star-ccm+管内换热知识之关于对流换热系数的解释
对流换热是指发生于运动流体和固体壁面之间的热交换现象。
对流换热强度由牛顿冷却定律来确定:
qs=h(T。-Trer)(1)
式中,qs为热流密度,h为对流换热系数,T为固体壁面温度,Trer为运动流体的特征温度(参考温度)。
在上述公式中,热流密度和温差之间呈现一个简单的线性关系,但是,在真实的对流换热中,由于壁面处的流动处处不同,造成q和h在壁面的分布也不相同。更为重要的是,对流换热系数的定义必须依赖于给定的参考温度,因此,对于相同的热流密度来说,存在多种对流换热系数和参考温度的组合。
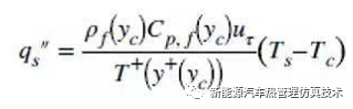
传统上,换热系数数据来源于实验。但是,边界层理论(位于表面附近的流体层,其中粘度和导热的影响占主导地位)的发展使得我们能够用分析的方法计算对流换热系数。因此,在STAR-CCM中,使用边界层理论来计算对流换热系数。因此,在 STAR-CCM+中,模拟对流换热系数的概念核心来源于标准壁面函数( standard wall!function,SWF),热流密度的公式为
公式中的参数解释如下:
联立公式(1)和(2)即可求得对流换热系数。对流换热系数总是与参考温度成对出现的,不能只说对流换热系数而不说明参考温度。标准壁面函数(SWF)是一组半经验函数,用于描述近壁区域(边界层)中的流动现象。该模型使用层流/湍流 Randt数、无量纲近壁面速度、湍流能量来描述T和α
在本节中,我们讨论关于准确使用SWF和上述内置后处理传热系数的建议,但重申STAR-CCM+总是使用公式(2)来求解表面局部热通量。这个表达式体现了重要的边界层概念,
用户需要遵循建议以确保其正确应用该模型。传热系数(HIC)是 STAR-CCM后处理结果,可用于与其他解决方案进行比较,可视化或导出到其他应用程序,如 ABAQUS, Nastran等。
一般来说,标准壁面函数为大多数高雷诺数、壁面流动提供了合理的计算精度,但是当流动条件与用于定义功能的理想条件不同时,它们的应用会受到限制。这些限制包括
普遍的低雷诺数或近壁效应(比如,流过小间隙或高粘度低速流体流动)。
通过墙壁大量蒸腾(例如吹/抽)。
逆压梯度导致边界层分离。
强力(例如,靠近旋转盘或浮力驱动的流动)。
●近壁处的三维流动(例如,εkman螺旋流动或强倾斜的3D边界层)
当在SIAR〔CM内部计算流体/固体的耦合换热时,不同的HTC选择不会影响最终的计算结果。但是,当使用其他软件来计算固体的温度时,不同HT℃的选择就会非常重要,将会影响计算结果。
对于双向耦合的流体/体温度计算来说,我们的建议方案是:固体模型传递给流体模型表面温度
●流体模型传递给固体模型对流换热系数和响应的参考温度
STAR CCM Orline
■单热模型:不包括相变、辐射换热
◆使用 Specified Y+ Heat transfer Coefficient和 Specified Y+ Heat transfer Reference Temperature
多热模型:流体流动+辐射+相变
◆使用 Local heat transfer coefficient和 Local Heat Transfer Reference Temperature
1)局部换热系数 Local heat transfer coefficient(LHTC)
不合理的参考温度将会造成不合理的数值对于lowy+网格来说,其结果与文献差别较大
2)设置y+值换热系数 Specified y+ Heat transfer coefficient(Sy+HTC)
●合理的y+值可以得到与文件一致的数值不需要选择参考温度
3)换热系数 Heat transfer coefficient(HTC)
危险,如果选择不合理的参考温度,可能得到负值的HTC当温度变化是,比较难以确定参考温度
4)虚拟局部换热系数 /irtual local heat transfer coefficient( VLHTC
危险,谨慎使用不与任何参考温度配对与文献的数值差别较大
文章来源:新能源汽车热管理仿真技术
工程师必备
- 项目客服
- 培训客服
- 平台客服
TOP




















