全固态电池在高电压下的界面失效机制

【研究背景】
全固态锂电池(ASSLBs)具有高安全性和高能量密度,是下一代电池重要的技术路线。聚环氧乙烷(PEO)是一种性能优良的固态电解质,具有良好的离子传导能力,且对正负极活性物质具有较好的界面润湿能力。

然而,PEO的电化学窗口较窄,当充电电压高于3.9V(vs. Li/Li+)时,PEO会发生电化学分解。因此,与高电压正极(LiCoO2、NCM)相匹配时,PEO基固态电池通常呈现出较差的电化学性能。通过对正极表面包覆或PEO进行结构改性,可以改善PEO基固态电池的循环稳定性。然而,PEO基固态电池在高电压下真正的失效机制仍需深入研究。

【工作介绍】
近日,北京大学深圳研究生院潘锋教授课题组通过在LiCoO 2 表面包覆一层高电压下性质稳定的Li 3 AlF 6 材料,改善电解质-正极界面稳定性,大大提升了PEO基固态电池在高电压下的电化学性能。同时,对PEO基固态电池在不同电压下的失效过程和原因进行分析。研究表明,在3.0-4.2V电压区间内,PEO基固态电池的容量衰减主要归因于LiCoO 2 的表面发生结构失效,生成CoO相;在3.0-4.5V以及更高的电压下,除LiCoO 2 结构失效外,PEO自身开始出现分解,离子电导率下降导致电池阻抗值增大,加剧了LiCoO 2 /PEO/Li 电池的失效。该工作以 “Insights Into the Interfacial Degradation of High-Voltage All-Solid-State Lithium Batteries” 为题发表在国际顶级期刊 “Nano-Micro Letters ” 上。硕士研究生李家文为该论文第一作者,杨卢奕副研究员、宋永利副研究员、潘锋教授为通讯作者。

内容表述
全固态电池在高电压下的界面失效机制的图1
图1. LAF@LCO的结构表征分析。

通过密度泛函理论(DFT)筛选了具有较宽电化学窗口的Li 3 AlF 6 ,用于修饰LiCoO 2 与PEO基固态电解质之间的界面。Li 3 AlF 6 包覆后LiCoO 2 (LAF@LCO)的的主体结构并未发生明显变化。在SEM和HRTEM下,清晰看到Li 3 AlF 6 包覆层厚度约为20nm。

全固态电池在高电压下的界面失效机制的图2
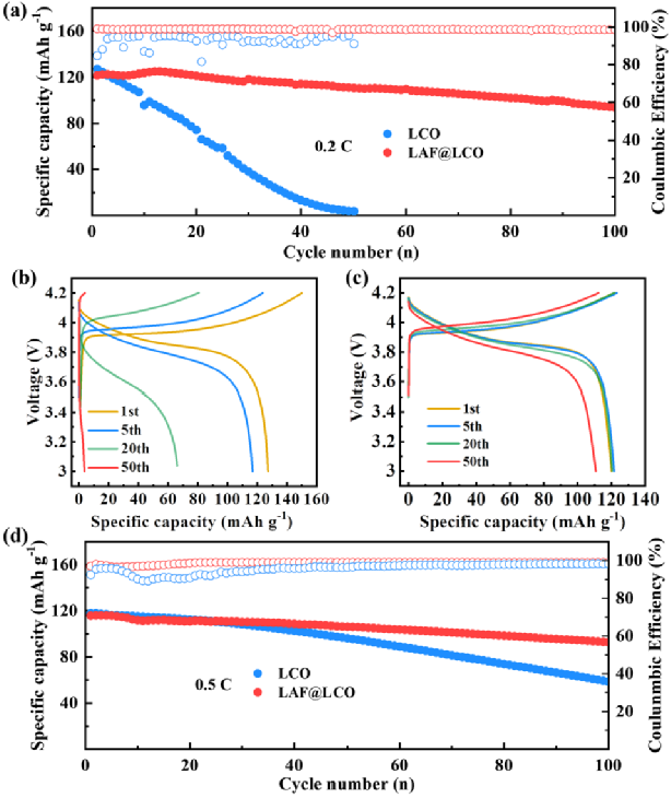
图2. PEO基全固态电池在3.0-4.2 V电压区间内的循环稳定性测试。测试温度为60℃。

在0.2 C(1 C = 150 mAh/g)的长循环中,LCO/PEO-LiTFSI/Li电池的放电容量从首圈开始快速衰减,在50圈循环之后容量衰减为零。相比之下,LAF@LCO/PEO-LiTFSI/Li电池表现出更加出色的循环稳定性,经过100圈循环后,电池仍然具有高达96.5 mAh/g的放电容量,容量保持率为77.2%。在0.5C下,LAF@LCO/PEO-LiTFSI/Li电池则同样表现出更突出的循环稳定性,说明Li3AlF6包覆层确实能够改善PEO基固态电池在高电压下的电化学性能。

全固态电池在高电压下的界面失效机制的图3
图3. LCO/PEO-LiTFSI/Li电池和LAF@LCO/PEO-LiTFSI/Li电池在3.0-4.2V电压区间循环后的表征分析。

对3.0-4.2V电压区间循环前后PEO基固态电解质XPS的C 1s图谱进行分析,未循环PEO基固态电解质的C-O与C-C峰面积之比为1:0.21。而来自LCO/PEO-LiTFSI/Li电池中循环后的PEO基固态电解质的C-O与C-C的峰面积之比减小至1 : 0.55,并且出现了O-C=O信号峰,这说明LCO/PEO-LiTFSI/Li电池循环之后,PEO出现一定程度上的分解。

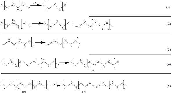
全固态电池在高电压下的界面失效机制的图4
此前研究表明,PEO分子链末端的羟基(-OH)将失去电子并形成单原子自由基(-O),而质子被锂盐捕获(公式1)。鉴于分子链中的羟基比例较低,我们对PEO在4.2V电压下的分解过程做了以下假设。PEO分子链中的C-O键断裂,形成分别带有-O-和-CH2-基的长链聚合物(公式2)。不稳定的-CH2-基团进一步转化为带有-CH-CH3的聚合物(公式3)。然后,-O-基团将与-CH-CH3基团反应,形成O-C-O基团(公式4),在氧化电位下往往被氧化成O-C=O基团(公式5),此外,质子也被锂盐捕获的。含有高氧化性Co4+的脱锂LixCoO2会通过吸引电子和质子来加速这一反应过程。

本文用C 1s光谱中O-C=O与C-O峰的面积比作为PEO氧化程度的指标。在上限电压为4.2V的情况下,LCO和LCO@LAF在循环后得到的比率分别为0.08和0.05,表明PEO的分解被LAF包覆层有效抑制。

然而,LCO/PEO-LiTFSI/Li和LAF@LCO/PEO-LiTFSI/Li电池在循环前后的阻抗值大小几乎一致,说明电池在3.0-4.2 V的电压区间循环后PEO基固态电解质都没有被严重破坏,仍然具有几乎相同的的离子传导能力。这说明LCO/PEO-LiTFSI/Li在3.0-4.2 V电压区间内失效的真正原因并非是PEO的分解导致。

通过对循环后的LCO进行的结构分析发现,未包覆的LCO在循环后表面出现了一组不同的晶格条纹,晶面间距为0.2472 nm和0.2137 nm,分别对应CoO的(111)和(200)晶面,这表明循环后的LCO表面发生了明显的结构相变,而这一结构上的变化导致了LCO性能衰减和LCO/PEO-LiTFSI/Li电池的失效。而循环后的LAF@LCO表面仍然存在一层完好的Li3AlF6包覆层,LCO中也没有出现相结构变化。说明LAF作为一个保护层,阻止了LCO的化学分解,促进了循环稳定性。因此认为,当PEO与LCO的直接接触时,含有高氧化性Co4+的脱锂LixCoO2倾向于与PEO反应,导致LCO晶格中的氧损失和PEO链的分解。而这种化学氧化还原反应可以被电子绝缘的LAF包覆层所抑制。
全固态电池在高电压下的界面失效机制的图5
图4. 不同充放电区间内,LCO/PEO-LiTFSI/Li电池和LAF@LCO/PEO-LiTFSI/Li电池的充放电与DEMS产气结果分析

LCO/PEO-LiTFSI/Li电池的DEMS测试在4.4V之前只能检测到微量的气体,表明PEO的分解可以忽略不计。这个结果与上面的结论一致,即PEO分解可能不是电池在3.0-4.2V电压范围内容量衰减的原因。如公式2所示,少量的C2H4O来自PEO中相邻的C-O键的断裂。随着截止电压逐渐增加到4.5V,大量的O2从电池中释放出来。在电压可以达到4.6V之前,出现了一个很长的PEO分解平台,伴随着各种气体的严重释放,包括H2, CH4, C2H2, C2H4, CO, C2H6, HCHO, O2, CO2 (C2H4O),这是PEO基固态电解质在高压下剧烈分解成小分子的结果。而LAF@LCO/PEO-LiTFSI/Li内部只有少量的气体产生,此时电池还能进行正常充放电。只有当充电电压达到4.8 V后,PEO才开始出现剧烈分解并产生大量的气体,导致电池完全失效。并且,LAF@LCO/PEO-LiTFSI/Li电池在3.0-4.5V电压区间内也表现相对优异的稳定性。这说明Li3AlF6包覆层能够提高PEO的充电截止电压,有效缓解PEO基固态电解质在高电压下的分解,提高电池的循环稳定性。

全固态电池在高电压下的界面失效机制的图6
图5. LCO/PEO-LiTFSI/Li电池和LAF@LCO/PEO-LiTFSI/Li电池在3.0-4.5V电压区间循环后的表征分析。

LCO/PEO-LiTFSI/Li电池的阻抗在循环后已经超过900 Ω,阻抗增大表明循环过程中PEO剧烈分解成小分子,导致其离子电导率下降,并且电解质/正极界面也不断被破坏,进而导致电池容量的快速衰减和失效。而LAF@LCO/PEO-LiTFSI/Li电池在循环后,阻抗只发生微小的变化,仍然保持在200 Ω左右,说明此时PEO并未发生剧烈分解,仍然保持良好的离子电导率和电解质/电极界面稳定性。

利用XPS对PEO基固态电解质的分解进一步表征分析,LCO/PEO-LiTFSI/Li电池循环后PEO的C 1s谱图中C-O峰面积明显减小,而R-C=O(287.2 eV)和O-C=O(288.5 eV)的峰面积则明显增大,O-C=O与C-O的峰面积比为0.24。R-C=O和O-C=O峰面积的增加归因于PEO大量分解生成的的分解产物,表明PEO基固态电解质在3.0-4.5 V电压区间内出现剧烈分解。因此推测(公式6),之前得到的单原子自由基(-O-)将进一步氧化成羰基。在这个过程中,含有高氧化性Co4+的脱锂LixCoO2也将通过吸引电子和质子来加速这个反应过程。
全固态电池在高电压下的界面失效机制的图7

相比之下,LAF@LCO/PEO-LiTFSI/Li电池循环后PEO的C 1s和O 1s谱图中R-C=O和O-C=O峰面积增加较少,O-C=O与C-O峰的面积比从0.24明显下降到0.06。这说明LAF@LCO/PEO-LiTFSI/Li电池中的PEO只是发生少量分解,电解质-电极界面受到了良好保护。与4.2V时的容量衰减不同,4.5V时更差的性能可以归因于LCO结构失效和PEO分解。而对于LAF@LCO,PEO的轻度分解可归因于在高电压下导电碳/电解质界面的恶化。
全固态电池在高电压下的界面失效机制的图8
图6. PEO基固态电池在高电压下的失效机制示意图。

因此,本文推测:在4.2 V充电电压下,LCO/PEO-LiTFSI/Li电池容量的快速衰减的主要原因是高活性LiCoO 2 表面和PEO之间的化学氧化还原反应所引起的LiCoO 2 表面的结构失效。当电压达到4.5V甚至更高的电位时,LiCoO2的结构失效和PEO的强烈分解可能是共同导致容量进一步下降的原因。

Jiawen Li, Yuchen Ji, Haoran Song, Shiming Chen, Shouxiang Ding, Bingkai Zhang, Luyi Yang*, Yongli Song*, Feng Pan*. Insights Into the Interfacial Degradation of High‑Voltage All‑Solid‑State Lithium Batteries.Nano-Micro Lett, (2022) 14:191.
https://doi.org/10.1007/s40820-022-00936-z

作者简介
潘锋,北京大学教授,博士生导师,北京大学讲席教授、北京大学深圳研究生院新材料学院创院院长。潘锋教授已发表包括Nature, Nature Energy, Nature Nanotechnology在内的SCI代表性论文250余篇,其中影响因子10及以上和自然指数论文120余篇,3项国际发明专利和近80项国内专利申请,授权发明专利27项。潘锋教授目前聚焦探索基于图论的结构化学的新范式和新能源材料基因科学与工程,包括探索材料的结构“基因”、材料高通量的计算、合成与检测及数据库等“材料基因组”工程及用于加速“清洁能源及关键材料研发”,包括新型太阳能电池、热电发电、储能和动力电池及关键材料的跨学科的基础研究和应用,具有十多年在国际大公司从原创基础研究到创新产品产业化的经历 。

杨卢奕副研究员,2015年获得英国南安普顿大学化学博士学历。目前在北京大学深研院主要从事高性能锂电池关键材料,包括正负极材料、电解质等多方面的研究。通过建立起材料界面结构与其电化学性能之间的内在关联,为开发下一代高性能电池提供技术支持与理论依据。作为项目主要参与者完成了国家重点研发计划“基于材料基因组技术的全固态锂电池及关键材料研发”的子课题“全固态锂电池材料与电池研究”以及“全固态锂电池样机开发”的关键研究工作。2015年以来以通讯/第一作者在Chem. Soc. Rev., Joule, Adv. Mater., Acc. Chem. Res., Angew. Chem. Int. Ed., Adv. Energy Mater., Adv. Funct. Mater., Energy Storage Mater., Nano-Micro Letters, Small等期刊发表论文40余篇。
登录后免费查看全文
立即登录
App下载
技术邻APP
工程师必备
  • 项目客服
  • 培训客服
  • 平台客服

TOP