耐180℃高温的环氧树脂可逆粘合剂
2023年6月12日 10:29浏览:3851
来源 | Advanced Materials
背景介绍
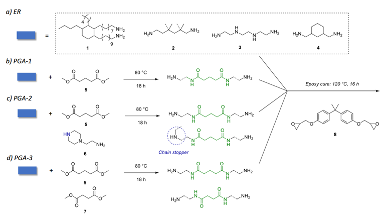
粘合剂是为能源、建筑和汽车等主要行业使用的物体创造轻质结构的关键。然而,目前的粘合剂有一个共同的问题:可拆卸和可重复使用的粘合剂大多没有很好的粘性;超粘性粘合剂是不可逆的。开发可逆性粘合剂可以充分利用其可回收性和可持续性,因此在电子和医药等领域具有很大的意义。然而,强粘性需要一个固定的强交联网络,而可逆性粘合剂则需要依赖于动态链的运动。由于强交联网络和动态链运动的相互排斥,很难同时满足粘合剂的两个方面 - 高性能和可逆性。
02
成果掠影
END
技术邻APP
工程师必备
工程师必备
- 项目客服
- 培训客服
- 平台客服
TOP




















