北鲲教程|基于ABAQUS的CFRP加固钢筋混凝土柱承载能力分析

北鲲教程|基于ABAQUS的CFRP加固钢筋混凝土柱承载能力分析的图1 北鲲教程|基于ABAQUS的CFRP加固钢筋混凝土柱承载能力分析的图2

随着我国经济实力快速发展与国家竞争力迅速提高,尤其是“一带一路”倡议与“海洋开发战略”实施,我国基础设施建设正逐步冲破东部地区的狭长地带,不断扩展至更加广阔的海洋与西部地区。
混凝土结构作为土木工程中最常用的结构形式,在房屋建筑、桥梁、隧道、矿井、水利、海港等工程中的应用非常广泛。据统计,2020年我国高速铁路里程将达到3万km,水力发电将达到3.2×108kW,高速公路将达到7万km,核电装机容量将达到5800kW。混凝土材料与结构是这些重大基础设施的主体,图1中列出国内几项重大基础设施项目的混凝土总用量[1,2]。

北鲲教程|基于ABAQUS的CFRP加固钢筋混凝土柱承载能力分析的图3
图1 国内部分大型工程混凝土用量 (单位:m3)

但重点基础设施向海洋、西部拓展,海洋的波浪、潮汐、盐雾,加之高温(冰冻)、高湿环境;西部的干热、干冷,多风环境,尤其是海洋和西部盐渍土地区高浓度的氯离子与硫酸根离子的腐蚀作用(图2),对重大基础设施 钢筋混凝土结构的可靠性和耐久性提出了严峻的挑战。这就对混凝土材料的性能提出更高的要求,同时也迫切需要找到一种新材料来延长混凝土材料和结构的长期耐久性。
钢筋混凝土结构常暴露在各种环境下,会导致材料性能逐渐发生衰退。从图2中可以看到,混凝土桥墩的劣化现象已经非常严重,亟需对其进行加固改造或拆除重建。碳纤维增强聚合物复合材料(CFRP)的出现,为实现混凝土在恶劣环境下的长期耐久性提供一种新的思路。目前,CFRP对既有混凝土结构工程的修复加固已成为建设领域中的重要组成部分。
北鲲教程|基于ABAQUS的CFRP加固钢筋混凝土柱承载能力分析的图4
(a) 锈蚀严重的钢筋混凝土桥墩
北鲲教程|基于ABAQUS的CFRP加固钢筋混凝土柱承载能力分析的图5
(b) 潮汐变化的近海桥墩
图2 钢筋混凝土桥墩

碳纤维增强复合材料是以碳纤维或碳纤维织物为增强体,以树脂、陶瓷、金属、水泥、碳质或橡胶等为基体所形成的复合材料(图3)。在众多轻量化材料中具有较高的比强度、比刚性,轻量化效果十分明显,在航空航天、军工产品中得到广泛应用。--引自百度百科

北鲲教程|基于ABAQUS的CFRP加固钢筋混凝土柱承载能力分析的图6
图3 CFRP图
“云计算”指通过计算机网络(多指因特网)形成的计算能力极强的系统,可存储、集合相关资源并可按需配置,向用户提供个性化服务。基于上述背景,本文基于北鲲云超算平台预置的 ABAQUS软件对混凝土柱进行数值模拟,并通过外侧包裹CFRP来对原有 混凝土柱进行增强加固处理,对比有无CFRP包裹对钢筋混凝土柱承载力的影响。
北鲲教程|基于ABAQUS的CFRP加固钢筋混凝土柱承载能力分析的图7
表1 计算工况

工况类别
注释
网格
工况一
素混凝土
混凝土C3D8R,共计9600个
工况二
混凝土+钢筋
混凝土C3D8R,共计9600个;钢筋B31,共计780个
工况三
混凝土+钢筋+CFRP
混凝土C3D8R,共计9600个;钢筋B31,共计780个;CFRP包裹布S4R,共计2280个

模型概述:
柱长:H=1500mm
横截面:D=300mm
混凝土C50
钢筋采用理想弹塑性模型、保护层厚度假设50mm,箍筋间距200mm、加载板采用R3D4刚体单元,共计350个单元。

2.1 工况1

北鲲教程|基于ABAQUS的CFRP加固钢筋混凝土柱承载能力分析的图8
工况一计算模型示例
北鲲教程|基于ABAQUS的CFRP加固钢筋混凝土柱承载能力分析的图9
场变量输出设置
北鲲教程|基于ABAQUS的CFRP加固钢筋混凝土柱承载能力分析的图10
边界条件设置

底部全约束,顶部采用位移加载的形式,向下-15mm
北鲲教程|基于ABAQUS的CFRP加固钢筋混凝土柱承载能力分析的图11
边界条件设置

北鲲教程|基于ABAQUS的CFRP加固钢筋混凝土柱承载能力分析的图12
材料参数,并行计算核心数目

北鲲教程|基于ABAQUS的CFRP加固钢筋混凝土柱承载能力分析的图13
工况一计算结果
北鲲教程|基于ABAQUS的CFRP加固钢筋混凝土柱承载能力分析的图14
工况一:荷载-位移曲线

2.2 工况2
北鲲教程|基于ABAQUS的CFRP加固钢筋混凝土柱承载能力分析的图15

工况二算例模型组成
北鲲教程|基于ABAQUS的CFRP加固钢筋混凝土柱承载能力分析的图16
钢筋材料参数

北鲲教程|基于ABAQUS的CFRP加固钢筋混凝土柱承载能力分析的图17
工况二计算结果

北鲲教程|基于ABAQUS的CFRP加固钢筋混凝土柱承载能力分析的图18
工况二 荷载-位移曲线

可以看到,在竖向荷载作用下,钢筋混凝土柱中部受损最为严重,有向外“鼓胀”的趋势,由于受到钢筋笼的约束作用,混凝土并未出现如工况1结果中的竖向受拉破坏区域,这与实际试验破坏模式是类似的。

2.3 工况3
采用Lamina定义CFRP材料参数
北鲲教程|基于ABAQUS的CFRP加固钢筋混凝土柱承载能力分析的图19
CFRP材料参数设置

北鲲教程|基于ABAQUS的CFRP加固钢筋混凝土柱承载能力分析的图20
定义Hashin损伤参数

北鲲教程|基于ABAQUS的CFRP加固钢筋混凝土柱承载能力分析的图21
CFRP铺层设置

北鲲教程|基于ABAQUS的CFRP加固钢筋混凝土柱承载能力分析的图22
CFRP材料方向

北鲲教程|基于ABAQUS的CFRP加固钢筋混凝土柱承载能力分析的图23
定义场变量输出

北鲲教程|基于ABAQUS的CFRP加固钢筋混凝土柱承载能力分析的图24

计算效率很低,200个增量步后终止计算

北鲲教程|基于ABAQUS的CFRP加固钢筋混凝土柱承载能力分析的图25
工况三计算结果截图
北鲲教程|基于ABAQUS的CFRP加固钢筋混凝土柱承载能力分析的图26
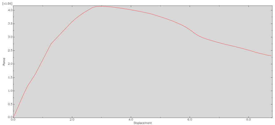
工况三 荷载-位移曲线
北鲲教程|基于ABAQUS的CFRP加固钢筋混凝土柱承载能力分析的图27
三种计算工况对比

可以看出,三种计算工况的荷载-位移曲线的分布趋势大致相同,但承载能力的大小确有明显不同。与工况1素混凝土情况相比,考虑钢筋后的工况2,其承载力增大了7.81%。

计算机配置:

Windows系统版本 windows 10专业版
版本号 20H2
系统类型 64位操作系统
处理器  Intel(R) Core(TM) i7-10700F CPU @ 2.90GHz   2.90 GHz
机带RAM 32GB
计算耗时统计

工况类别
计算耗时
工况一
10min50s
工况二
11min13s
工况三
25min


北鲲教程|基于ABAQUS的CFRP加固钢筋混凝土柱承载能力分析的图28
使用云计算平台可不占用自身电脑内存,相当于远程使用工作站,为了突显云计算的优势,本节将带着大家在北鲲云平台上进行有限元分析。
点击官网后,进行新用户注册, 可领取100元体验金,然后可进入“控制台”,看到体验金用量。
为了节省计算时间,可在自己笔记本中建立好模型,将生成的文件(.cae)传输至北鲲云计算后台,计算过程如下图所示。

北鲲教程|基于ABAQUS的CFRP加固钢筋混凝土柱承载能力分析的图29
北鲲教程|基于ABAQUS的CFRP加固钢筋混凝土柱承载能力分析的图30

该文件上传完毕后,就已经存储于北鲲云后台,可以随时备用,不用担心数据的丢失问题,北鲲云给予普通用户200G的云内存,可放心使用。接下来就是使用北鲲云了,用户可以自制Abaqus模板,一旦制作完成,以后每次使用就可以“即点即用”,模板的制作就不在这里演示了,可以发送:“自己的北鲲云用户名+北鲲云模板”至公众号: 易木木响叮当,如:Yimumu+Abaqus2020。

北鲲教程|基于ABAQUS的CFRP加固钢筋混凝土柱承载能力分析的图31
北鲲教程|基于ABAQUS的CFRP加固钢筋混凝土柱承载能力分析的图32

在我们使用模板,或者使用别的应用遇到问题时,可以点击右下角帮助中心,热心客服会为你在线解答(已经试过,真的很热心)。大多数新用户可能比较在意的是费用标准,上图所示的是我经常使用的价位,对于一般的模型可以尝试使用特惠版的CPU类型,性价比较高,对于自由度规模较大的模型,可适当增加CPU的核心数,同时价位也会随之上升。对于刚注册的用户可以领取到100元体验金,按照上图所示的费用标准,可以试想能运行多久。

北鲲教程|基于ABAQUS的CFRP加固钢筋混凝土柱承载能力分析的图33

选计费标准后,就来到了图形界面连接页面了,先应该复制锁屏密码,下载连接文件,点击进入后 ,输入复制的密码,这时就已经进入到了云计算的世界里面了。传输的文件会出现在H盘中,为文件的读入速度,可将文件复制到C盘中进行。

北鲲教程|基于ABAQUS的CFRP加固钢筋混凝土柱承载能力分析的图34

来到“图形界面”内部,看着是不是很像个人笔记本的页面,实际上可以把他看作是你在远程操作一台“可控性能”的计算机。

北鲲教程|基于ABAQUS的CFRP加固钢筋混凝土柱承载能力分析的图35
北鲲教程|基于ABAQUS的CFRP加固钢筋混凝土柱承载能力分析的图36

提升计算速度小贴士:在Abaqus的计算过程中,默认设置是两个进程,如下图所示,用户可以增加进程数来提高计算速度,进程数最多可达个人笔记本的CPU总核数。

北鲲教程|基于ABAQUS的CFRP加固钢筋混凝土柱承载能力分析的图37

运行模板中的Abaqus进行求解,结算结果如图所示,将计算的结果文件.odb文件传复制到H盘中,即可在文件传输界面中看到计算结果文件,下载后用于后处理,退出模板,释放节点,释放节点后,云计算会将所有计算文件清除。

北鲲教程|基于ABAQUS的CFRP加固钢筋混凝土柱承载能力分析的图38
北鲲教程|基于ABAQUS的CFRP加固钢筋混凝土柱承载能力分析的图39
北鲲教程|基于ABAQUS的CFRP加固钢筋混凝土柱承载能力分析的图40

主要对比了CFRP包裹加固钢筋混凝土柱对承载力的影响。分别开展了素混凝土柱、钢筋混凝土柱以及外侧包裹CFRP加固+钢筋混凝土柱三种有限元数值模拟计算。计算结果表明:

ØCFRP包裹钢筋混凝土柱对承载力有显著影响,包裹CFRP后承载力提升了12.05%。这是由于利用CFRP进行加固时,原有混凝土结构承担的部分荷载通过粘结胶层传递给CFRP,从而降低了原有混凝土结构的部分应力水平,从而起到增强加固的效果。

Ø利用ABAQUS自带的混凝土CDP塑性损伤本构和Hashin损伤本构可以很好地模拟钢筋混凝土和CFRP包裹加固对梁、柱、板承载力的计算。

参考文献:

[1] 金祖权. 氯盐-硫酸盐环境下钢筋 混凝土腐蚀损伤[M]. 科学出版社,2021.
[2] 顾祥林. 混凝土结构的环境作用[M]. 科学出版社,2021.
[3] Erdil, B., Akyuz, U. & Yaman, I.O. Mechanical behavior of CFRP confined low strength concretes subjected to simultaneous heating–cooling cycles and sustained loading. Mater Struct 45, 223–233 (2012). https://doi.org/10.1617/s11527-011-9761-6
[4] 硫酸盐环境中CFRP 约束劣化混凝土柱的力学性能[J]. 复合材料学报.
登录后免费查看全文
立即登录
App下载
技术邻APP
工程师必备
  • 项目客服
  • 培训客服
  • 平台客服

TOP

8
1
18