来源 | Journal of Energy Storage
01
背景介绍
为了减少碳排放和防止全球变暖,电动汽车(EVs)和混合动力汽车(HEVs)发展迅速,有望取代传统汽油车。其中锂离子电池以其能量密度高、无记忆效应、循环寿命长等优点作为电动汽车的主要能源。电池系统的性能和寿命受到工作温度的限制。随着能量密度的增加,电池在运行过程中必须产生大量的热量。如果电池产生的热量没有及时散发出去,就会损害电池的工作性能、使用寿命。它很容易发生热失控导致大规模的火灾事故。
近年来,各种电池模块的冷却方法得到了广泛的研究。包括风冷和液冷在内的主动冷却方式一般需要额外的辅助消耗设备和空间,这将相应地提高成本和重量。相比之下,基于相变材料PCM的电池热管理系统(BTMS)因其结构设计简单、冷却效率高、维护成本低等优点而备受关注。聚乙二醇(PEG)作为一种节能环保的储能材料材料引起了人们的广泛关注,它被认为是一种相变材料是一种很有前途的储热材料熔点热大,熔点均匀,无腐蚀性,熔点范围宽。
然而,聚乙二醇是一种经典的固-液相变物质,必须包装在其中特殊密封容器。为了解决这一典型的泄漏问题,采用熔融浸渍法制备了形状稳定的PEG基CPCM。为提高了相变材料的导热系数应进一步提高冷却效果,一般来说导热性能通过加入高导电性热添加剂,如金属粉末、碳纳米管(CN)、石墨烯、氮化铝(AlN)和膨胀石墨(EG)来优化。但是当导热填料粉末作为导热促进剂添加到PCM中,这些小颗粒会聚集在一起形成更大的团簇,这对形成连续换热网络有负面影响将限制优化热导率。
复合相变材料(CPCMs)作为被动冷却系统在电池组中具有很大的应用潜力。但其固有的漏电性和较低的导热系数限制了其在实际应用中的广泛应用。因此,探索一种有效、优越的电池热管理系统(BTM),确保电池在合适的温度范围内工作,抑制锂电池的热传播,将极大地提高电动汽车的安全性,降低事故风险。
02
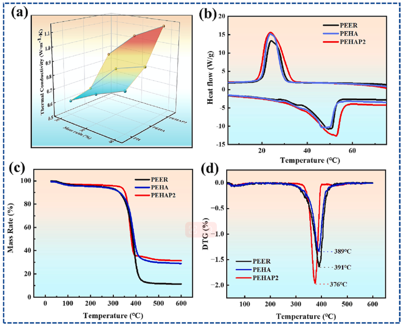
近期,北京理工大学的王永真教授,上海交通大学的黎灿兵教授和广东工业大学的李新喜教授联合取得新进展。该团队通过原位化学还原和物理共混技术的协同方法,成功制备了具有PEG/EG/HNT@AP的高导热CPCM。聚乙二醇(PEG)作为相变基质,高岭土纳米管(HNT)作为支撑材料,可以提供交联网络,防止其泄漏。特别是,膨胀石墨(EG)和银纳米粒子(AgNPs)组装成HNT (HNT@AP),发挥协同作用,构建互连的热网络。结果表明:当HNT@AP含量为40%时,导热系数提高到1.15 W/(mK),相变潜热保持在103.65 J/g;此外,设计了具有PEG/EG/HNT@AP和PEG/EG/ER的电池模块,并分别在充放电循环过程中进行了测量。结果表明,PEG/EG/HNT@AP电池模块在35℃环境温度下,在3C放电速率下也能保持在60℃以下,具有良好的热管理效果。因此,本研究为合理设计高导热复合材料以提高电动汽车电池组的热安全性提供了依据。研究成果以“High thermal conductive and anti-leakage composite phase change material with halloysite nanotube for battery thermal management system”为题发表于《Journal of Energy Storage》。
03
图1.电池模组HNT@AP的制备及CPCM的组装过程。



图8.(a) PEER-Module和(b) PEHAP2-Module的结构示意图。
图9.不同环境温度下,电池模块在不同放电速率下的温度曲线。
图10.(a、b) PEER-Module和(c、d) PEHAP2-Module在不同放电速率下的最大温度和温差环境温度。

图11.(a, b) PEER-Module和(c, d) PEHAP2-Module在环境温度为25和35℃、3C放电速率下的温度循环曲线。
部分素材源自网络,版权归原作者所有。分享目的仅为行业信息传递与交流,不代表本公众号立场和证实其真实性与否。如有不适,请联系我们及时处理。欢迎参与投稿分享!