塑性工程学报:Custom450钢拉伸的晶体塑性有限元分析
2022年12月6日 18:14 汽轮机末级叶片由于旋转速度快、蒸汽湿度大、水滴多,故面临严重的水蚀问题。而沉淀硬化不锈钢具备较强的综合性能,如高强度、高韧性、高耐蚀性、高抗氧化性和优异的成形性、焊接性等,是理想的末级叶片的材料。Custom450钢是17-4PH不锈钢的第2代改型,属于马氏体沉淀硬化不锈钢,具有良好的耐蚀性、高强度以及良好的加工特性,这类材料在服役过程中往往承受着高速动态载荷。而研究微细观尺度的变形不均匀性是新材料开发及优选的重要准则,晶体塑性有限元方法将晶体塑性理论和有限元软件进行了恰当的融合,成为研究细观层次塑性变形行为的强有力工具。来自华东理工大学机械与动力工程学院的艾鑫团队,基于Voronoi方法建立了Custom450 钢拉伸的二维晶体塑性模型,分析了初始硬化模量、参考剪切应变率、应变率敏感系数、初始屈服应力以及饱和流动应力对材料应力——应变曲线的影响,并对晶体塑性参数进行了标定。
在文献中,作者所建立的单晶本构模型参考了HUANGY的单晶体模型的子程序UMAT,此率相关硬化晶体塑性模型需要确定的参数包括初始硬化模量h0、初始屈服应力τ0、参考剪切应变率γ,应变率敏感系数n和饱和流动应力τs,其他参数通过计算和查找文献获得。基于Voronoi方法,作者在有限元软件Abaqus中建立了Custom450材料的多晶体二维几何模型并将本构关系嵌入软件中,进行拉伸过程的模拟。
图1所示是微结构模型及其网格划分,几何模型尺寸长度为0. 2 mm,宽度为0. 5mm,共包含100个晶粒,大小和形状随机,且晶粒取向随机分布。
图1包含100个晶粒的微结构模型及其网格划分
图2是边界条件的约束情况,模型的上端面和下端面的所有节点在y方向上具有均匀的位移,左侧所有节点在x方向上设置约束,使其不能横向移动,y方向自由,在右边界施加载荷,右侧的所有节点x方向上经受同等应变载荷,而在y方向上是自由的。
图2边界条件示意图
对于体心立方晶体来说,3个滑移系包括1个主滑移系和2个次滑移系。分别对包含1、2、3组滑移系开动的情形进行模拟,结果如图3所示,只有主滑移系 { 110} < 111 >启动时,应力——应变曲线在弹塑性区间过渡的位置存在明显拐点,并与试验曲线吻合良好。
图3 不同滑移系数目下的模拟应力——应变曲线与试验曲线对比
图4反映的是初始硬化模量h0对宏观应力——应变曲线的影响,由图可知,初始硬化模量h0的变化对屈服点处的数值大小几乎没有影响,但对塑性区的斜率有影响。
图4模拟与试验所得应力-应变曲线对比
(a)初始硬化模量h0对宏观应力-应变曲线的影响
(b)图4a的局部放大图
图5所反映的是初始屈服应力τ0对宏观应力——应变曲线的影响,可以看出τ0的改变对屈服应力有影响,多晶体的屈服应力随着τ0的增大而逐渐增大。
图5初始屈服应力τ0对宏观应力——应变曲线的影响
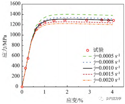
图6是参考剪切应变率对宏观应力-应变曲线,可以看出,参考剪切应变率的值从0. 0005s-1 变化到0. 0020s-1时,材料进入到塑性段的应力逐步减小,但进入塑性段时的应变没有改变。
图6参考剪切应变率对宏观应力-应变曲线的影响
图7所描述的是应变率敏感系数n对宏观应力-应变曲线的影响,可以看出,在塑性阶段随着n的增加,相同应变下的应力降低,但对应的屈服应力不改变。
图7应变率敏感系数n对宏观应力——应变曲线的影响
图8所展示的是不同饱和流动应力τs对宏观应力——应变曲线影响的模拟结果。可以看出,τs从160MPa增加到240MPa,应力——应变曲线重合,固饱和流动应力对屈服点的影响可忽略不计。
图8饱和流动应力τs对宏观应力——应变曲线的影响
图9和图10分别对应于Custom450钢晶粒模型的拉伸应力应变分布情况示意图。
图9单轴拉伸应力分布
图10单轴拉伸应变分布
相关研究成果以“Custom450钢拉伸的晶体塑性有限元分析”为题发表在塑性工程学报上(2022年9月第29卷第9期),论文的第一作者是艾鑫,通讯作者是朱明亮。
论文链接:
DOI: 10.3969/j.issn.1007-2012.2022.09.023
工程师必备
- 项目客服
- 培训客服
- 平台客服
TOP




















