CFD专栏丨为什么需要CFD+DEM耦合方法分析颗粒两相流?
2023年5月29日 17:32什么是颗粒两相流?
颗粒-流体两相流在许多行业中都会遇到,包括能源、农业、采矿、食品、制药等。
他的特点是:颗粒(离散相)被气体或液体(连续相)夹带和输运。颗粒和流体介质之间存在质量,动量和能量传递,而且颗粒之间,颗粒和固体壁面也发生碰撞。
模拟颗粒流的数值方法
颗粒相和流体相可以在不同的长度尺度上模拟,通常分为2类:宏观方法(连续介质)和微观方法(离散介质)
Fluid – Resolved Euler (Macro)
Solid – Lagrange (Micro)
DNS-DEM
计算代价极其昂贵
Fluid – Unresolved Euler (Macro)
Solid – Lagrange (Micro)
CFD-DEM
相对精确,
计算代价中等
Fluid – Euler (Macro)
Solid– Euler (Macro)
TFM
精度不高
什么是DEM方法?
DEM离散单元法,就是指每个单元都是离散的,有独立特性的,也就我们常见的颗粒状物料。
离散元法的核心思想就是在拉格朗日坐标体系下,针对每个颗粒进行检索,计算由于接触产生的力,再运用牛顿第二定律进行计算颗粒的加速度/速度和位移的变化,进而得到整个系统的状态。
为什么我们需要CFD+DEM 的耦合方法?
CFD-DEM
可模拟颗粒-颗粒之间,颗粒-容器之间的碰撞
可模拟颗粒在流体介质中的堆积和分离现象
可模拟颗粒和流场的相互影响
可追踪单独或一群颗粒的在流场中的运动轨迹
可计算颗粒受到的流体力
CFD+DEM耦合方法的控制方程
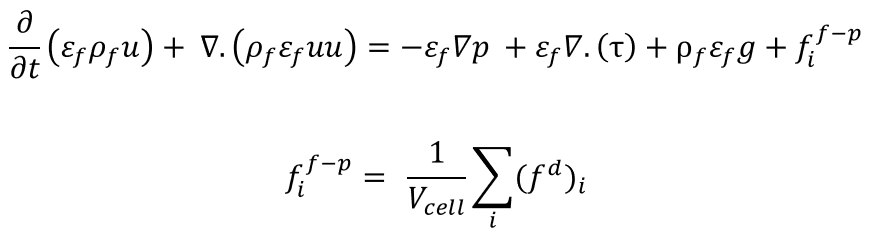
流体相
►Continuity equation:
►Momentum equation:
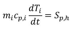
►Energy equation:
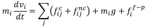
颗粒相
►Newton’s second law of motion (translation):
►Euler’s second law of motion (rotation):
►Energy equation (particle):
Altair® AcuSolve® 和EDEM耦合的特点
颗粒的尺寸可以远远大于CFD的网格尺寸。
支持球形/非球形的颗粒,例如不规则形状的石头在水中的沉降过程。
可模拟能量耦合,例如热的颗粒被空气冷却
CFD动网格模拟刚体运动,例如颗粒通过振动的筛子或旋转的风扇叶片。
可模拟传质现象,例如在颗粒表面镀液膜(coating),或湿颗粒的干燥。
CFD和DEM的模型均支持GPU加速计算,对大模型有显著加速效果。
AcuSolve和EDEM耦合的三种方法
通常可以认为稀疏相的粒子不影响流场,用单向耦合就足够了,计算代价小。
如颗粒是密相,颗粒总体积/流体体积远大于千分之一,则考虑双向耦合。当然这也不是绝对的,主要是看颗粒的存在有没有显著的影响流场。
►
第一种方法:单向稳态耦合
颗粒的存在几乎不影响流场。AcuSolve先完成流场计算后,将稳态结果导出给EDEM即可。
EDEM接着计算颗粒在稳定流场下的运动轨迹。
CFD稳态流场
颗粒运动的动画
►
第二种方法:单向瞬态
颗粒的存在几乎不影响流场。但是 CFD的模型参数可以随时间变化,例如流量,压力,物性参数等等。
AcuSolve和EDEM需同时求解,AcuSolve只负责数据发送,EDEM只负责数据接收。
入口空气流量随之间变化:↗
CFD流场动画
颗粒运动的动画
►
第三种方法:双向瞬态耦合
颗粒的存在显著影响流场。AcuSolve和EDEM需同时求解,在CFD每个迭代步结束的时刻交换流体的速度、压力、温度以及颗粒的位置信息。
EDEM的模型时间步长通常在1e-5秒的量级。因此在acuSolve每个时间步长中(通常是0.001~0.01秒量级),EDEM已经进行了多轮的迭代。
CFD瞬态流场动画
颗粒运动的动画
下面我们看几个AcuSolve和EDEM耦合仿真的例子。
案例:农业机械
联合收割机采用气流和筛子相互配合的清选方式。谷粒混合物在筛子中振动,轻的杂质靠气流被吹走,重的杂质由尾筛排除,谷粒通过筛孔进入粮仓。清选室的气流分布对整个筛选效率有重要影响。
联合收割机原理图(图片来自网络)
联合收割机产品图(图片来自网络)
CFD模型:清选室的风速
EDEM模型:清选室的谷粒运动
案例:旋风分离器
旋风分离器,是用于颗粒分离的一种设备。工作原理为靠气流切向引入造成的旋转运动,使具有较大惯性离心力的固体颗粒或液滴甩向外壁面分开。
入口风速13.4 m/s,3000 个颗粒,双向耦合
CFD瞬态流场动画
颗粒运动的动画
案例:化工设备
流化床,是一种利用流体通过颗粒状固体层而使固体颗粒处于悬浮运动状态,并进行气固相反应过程或液固相反应过程的反应器。
底部风速2.5 m/s,24750 个颗粒,双向瞬态耦合
制粒机,搅拌桨的旋转速度确保运动产生涡流,物料充分混合。同时,粒-刀处交汇区域对翻腾的物料团充分打碎成颗粒。搅拌桨与制粒刀的旋转速度能使物料产生三维运动,颗粒产生碰撞、磨擦、剪切,使其磨擦均匀、细致,最后形定稳定球状颗粒。
入口速度2 m/s,旋转速度600 rpm,5900个颗粒,双向瞬态耦合
案例:食品、制药行业
气力输送是利用气流的能量,在密闭管道内沿气流方向输送颗粒状物料,是流态化技术的一种具体应用。主要特点是输送量大,输送距离长,输送速度较高;能在一处装料,然后在多处卸料。
入口速度15 m/s,一百万粒子,双向耦合
颗粒的气力输运
医用干粉吸入器,可用于模拟干粉药物输送到呼吸道的过程,并识别颗粒积聚的区域。模拟颗粒积聚和吸入器效率。
空气体积流量(50 L/min) ,5000 个颗粒
单向稳态耦合
单向瞬态耦合
双向瞬态耦合
案例:工业设备
叶片泵模型,泵送带有颗粒的液体,双向耦合。
生产线喷涂和干燥过程,在密闭腔体中向固体表面喷射低温液滴,环境是高温空气
VolumeAdded参数查看固体表面有多少水分。当开始喷涂时,颗粒表面水分( VolumeAdded )增加。一旦停止喷射,涂层开始干燥,水分又逐渐减小。
案例:家电
真空吸尘器,模拟长条形状的杂物被负压吸入清扫的过程。
学习资源
安装HyperWorks AcuSolve和EDEM安装包,在线帮助有练习文档和模型。
或者访问SimLab视频学习网站:
https://web.altair.com/altair-for-simlab-learning-center-trls
关于 Altair澳汰尔
Altair(纳斯达克股票代码:ALTR)是一家全球技术公司,在仿真、高性能计算 (HPC) 和人工智能 (AI) 等领域提供软件和云解决方案。Altair 能使跨越广泛行业的企业们在连接的世界中更高效地竞争,并创造更可持续的未来。
公司总部位于美国密歇根州,服务于12000多家全球企业,应用行业包括汽车、消费电子、航空航天、能源、机车车辆、造船、国防军工、金融、零售等。
欲了解更多信息,欢迎访问:
工程师必备
- 项目客服
- 培训客服
- 平台客服
TOP




















