纯电动三档变速器设计与性能仿真研究
2022年11月22日 10:26【摘要】本文针对目前单级减速器纯电动效率低,后半程加速慢等缺点,设计了一款新型的同轴式行星轮系三档变速器,并介绍了该变速器结构特点和工作原理,并对该行星轮系进行了设计计算和建模仿真验证;并针对整车参数要求对各档速比进行设计计算和分配;制定了整车控制策略,并采用MATLAB/Simulink搭建整车仿真模型,通过NEDC循环工况进行了分析验证。结果表明,在标准工况下三档变速器比单级减速器电机工作效率更高,减少电能消耗7%;比单级减速器百公里加速时间减少了6%。
主题词:纯电动 三档 设计 仿真
中图分类号:U463.212
01
引言
随着环境问题和能源问题日益突出,传统汽车对降低油耗,减少排放的举措已经捉襟见肘;除了大量开发小型化的发动机及排量外,新能源汽车研发也受到各大汽车厂商欢迎。特别是纯电动汽车行驶具有噪声低、零排放等优点。目前搭载整车的纯电动汽车普遍为单级减速器,仅有少数车型具有两档减速功能,如宝马i8,荣威混动版,零部件商如格特拉克也推出2eDT系列的两档变速器。针对两档减速器的研究较多,主要结构分为双离合和采用同步器换挡两种结构[1-3]。研究结果表明采用两档的纯电动汽车对整车效率、爬坡能力及加速性能均有明显提高[4-7]。国内对于纯电动三档专用变速器的研究相对较少,虽然结构复杂程度相对于两档变速器有所增加,但电机性能会进一步得到充分利用,经济性和动力性进一步提高,对于未来电动汽车提高车速,增加续航里程,减小电机体积等具有重要作用。文献8设计了一种P-AMT三档变速器机构,主要采用同步器进行换挡并进行了结构设计研究[8];文献9设计了一种行星轮系的三档变速器,主要对速比进行了优化,以及变速器总成的装配设计[9]。本文采用行星轮系结构了一款同轴式纯电动三档专用变速箱,并根据整车参数需求确定速比并制定相关换挡控制策略,针对NEDC循环工况与单级减速器同时进行了仿真研究,对比了整车经济性和动力性。
02
系统结构及工作原理
如图1所示,针对纯电动设计的三档变速器系统原理图。该系统采用电机同轴式输入输出,结构更加紧凑,降低整车布置空间需求。由电机经过减速后传递给输入齿圈,经过三档变速后再经过中间轴,主减齿圈传递给半轴。三档变速器采用行星轮系设计,内含有三个离合器进行控制。当C1、C3结合,C2打开时,系统为一档,电机动力经过输入齿圈,经过同轴行星轮驱动输出齿圈。当C1、C2结合,C3打开时为二档,电机动力经过输入齿圈带动整个行星轮系转动,获得速比为1的传动比。当C2、C3结合,C1打开时,电机动力经过行星架,由行星架和行星轮提供输出齿圈动力。当C1,C2,C3同时结合时,通过整车协调控制可以起到坡道辅助作用,降低整车成本。
03
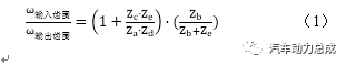
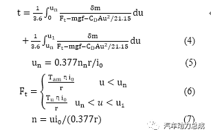
行星轮系数学模型建立
04
整车设计要求
4.1 电机及传动比匹配计算
4.1.1 电机额定功率
4.1.2 电机最高功率
4.1.3 电机最高转速
4.1.4 电机最大转矩
电机最大转矩由汽车满载时,以最低挡通过的最大爬坡度确定,爬坡度用坡度的角度值正切值的百分数来表示。车辆爬坡度计算公式为:
式(8)中i为一挡传动比,为最大爬坡度,u为爬坡速度。
4.1.5 传动比约束条件与选取
一档驱动需满足爬坡等性能要求,根据公式:
式中为一档总传动比;
为电机最大扭矩。
三档传动时需要满足汽车在最高车速下行驶,根据公式:
式中为三档总传动比;
为电机最高转速。
根据整车参数计算要求,一档至三档最终速比分别选取10.64、7和4.375。
4.2 整车档位控制策略
为尽可能提高电机工作效率,本文对电机划分出三档各自的高效扭矩区间,制定出综合电机扭矩map图[6-7] ,如图4所示。车辆加速行驶时,整车模型根据当前的整车扭矩需求和车速下,判断出电机扭矩应属于哪个扭矩工作区间。当超出某档电机工作极限范围后,变速器自动进行换挡。若两个相邻档位电机工作点均未超过工作极限范围,再根据电机效率map图进行对比,采用效率较高的档位进行驱动行驶,并重新计算该档位电机应输出的扭矩。车辆减速降档时,系统采用延时换挡规律,车速一般在升档车速上延迟5~10Km/h,提高档位判断正确性。
05
仿真及结果分析
根据整车参数和传动系统计算参数,利用Matlab/simulink对三档纯电动驱动系统进行建模仿真研究,本文主要针对驱动系统的经济性和动力性进行仿真研究,并采用轿车NEDC循环工况进行分析验证,NEDC循环工况如图6所示。
根据NEDC循环工况仿真,分别对单速减速器和三档变速器进行电机工作点分析,仿真结果如图7所示:
由图7仿真结果,可以看出单级减速器工作点范围较宽,整个工作范围呈现出低速高扭,高速低扭的工作状态;而三档变速器工作范围缩窄,最高转速降低,输出扭矩均衡且更多地分布在电机效率较高的工况,提高了整车传动效率。图8为NEDC工况电池SOC消耗对比曲线,仿真结果显示采用三档变速器的纯电动汽车能耗节省显著,节省了7%的电能消耗。
由图9为百公里加速仿真试验结果,起始时刻为3s,仿真结果表明三档百公里加速能够满足整车设计要求。与单级减速器相比,三档变速器在后半程进入三档时有更好的加速性能,且百公里加速时间比单级减速器减小6%。
06
总结
(1)针对目前单级减速器纯电动工作效率低,加速缓慢等缺点,设计了新型同轴式三档变速器,并对该行星轮系进行了数学建模和速比计算。
(2)根据整车要求确定了各档总速比值,制定了纯电动换挡控制策略并采用simulink进行了仿真模型建立,根据轿车NEDC循环工况对纯电动汽车进行经济性和动力性仿真。
07
参考文献
1Francesco Vasca, Luigi Iannelli, Adolfo Senatore, et al. Torque transmissibility assessment for automotive dry-clutch engagement. IEEE/ASME Transactions on mechatronics, 2010: 1~10.
2、查鸿山, 宗志坚, 刘忠途, 伍庆龙.纯电动汽车动力匹配计算与仿真.中山大学学报 (自然科学版),2010,49(5):47~51.
3、李瑜婷,赵治国,章桐. DCT变速器双离合器压力最优控制方法的仿真研究. 中国机械工程,2010,21(12):1496~1501.
4、顾强,程秀生. 基于粒子群算法的电动汽车 DCT 升档动力协调控制.农业工程学报,2012,28(8):84~90.
5、刘振军,崔荣宾,赵江灵.纯电动汽车两档变速器的研究与设计.重庆理工大学学报(自然科学版),2014(2):7~10.
6、顾强.两档双离合器自动变速器的纯电动汽车传动系统协调控制技术研究:[学位论文].长春:吉林大学,2012.
7、黄伟,王耀南,冯坤,张军.纯电动汽车两档自动变速器研究开发.汽车技术,2011(10):17~20.
8、陈敏超.一种电动车用三档变速器的研发:[学位论文].重庆:重庆大学,2012.
9、陈彬.带三档变速功能的纯电动车动力总成开发:[学位论文].上海:同济大学,2014.
注:文章中引用数据和图片来源网络
文章来源:汽车动力总成
工程师必备
- 项目客服
- 培训客服
- 平台客服
TOP




















