HCP多晶变形与织构演化模拟
对于HCP密排六方结构,四指数Miller-Bravais 坐标系{a1, a2, a3, c}最为方便。a1、a2和 a3三条轴线之间的夹角为 120,即 a1 + a2 + a3 = 0,c 轴与它们垂直。纯镁的晶格参数为 a = 0.3209,c = 0.5211,其轴比 c/a = 1.624 与理想 HCP 结构的轴比 1.633 十分接近。
一般认为,HCP 结构金属的滑移机制在最密排面上很容易开动,而最密排面与 HCP 晶体的轴比 c/a 有关。对于轴比大于理想轴比(c/a =1.633)的镉(1.866)和锌(1.856)及轴比接近理想轴比的镁(1.624)和钴(1.623)来说,室温下最密排面为 (0001) 基面,因此基面滑移最容易开动。
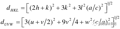
然而对于比理想轴比小的晶体材料如钛(1.587)和锆(1.593),室温下最密排面则为(1010)柱面,此时柱面滑移最容易开动。镁合金常见的滑移系包含基面<a>滑移、柱面<a>滑移、锥面<a>滑移和锥面<c+a>滑移,。其中基面<a>和柱面<a>滑移都只能提供 2 个独立的滑移系,且它们的滑移方向都在基面上,不能协调沿 c 轴方向的变形。锥面滑移包含锥面<a>滑移和锥面<c+a>滑移。锥面<a>滑移可提供 4 个独立滑移系,但其滑移方向也在基面上,不能协调沿 c 轴方向的应变。从晶体学上看,锥面<a>滑移可以看作是由两个基面<a>和两个柱面<a>滑移叠加而成[4,5]。锥面<c+a>滑移可以提供 5 个独立的滑移系且其滑移方向为 <1123> ,能够很好地协调沿 c 轴方向的应变。应用黄永刚程序时默认使用三指数形式。三轴坐标指数与四轴坐标系的转化关系为:
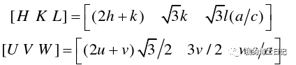
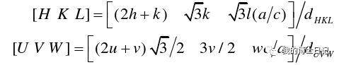
归一化的三轴米勒指数表示为:
归一化表示为:
归一化后的滑移方向和滑移法向为(以镁合金为例)
% Slip and twinning systems in Mg (c/a = 1.624)
% first 3 numbers: direction, second 3 numbers: plane normal
%%%%%%%%%%%%%%%%%%%%%%%%%%%%%%%%%%%%%%%%%%%%%%%%%%%%%%%%%%%%%
% Slip systems:
%----------------------------------------------
% {0 0 0 1} <-1 2 -1 0> basal slip (in <a> direction)
0.5 0.866 0.0 0.0 0.0 1.0
0.5 -0.866 0.0 0.0 0.0 1.0
1.0 0.0 0.0 0.0 0.0 1.0
% {1 0 -1 0} <-1 2 -1 0> prism slip (in <a> direction)
0.5 0.866 0.0 0.866 -0.5 0.0
0.5 -0.866 0.0 0.866 0.5 0.0
1.0 0.0 0.0 0.0 1.0 0.0
% {1 0 -1 1} <-1 2 -1 0> pyramidal slip (in <a> direction)
0.5 -0.866 0.0 0.764 0.441 0.471
1.0 0.0 0.0 0.0 0.882 0.471
0.5 0.866 0.0 -0.764 0.441 0.471
0.5 -0.866 0.0 -0.764 -0.441 0.471
1.0 0.0 0.0 0.0 -0.882 0.471
0.5 0.866 0.0 0.764 -0.441 0.471
% {1 0 -1 1} <-1 -1 2 3> 1st order pyramidal slip (in <c+a> direction)
-0.262 -0.454 0.852 0.764 0.441 0.471
-0.524 0.0 0.852 0.764 0.441 0.471
0.262 -0.454 0.852 0.0 0.882 0.471
-0.262 -0.454 0.852 0.0 0.882 0.471
0.524 0.0 0.852 -0.764 0.441 0.471
0.262 -0.454 0.852 -0.764 0.441 0.471
0.262 0.454 0.852 -0.764 -0.441 0.471
0.524 0.0 0.852 -0.764 -0.441 0.471
-0.262 0.454 0.852 0.0 -0.882 0.471
0.262 0.454 0.852 0.0 -0.882 0.471
-0.524 0.0 0.852 0.764 -0.441 0.471
-0.262 0.454 0.852 0.764 -0.441 0.471
% {1 1 -2 2} <-1 -1 2 3> 2nd order pyramidal slip (in <c+a> direction)
-0.262 -0.454 0.852 0.426 0.737 0.524
0.262 -0.454 0.852 -0.426 0.737 0.524
0.524 0.0 0.852 -0.852 0.0 0.524
0.262 0.454 0.852 -0.426 -0.737 0.524
-0.262 0.454 0.852 0.426 -0.737 0.524
-0.524 0.0 0.852 0.852 0.0 0.524
% Twinning systems:
% ------------------------------------------
% {1 0 -1 2} <-1 0 1 1> tension twin
-0.632 -0.365 0.684 0.592 0.342 0.73
0.0 -0.73 0.684 0.0 0.684 0.73
0.632 -0.365 0.684 -0.592 0.342 0.73
0.632 0.365 0.684 -0.592 -0.342 0.73
0.0 0.73 0.684 0.0 -0.684 0.73
-0.632 0.365 0.684 0.592 -0.342 0.73
通常模拟过程中需要考虑孪晶的变形,对于孪晶模拟的方案目前比较容易实现的PTR主导孪生重定向,即通过引入孪晶体积分数的概念,当积分点的孪晶体积分数达到阈值后,绕着主孪晶系面法线方向旋转特定角度。
模拟通过编程umat子程序实现,正确性通过damask程序进行对比验证。验证正确性通过织构演化确定。
模拟考虑三组滑移+一组孪晶
滑移为BASAL <a>{0 0 0 1}<1 1 -2 0>,3组
PYRAMIDAL<c+a>{1 1 -2 2}<-1 -1 2 3> 6组 (二阶)
PRISMATIC {1 0 -1 0}<1 1 -2 0> 3组
孪晶为TENSILE TWIN {1 0 -1 2}<-1 0 1 1> 6组
1,沿着RD压缩50%:
编写子程序结果
damask模拟结果
2,沿着RD拉伸50%:
编写子程序结果
damask模拟结果
3,沿着ND平面应变压缩结果:
编写子程序结果
damask模拟结果
多晶拉伸变形模拟(参数与damask保持一致)
包含500个晶粒100000个单元的多晶体模拟,沿着X方向施加50%的工程应变
模拟结果如下:
应力分布
孪晶分布
累计剪切应变分布
BASAL累计剪切分布
PYRAMIDAL<c+a>累计剪切分布
PRISMATIC累计剪切分布
TENSILE TWIN累计剪切分布
模拟结果在织构演化方面与damask程序具有良好的一致性。并且很好二的表现了孪晶的出现,以及对于塑性变形的相对低的贡献。
工程师必备
- 项目客服
- 培训客服
- 平台客服
TOP




















