数而放大,所以当调制边频带的幅值不大或信号中含有较大噪声时,倒频谱中得到的调制频率的幅值并不明显。
27.扭振分析
扭振的产生是由于旋转部件的转速不稳定,产生了波动导致的。因此,为了准确地分析扭振,要求测量时准确地测量出转速的波动部分。处理扭振可采用时域或频域方法进行,时域法得到的最终结果为扭转角随时间变化曲线,频域法得到的结果为不同阶次或频率下的扭转角(角速度或角加速度)大小。
文章来源:模态空间
工程师必备
- 项目客服
- 培训客服
- 平台客服
TOP




















