渐变折射率(GRIN)透镜的构建和建模
浏览:2079
成像系统>先进PSF计算
任务描述
如何构建一个GRIN透镜?
如何对其进行光线和场追迹?
要点
光线和场追迹方便切换
快速和准确计算成像系统的PSF
模拟由GRIN分量引入的偏振串扰
技术参数:光源
技术参数:GRIN透镜
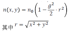
折射率n(x, y)
根据[1]我们使用
技术参数:探测器
结果:3D系统光线追迹
结果:PSF
从光线追迹到场追迹只需要一个按钮:
点图
PSF
方便实现光线和场追迹之间的转换
结果:PSF
光线追迹~2s
第二代场追迹.~3s!!!
快速和准确计算成像系统的PSF
结果:偏振串扰
结果:偏振串扰
仿真了由GRIN分量引入的偏振串扰
文件和技术信息
技术邻APP
工程师必备
工程师必备
- 项目客服
- 培训客服
- 平台客服
TOP




















