OptiSystem应用:数字调制-DPSK
本教程的目的是演示如何使用OptiSystem组件库设计8 DPSK脉冲发生器。 本教程包含了一些此处演示参考的项目文件。有关项目文件名称,请参阅本教程的末尾。 建议您使用OptiSystem组件库手册阅以读此处介绍的各个组件的技术说明。
在创建一个项目之前,需要使用OptiSystem定义全局参数。
图1. DPSK发射器全局参数
创建一个项目
设置全局参数后,我们可以开始添加组件来设计DPSK发射器。
下一步是设置参数并连接组件。 在这个设计中,对于DPSK序列发生器组件,我们将使用图2中给出的参数。其他组件参数将使用其默认值。
图2. DPSK Sequence Generator组件参数
组件和观察仪应根据图3进行连接。
该布局相当于DPSK脉冲发生器。 请参阅OptiSystem项目文件:
“DPSK Step 1 – Pulse Generator.osd”
图3. DPSK脉冲发生器
为了演示全局和DPSK参数如何影响仿真结果,我们可以运行该仿真并分析观察仪的结果。
运行仿真
要运行模拟,请执行以下步骤。
查看模拟结果
运行计算后,我们可以分析观察仪的结果。 要显示观察仪的结果,请执行以下操作。
您应该看到星座图分别显示了X轴和Y轴上的同相和正交相位。 图4给出了仿真结果。对于DPSK调制,这是一个众所周知的结果,每个符号使用3位,无相移-8 DPSK。但是我们只是模拟64位,这不是所有的8 DPSK的组合。
图4.8位DPSK调制星座图(每码元3比特)
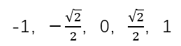
对于DPSK,有5个可能的值:
对于I和Q信号(见图5)
图5.同相和正交相位多进制信号
使用DPSK Sequence Decoder
我们已经有I和Q多进制信号,然而在使用正交调制器调制这些信号之前,我们可以测试这些信号是否可以被正确解码成原始的二进制序列。这可以使用不同的布局或重组前一个布局。
为了比较编码/解码之前和之后的二进制信号,我们应该使用诸如电脉冲生成器,如RZ脉冲生成器来调制原始二进制序列和解码序列。
图6. 测试DPSK序列编码与解码
我们可以看到,两个示波器的电信号是相同的,因为我们编码,然后解码的是相同的二进制信号。如图7所示。
图7. 经过DPSK编码/解码后的电信号
使用多阈值检测器
下一步是使用多阈值检测器检测I和Q电信号。 通过使用阈值检测器,我们可以恢复原始的DPSK序列,然后将序列解码为原始的二进制信号。 您可以使用图3中的系统和图6中的组件。但是,您将需要一个添加一个组件:
主要的挑战是在阈值检测器组件中设置阈值和输出幅度值。
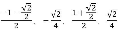
由于我们知道这是一个8 DPSK,输出振幅应该是
检测器将要求阈值来评估输入信号以确定等效输出电平,假设输入值与输出值相同(图8),我们将根据信号输入设置阈值
或等效数值: - 0.85,-0.353,0.353和0.85。
这些值将用于输入信号与阈值之间的比较:
表2:基于阈值振幅的输入和输出
此外,参数参考比特率应与多级信号比特率一致,这是二进制序列的原始比特率除以每个码元的比特数:全局比特率/ 3。图8为两个检测器的参数。
图8. M-ary Threshold Detector参数
图9. DPSK脉冲生成器和检测器
运行仿真后,您将看到二进制源和解码器输出上的示波器的结果相同(与图7结果相似)。 如果您没有合适的全局序列长度值,例如512bits,则图形将不同。
增加正交调制
我们已经知道如何对DPSK信号进行编码和解码; 现在我们可以使用正交调制来调制多进制信号。
图10. DPSK发射器
这是建立我们的DPSK发射器的最后一步,现在运行仿真并观察信号输出的频谱(图11)。
图11.DPSK发射器输出
观察到信号的中心频率为调制频率为550 MHz,模拟带宽由全局参数采样率(1.944 GHz / 2 = 972 MHz)的半值定义。 这意味着如果要增加模拟带宽以适应更高的调制频率(> 900 MHz),则应在全局参数窗口中更改每比特采样数。
加正交解调
我们已经知道如何编码,解码和调制DPSK信号; 现在我们可以使用正交解调来解调DPSK信号。
图12. DPSK发送与接收器
对于正交解调器,频率参数因与发射器载波频率一样。为了正确地形成和缩放输出信号,阈值频率因此需要再次进行调整。
正交解调器的输出信号如图13所示,信号与图5中的信号基本相同,但是它们由正交解调器低通滤波器时会出现失真。 如果在发射器和接收机之间添加一个信道,信号可能会有附加的失真和噪声。
图13. 同相和正交相位多进制解调信号
下一步是比较发射机和接收机的二进制信号。 如果系统参数正确,则应该具有与图7中相同的结果。
图12所示的布局是一个完整的8 DPSK发射器和接收器项目。 您可以使用该项目作为其他类型调制的起点,如QAM和OQPSK。 有关软件中可用的不同类型调制的说明,请参阅OptiSystem组件库文档。
使用调制器库以节省设计时间
以前的发射机设计需要多个组件对信号进行编码,产生多进制脉冲,并最终调制信号。现在您可以使用包括编码器和脉冲发生器的脉冲发生器库中的组件,或者使用包括脉冲生成器和正交调制器的调制器库中的组件。
在先前的布局(图12)中,删除DPSK序列发生器,M元脉冲发生器和正交调制器以及连接到它们的观察仪。
图14. DPSK发射器(使用DPSK调制器)和接收器
正如你所看到的,通过使用DPSK调制器代替多个组件,系统的设计比图12更快。另一方面,在设计数字调制发射器时,您无法访问所有的内部信号,这有助于您进行测试并理解设计过程中会遇到的挑战。
绘制多进制信号眼图
OptiSystem可以绘制和估计级两(二进制)信号的光学系统的BER。 当使用多进制信号时,您无法直接估计BER值,但您仍然可以绘制眼图。
图15. PRBS生成器来生成多进制眼图的参数
图16. DPSK系统,包括生成眼图的组件
在这个例子中,我们添加了眼图工具来绘制正交调制器输出上的多进制同相信号。
主要参数是PRBS的比特率。 它应该是二进制比特率除以每个码元的比特数,例如,M位比特率。 这与阈值检测器中使用的值相同。
图17. 8DPSK系统在接收器上的眼图
工程师必备
- 项目客服
- 培训客服
- 平台客服
TOP




















