晶格素化推动了高效的SnSe晶体热电制冷技术
2023年5月29日 09:10

来源 | Science,北航新闻网
01
背景介绍
器件的制冷效率主要由材料的无量纲热电性能优值(ZT值)决定。由ZT值的定义ZT = (S2σ/κ) T 可知,在给定温度T下,高性能材料应具有大的温差电动势S(产生大的电压),高的电导率σ(减小焦耳热损耗)和低的热导率κ(产生大的温差)。然而各个物理参数之间的复杂联系形成了紧密的声子-电子耦合关系,使得热电材料的性能优化极其具有挑战性,调控这些强烈耦合的复杂热电参数是提高材料ZT值和制冷效率的关键。
目前,碲化铋(Bi2Te3)基材料仍为唯一的可应用的热电制冷材料,然而Te元素的地壳稀缺程度等同于白金(且光伏材料CdTe占据一半市场份额),再且 Bi2Te3及热电制冷器件存在可加工性能差、制冷性能不足和运行功耗过高等问题,探索和开发新型热电制冷材料及器件至关重要。
02
成果掠影
03
图文导读
图1. 通过晶格平整策略在 SnSe 晶体中实现高性能发电和Peltier冷却。
结果优于大多数报道的单腿和多对热电装置在相似温差下的转换效率ΔT(图1B)。当热端温度Th固定在~300 K(图1C)时,与商用Bi2Te3基器件的冷却性能相当。此外,在更高的Th条件下可以实现更大的ΔTmax值,在~343 K的Th时ΔTmax接近~90.6 K(图1C)。
图2. SnCuxSe的电传输特性。
在300 K时超过~3000 Scm-1(图2A)。更高的载流子浓度将费米能级推得更深,并激活更多的价带参与电传输,有利于维持更大的塞贝克系数(图2B)。作为电导率和塞贝克系数协同调节的结果,研究人员通过稍微添加0.001 mol Cu在300 K获得了~100 μW cm-1K-2的最大PF值(图2C),其性能优于大多数p型热电材料。电学性能可以通过加权迁移率μw更好地反映,μ和m*之间的协同作用优化了电传输特性能带结构(图2D-F)。
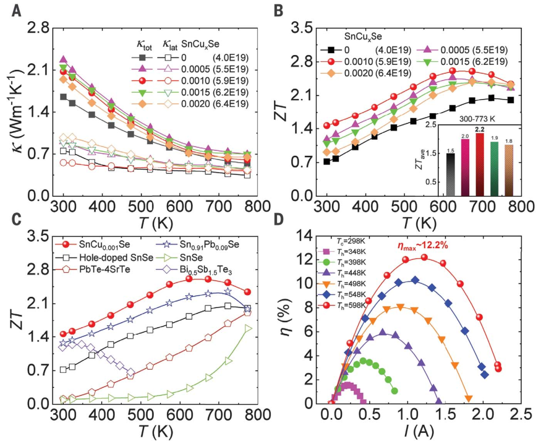
图4. 热传输、无量纲品质因数 ZT 和发电。
热导率在整个温度范围内保持相对较低(图4A)。添加微小的铜原子后,总热导率κtot略有增加,0.0005 mol Cu的样品在300 K时的最大κtot值为~2.3 W m-1 K-1(图4A)。在含0.001 mol Cu的样品中,在300 K时达到了~1.5的最大ZT值(图4B),在300至77.3K时达到了~2.2的创纪录平均ZT(ZTave)(图4B)。p型SnCu0.001Se的单腿热电装置,在~300 K 的温差 ΔT 下实现了~12.2% 的优异能量转换效率 η(图 4D)。
END
工程师必备
- 项目客服
- 培训客服
- 平台客服
TOP




















