IJP:非均相多晶体中尺寸相关的微孔生长
2022年12月26日 10:49由于微纳米力学的发展,材料强度的尺寸效应在过去几十年引起了科学界的广泛关注。为了探索尺寸效应的内在机制,进行了大量的微观尺度实验,如微扭曲、微压痕等。这些实验都得出了一个共同的结论,即样本量越小,材料强度越强。同时还发现,材料强度的尺寸效应可能来源于与几何必需位错(GNDs)相关的应变梯度。另一方面,不同的SG塑性理论相继被发展出来(研究微米/亚微米尺度的一些力学问题),这些理论有效地结合了统计存储位错(SSDs)和几何必需位错(GNDs)。
大多数关于尺寸依赖微孔生长的研究都是在单晶或均匀基体进行的,然而,大多数韧性金属材料呈现非均相多晶微结构,它们的晶粒通常表现出不规则的形状和随机的晶体方向。微孔生长具有较强的尺寸效应,即越小的微孔生长速率越低。韧性金属材料的断裂通常受微孔洞的形核、生长和最终聚结所控制,由于孔洞生长阶段通常在韧性断裂过程中起着至关重要的作用,系统研究韧性金属材料内部孔洞生长机制对理解韧性金属材料的损伤演化具有重要意义。非均相多晶体中微孔生长的尺寸依赖问题,除了微孔尺寸外,晶粒尺寸和微孔与晶粒的尺寸比是另外两个重要的特征长度。前者可导致材料强度的晶粒尺寸效应,即著名的Hall- Petch关系,后者可诱导微孔洞周围的晶粒尺度不均一变形效应。
华中科技大学的Jianqiu Liu等人采用经典的局部和非局部应变梯度晶体塑性有限元模拟方法研究了非均质多晶中尺寸相关的微孔生长, 采用局部CP理论和非局部CP理论描述了典型面心立方(FCC)多晶铜的应力应变响应。结果表明,孔隙-晶粒尺寸比和绝对微孔尺寸对微孔生长均有显著影响,分别为第一类(由晶粒尺度非均质变形引起)和第二类(由塑性应变梯度引起)尺寸效应。此外,宏观应力三轴度T对微孔生长的尺寸效应有显著影响,而Lode参数L的影响可以忽略不计。由于晶粒取向分布和晶粒几何特征的随机性,在多晶环境中,小微孔生长的速度甚至可能比大微孔生长的速度快,这意味着在多晶环境中,微孔生长的尺寸效应应该从统计学的角度来理解。
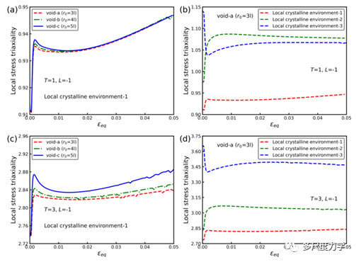
为了研究微孔生长的尺寸依赖性,并考虑上述三个特征材料尺度参数(即孔隙尺寸、晶粒尺寸和孔隙-晶粒尺寸比)的影响,作者利用开源软件Neper生成了包含140个voronoi型晶粒的三维多晶RVE (0.1 mm × 0.1 mm × 0.1 mm),如图1(a)所示。在不同RVE模型的同一双晶界处构造了三个初始半径r0 = {3l, 4l, 5l}的球形微孔隙,如图1(b)所示,分别为孔隙-a,孔隙-b和孔隙-c。对于多晶铜,由计算式估计本征材料长度l为0.4 微米。在有限元模拟中,作者采用C3D10M单元和梯度网格法对孔洞RVE模型进行网格划分,对于不同微孔尺寸的RVE模型,其网格尺寸梯度是相同的。如图2(a) -2 (c)中的Ori-1、Ori-2和Ori-3。在这些反极图中,含有粒间微孔(即位于双晶晶界处的微孔,如图1(b)所示)的晶粒用红色和绿色标记。在{T = 1, L =−1}处,局部CP模型和非局部CP模型模拟的孔洞增长结果如图3(a) - 3(c)所示,分别对应于图2(a) - 2(c)所示的不同晶粒取向情况下的RVE模型。图3(a)所示的Ori-1晶粒取向分布可以看出,没有SG效应的微孔生长速率f/f0明显高于有SG效应的微孔生长速率f/f0。也就是说,SG能显著降低微孔的生长速率。在没有SG效应和有SG效应的情况下,都可以清楚地观察到微孔生长的尺寸效应(即微孔越大,其生长速度越快),一方面,在不考虑SG效应的情况下,微孔洞周围的塑性变形场不依赖于微结构的绝对几何尺寸;然而,即使没有这种SG效应,相应的模拟孔洞增长(见图3所示的蓝线)仍然是大小相关的。另一方面,非局部本构关系考虑SG和本征材料长度l时,微孔周围的塑性变形场依赖于所有材料微观结构的绝对几何尺寸,由塑性应变梯度(与微孔的绝对尺寸有关)引起的孔洞生长尺寸效应被称为第二类(由塑性应变梯度引起)尺寸效应。因此,可以推测这些情况下微孔生长的捕获尺寸效应应该是由微孔周围的晶粒尺度非均匀变形引起的,这与微孔与晶粒的尺寸比有关。这种现象被称为第一种孔洞增长尺寸效应。SG效应降低了微孔洞的生长速率,这可能是由于GNDs对基体的硬化作用,使相邻晶粒之间的变形不相容。SG能显著降低微孔的生长速率。如图4所示,在微孔周围累积的等效塑性滑移γ等值线(r0 = 5l)可以进一步验证这一点。明显地,有SG效应的微孔周围的γ水平比没有SG效应的小得多,表明SG硬化有效地阻碍了微孔的生长。对于r0 = {3l, 4l, 5l}三种不同孔隙尺寸的RVE模型,采用6个宏观应力三轴性T = {1 / 3,1,1.5, 2,2.5, 3}, Lode参数L恒定为-1;采用非局部(MSG) CP模型,利用or -1晶粒取向分布,得到了孔洞生长f/f0随等效应变εeq(即f/f0 ~ εeq曲线)的演化过程,如图5(a)所示。可以清楚地看到,在低应力三轴度T = 1/3(对应单轴张力)时,不同孔隙尺寸的f /f0 ~ εeq曲线几乎重合。当应力三轴度增大到T = 3(对应于裂纹尖端附近的应力状态)时,f /f0 ~ εeq曲线的差异更加显著,特别是当等效应变εeq较大时。对比图6(a)和图6(b)可以清楚地发现,不同局部晶体环境引起的局部应力三轴度的差异Tlocal大于不同孔隙尺寸引起的局部应力三轴度差异。当宏观应力三轴度增大到T = 3时,如图6(c)和6(d)所示,这种现象更加显著。图6(a)和图6(c)的局部应力三轴度分析也可以解释为什么在当前多晶环境中,随着宏观应力三轴度T的增大,孔隙生长尺寸效应更加显著。如图6(a)所示,当宏观应力三轴度T = 1较低时,不同孔隙尺寸的局部应力三轴度Tlocal差异较小,特别是在等效应变εeq较大时。当宏观应力三轴度增加到T = 3时(见图6(c)),局部应力三轴度Tlocal的差异变得更加显著。显然,较大的宏观应力三轴度T导致不同孔隙尺寸的Tlocal差异更显著,进而导致孔隙生长尺寸效应增强。
最后,作者得出主要结论如下:1、即使采用经典的局部CP理论,在非均相多晶体中也可以发现微孔生长的尺寸效应,即越大的微孔生长得越快。2、采用非局部CP理论,微孔生长的尺寸效应更加显著。尺寸效应的额外贡献可能来自于应变梯度和在微空洞表面和晶界周围产生的几何必需位错。3、宏观应力三轴度T对非均相多晶微孔生长的尺寸效应有显著影响,当宏观应力三轴度T = 3(对应于裂纹尖端附近的应力状态)较高时,微孔生长的尺寸效应更为显著。4、Lode参数L虽然与材料微观结构的形状变化密切相关,但对非均相多晶微孔生长的尺寸效应没有明显影响。5、多晶环境中,较大的微孔可能并不总是比较小的微孔生长得快。晶粒的随机取向分布和晶粒的几何特征都会影响非均相多晶微孔的生长。
相关成果以“Size-dependent microvoid growth in heterogeneous polycrystals”为题发表在International Journal of Plasticity上(Volume 158, October 2022, Article number 103410),论文第一作者为Jianqiu Liu,通讯作者为Minsheng Huang。
工程师必备
- 项目客服
- 培训客服
- 平台客服
TOP




















