土-桩-隔震结构 多尺度耦合动力响应分析
更新于2022年10月18日 11:111 结果展示
2 研究背景
目前国内外的大多数隔震设计较少考虑或不考虑土-结构动力相互作用(简称SSI效应)的影响,但实际工程在地震作用下,土与结构之间的相互作用会影响整体动力响应。考虑SSI效应对隔震结构的减震效果影响情况究竟如何,需要进行客观的评价。基于此,本文主要从土-结构动力相互作用出发,给出考虑土-桩-隔震结构耦合的动力时程响应分析实例。
本文的研究对象是隔震结构,考虑SSI效应后结构构件、隔震支座及整体结构的动力响应均有可能受到影响。本文的研究思路将从材料本构模型的验证出发,从结构构件到隔震支座,最后再到整体结构,对这几个部分的动力响应进行研究。
3 材料本构及构件模型解读与分析
3.1地基土体
当前由研究人员所提出的每种土体本构模型仅能够反映土的某一类或几类现象,具有一定的应用范围和局限性。对于桩-土-隔震结构这一耦合体系的动力相互作用,涉及到上部结构、隔震层、地基等多种因素,再加上复杂的土体性质,土体本构模型需有针对性的选用。
在ABAQUS 中常用的土体本构模型包括:线弹性模型、DC模型(应力应变关系见图1-1)、Mohr-Coulomb模型(屈服面见图1-2),Drucker-Prager模型等。由于现有的土体本构模型无法满足土体所有特点,需根据所研究问题选取合适的土体本构和计算参数。本文以常见的均匀土层作为地基土,采用ABAQUS中以粘弹性理论为基础的等效线性模型,尽管仍有不足,但该模型是基于大量实验结果归纳得到,形式简单直观,适用于考虑桩-土耦合对隔震结构动力响应的初步分析。
图1-1 DC模型关于三轴试验的应力- 应变关系
图1-2 主应力空间中的 MC 屈服面
3.2混凝土
当遭遇强烈地震作用时,结构将进入非线性阶段,其材料特性发生较大改变,若只进行线弹性分析则所得结果有较大误差,因此建筑结构的时程分析应考虑材料的非线性特性。
3.2.1常规墙板采用软件自带CDP
ABAQUS软件中,自带两种适用于混凝土非线性分析的本构模型,分别为混凝土弥散裂缝模型(Concrete Smeared Cracking)和混凝土塑性损伤模型(Concrete Damaged Plasticity),前者以裂缝模型为基础,一般适用于单调加载分析的钢筋混凝土;后者以损伤模型为基础,考虑了损伤效应,可用于往复荷载作用分析,适用于模拟地震作用下的混凝土力学行为。
在使用ABAQUS结合《混凝土结构设计规范》GB50010-2010对结构进行弹塑性分析时,规范中的“损伤演化参数”Dc为应力应变曲线上的割线损伤,而ABAQUS中的“损伤因子”dc为卸载刚度损伤,二者是不同的概念。因此根据规范中的本构模型计算所得塑性损伤参数需进行转换(见下式),方可输入ABAQUS使用。
一维混凝土本构模型采用规范指定的单轴本构模型,能反映混凝土滞回、刚度退化和强度退化等特性,其轴心抗压和轴心抗拉强度标准值按《混凝土结构设计规范》表4.1.3采用。混凝土单轴受拉的应力-应变曲线方程按附录C公式C.2.3-1~C.2.3-4计算。
混凝土材料进入塑性状态后刚度开始降低。如应力-应变及损伤示意图所示,其刚度损伤分别由受拉损伤参数dt和受压损伤参数dc来表达,dt和dc由混凝土材料进入塑性状态的程度决定。
二维混凝土本构模型采用弹塑性损伤模型,该模型能够考虑混凝土材料拉压强度差异、刚度及强度退化以及拉压循环裂缝闭合呈现的刚度恢复等性质。
关于混凝土损伤模型及Abaqus-CDP参数详解,可参看技术邻帖子:
3.2.2 关于杆系混凝土的UMAT/VUMAT子程序
由于ABAQUS中的CDP模型无法在杆系单元(B31/B32)中使用,故利用Fortran将Kent-Park的本构关系写入UMAT进行验证分析,再将UMAT本构修改为VUMAT格式并对模型进行显式动力弹性分析。Kent-Park本构关系考虑了箍筋对混凝土强度和应变的提高作用及不同加载速率对应力-应变关系的影响,数学表达式如下:
图 2-4 混凝土单轴本构
3.2.3实体单元与杆系单元对比
模型中的二维墙板采用分层壳单元,钢筋层采用钢材本构,混凝土采用CDP,内置本构已经过大量验证,故不再验证。一维杆系单元采用自主开发UMAT/VUMAT子程序进行计算分析,为验证本构正确性,取清华大学钢筋混凝土框架及关键构件试验数据库中的混凝土框架柱对模型进行验证和分析。
关于混凝土实体于杆系对比的文章详情可以看:
3.3钢筋
本次模型中,钢材的本构选用随动强化模型,其本构关系需通过材料弹性模量和屈服强度确定。该模型可以考虑包辛格效应,能够较好地描述钢材在往复作用下的弹塑性发展,而且计算效率较高。设定钢材的强屈比为1.2,极限应力所对应的极限塑性应变为0.025。
图 3-1 钢材动力硬化模型
3.4 隔震支座
用于橡胶分析的超弹性本构中,常用的超弹性本构模型通常有两类,基于统计热力学理论的分子链网络模型和基于连续体介质力学的唯象理论模型。
ABAQUS中自带的基于唯象理论的超弹性本构模型,包括多项式模型中的Mooney-Rivlin 模型,减缩多项式模型中的Neo-Hookean 模型和Yeoh模型,以及Ogden模型。由于Mooney-Rivlin模型的应变能是不变量的线性函数,不能反映应力应变曲线在大应变部分的快速上升行为,但能很好地模拟小应变和中等应变(<250%)时材料的特性。针对所研究的问题,本文橡胶支座的橡胶采用Mooney-Rivlin模型。
3.4.2钢材
若做中小应变模拟时,通常钢板可采用弹性本构,弹性(杨氏)模量G=206GPa,泊松比取0.3。若做大变形模拟,或钢板可能存在损伤情况,可采用弹塑性本构,双折线随动硬化模型进行模拟。
3.4.3铅芯
通常铅芯橡胶支座中的铅纯度可达到99.99%以上,采用理想弹塑性本构模型,其弹性模量为16GPa,泊松比取0.44,屈服强度建议取14.4Mpa。
以上为隔震支座的精细化模拟所需材料的本构模型。在大体量计算分析中,若每个隔震支座均采用精细化模拟计算所需时间成本十分高昂。为提高计算效率,可将隔震支座的力学性能参数赋予链杆,采用衬套链杆模拟隔震支座,在保证隔震支座性能一致的前提下可大大降低计算所需时间成本。(屈服前刚度和塑性)
关于橡胶支座模型及橡胶支座参数详解,可参看:
4 模型建立及支座参数
4.1工程概况
本工程为某办公楼,地面以上10层(含隔震层),标准层层高3.6m,采用现浇钢筋混凝土框架剪力墙结构形式并对采取隔震措施,主次梁和板的混凝土强度为C30,柱和剪力墙的混凝土强度为C45,考虑土—结构动力相互作用,桩-土-隔震结构耦合有限元模型见图4-1。
图4-1 桩-土-结构耦合有限元模型
图4-2 整体结构有限元模型
4.2隔震支座选取
本文采用的隔震支座的相关参数如下图4-3所示。
图4-3 隔震支座参数
为验证隔震支座所用本构模型的模拟值与理论值是否吻合,详情可看:
对隔震支座进行局部有限元分析,划分网格后的隔震支座如下图4-4所示。
图4-4 隔震支座网格划分
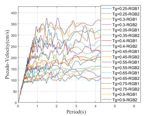
4.3地震波选取
本文分两组工况进行计算,工况一:天然波EL-Centro(0.4g),工况二:不同Tg(0.25s-0.9s)的人工波(0.22g),共10条人工波计算。图4-5至图4-7分别给出所输入人工波的地震动加速度反应谱、速度反应谱及三联反应谱曲线。
图4-5 人工波加速度反应谱
图4-6人工波速度谱
图4-7人工波三联谱
5 隔震结构结果分析
5.1结构动力特性分析
(a) 结构一阶振型
(b) 结构二阶振型
(c) 结构三阶振型
(d) 结构四阶振型
(e) 结构五阶振型
(f) 结构六阶振型
图5-1结构前六阶振型图
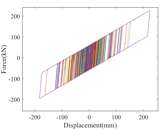
5.2隔震支座滞回曲线
输入十条人工波地震波进行时程分析,在人工波作用下结构的隔震支座滞回曲线如下图5-2所示。
图5-2隔震支座滞回曲线
5.3层间位移
图5-3上部结构层间位移
6 结论
本文基于有限元软件Abaqus,建立了考虑土—桩相互作用的隔震结构安全性有限元技术体系。建立土-桩-隔震结构耦合的动力弹塑性分析模型,通过施加了El波与多条人工波,研究了隔震结构在考虑土—桩相互作用下的弹塑性时程响应。
结果表明:该方法可用于考虑土—桩—隔震结构的地震安全性水平及结构层面水平的分析。基于Abaqus为总结考虑土—桩—隔震结构的地震安全性评价流程做一个铺垫分析方法,对后续重要隔震建筑在考虑土-结构动力相互作用下的安全性评价研究给出方法。
仿真计算采用的设备基本情况:
CPU:Inetl(R)Core(TM)i9-10980XECPU@3.00Hz 3.00Ghz (36核)
内存(RAM):128GB
总计算耗时约:50h~80h
以下为相关内容ppt,欢迎下载学习,感谢您的阅读和投票。
为TA投票
工程师必备
- 项目客服
- 培训客服
- 平台客服
TOP




















